задание, страница 103, часть 2 - гдз по математике 3 класс учебник Муравьева, Урбан

Математика, 3 класс Учебник, авторы: Муравьева Галина Леонидовна, Урбан Мария Анатольевна, издательство Национальный институт образования, Минск, 2021, оранжевого цвета, часть 2

Авторы: Муравьева Г. Л., Урбан М. А.

Тип: Учебник

Издательство: Национальный институт образования

Год издания: 2021 - 2025

Часть: 2

Цвет обложки: оранжевый, жёлтый с учениками

ISBN: 978-985-594-794-4 (общ.), 978-985-594-795-1 (ч. 1), 978-985-594-796-8 (ч. 2)

Допущено Министерством образования Республики Беларусь

Популярные ГДЗ в 3 классе

Часть 2. Трёхзначные числа. Урок 119 - страница 103.

задание (с. 103)
Условие. задание (с. 103)
скриншот условия
Математика, 3 класс Учебник, авторы: Муравьева Галина Леонидовна, Урбан Мария Анатольевна, издательство Национальный институт образования, Минск, 2021, оранжевого цвета, Часть 2, страница 103, Условие

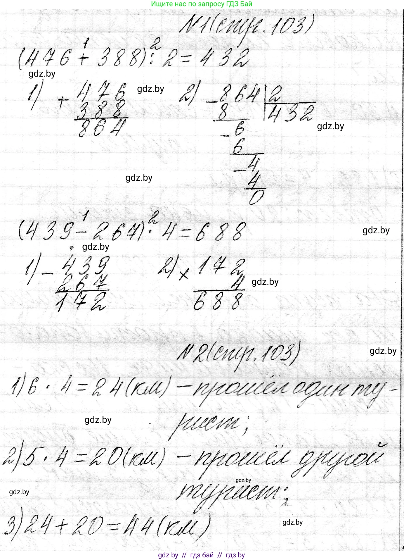
1. Вычисли.

$ (476 + 388) : 2 $ $ (439 - 267) \cdot 4 $

2. Два туриста вышли из одного посёлка в противоположных направлениях со скоростями 6 км/ч и 5 км/ч. Какое расстояние будет между ними через 4 ч?

Решение 1. задание (с. 103)
Математика, 3 класс Учебник, авторы: Муравьева Галина Леонидовна, Урбан Мария Анатольевна, издательство Национальный институт образования, Минск, 2021, оранжевого цвета, Часть 2, страница 103, Решение 1 Математика, 3 класс Учебник, авторы: Муравьева Галина Леонидовна, Урбан Мария Анатольевна, издательство Национальный институт образования, Минск, 2021, оранжевого цвета, Часть 2, страница 103, Решение 1 (продолжение 2)
Решение 2. задание (с. 103)
Математика, 3 класс Учебник, авторы: Муравьева Галина Леонидовна, Урбан Мария Анатольевна, издательство Национальный институт образования, Минск, 2021, оранжевого цвета, Часть 2, страница 103, Решение 2 Математика, 3 класс Учебник, авторы: Муравьева Галина Леонидовна, Урбан Мария Анатольевна, издательство Национальный институт образования, Минск, 2021, оранжевого цвета, Часть 2, страница 103, Решение 2 (продолжение 2)
Решение 3. задание (с. 103)
Математика, 3 класс Учебник, авторы: Муравьева Галина Леонидовна, Урбан Мария Анатольевна, издательство Национальный институт образования, Минск, 2021, оранжевого цвета, Часть 2, страница 103, Решение 3 Математика, 3 класс Учебник, авторы: Муравьева Галина Леонидовна, Урбан Мария Анатольевна, издательство Национальный институт образования, Минск, 2021, оранжевого цвета, Часть 2, страница 103, Решение 3 (продолжение 2)
Решение 4. задание (с. 103)

1.

(476 + 388) : 2
Решим по действиям:
1) Сначала выполним сложение в скобках: $476 + 388 = 864$.
2) Затем разделим полученную сумму на 2: $864 : 2 = 432$.

(439 - 267) · 4
Решим по действиям:
1) Сначала выполним вычитание в скобках: $439 - 267 = 172$.
2) Затем умножим полученную разность на 4: $172 \cdot 4 = 688$.

Ответ: 432; 688.

2.

В задаче описано движение двух туристов в противоположных направлениях из одной точки. Чтобы найти расстояние между ними через определенное время, необходимо найти их общую скорость удаления и умножить на время движения.

Шаг 1: Находим скорость удаления туристов.
Скорость удаления — это скорость, с которой расстояние между туристами увеличивается. При движении в противоположных направлениях она равна сумме скоростей туристов.
Скорость первого туриста: $v_1 = 6 \text{ км/ч}$.
Скорость второго туриста: $v_2 = 5 \text{ км/ч}$.
Скорость удаления: $v_{уд} = v_1 + v_2 = 6 \text{ км/ч} + 5 \text{ км/ч} = 11 \text{ км/ч}$.

Шаг 2: Находим расстояние между туристами через 4 часа.
Теперь, зная скорость удаления, мы можем найти расстояние ($S$), которое будет между туристами через заданное время ($t=4$ ч), по формуле $S = v_{уд} \cdot t$.
$S = 11 \text{ км/ч} \cdot 4 \text{ ч} = 44 \text{ км}$.

Ответ: через 4 часа расстояние между ними будет 44 км.

Помогло решение? Оставьте отзыв в комментариях ниже.

Присоединяйтесь к Телеграм-группе @gdz_by_belarus

Присоединиться

Мы подготовили для вас ответ c подробным объяснением домашего задания по математике за 3 класс, для упражнения задание расположенного на странице 103 для 2-й части к учебнику 2021 года издания для учащихся школ и гимназий.

Теперь на нашем сайте ГДЗ.ТОП вы всегда легко и бесплатно найдёте условие с правильным ответом на вопрос «Как решить ДЗ» и «Как сделать» задание по математике к упражнению задание (с. 103), авторов: Муравьева (Галина Леонидовна), Урбан (Мария Анатольевна), 2-й части учебного пособия издательства Национальный институт образования.