Номер 33.26, страница 161 - гдз по алгебре 7-9 класс сборник задач Арефьева, Пирютко

Алгебра, 7-9 класс Сборник задач, авторы: Арефьева Ирина Глебовна, Пирютко Ольга Николаевна, издательство Народная асвета, Минск, 2020

Авторы: Арефьева И. Г., Пирютко О. Н.

Тип: Сборник задач

Издательство: Народная асвета

Год издания: 2020 - 2025

Цвет обложки: синий с графиками

Допущено Министерством образования Республики Беларусь

Популярные ГДЗ в 7 классе

9 класс. Параграф 33. Действия с рациональными дробями - номер 33.26, страница 161.

№33.26 (с. 161)
Условие. №33.26 (с. 161)
скриншот условия
Алгебра, 7-9 класс Сборник задач, авторы: Арефьева Ирина Глебовна, Пирютко Ольга Николаевна, издательство Народная асвета, Минск, 2020, страница 161, номер 33.26, Условие

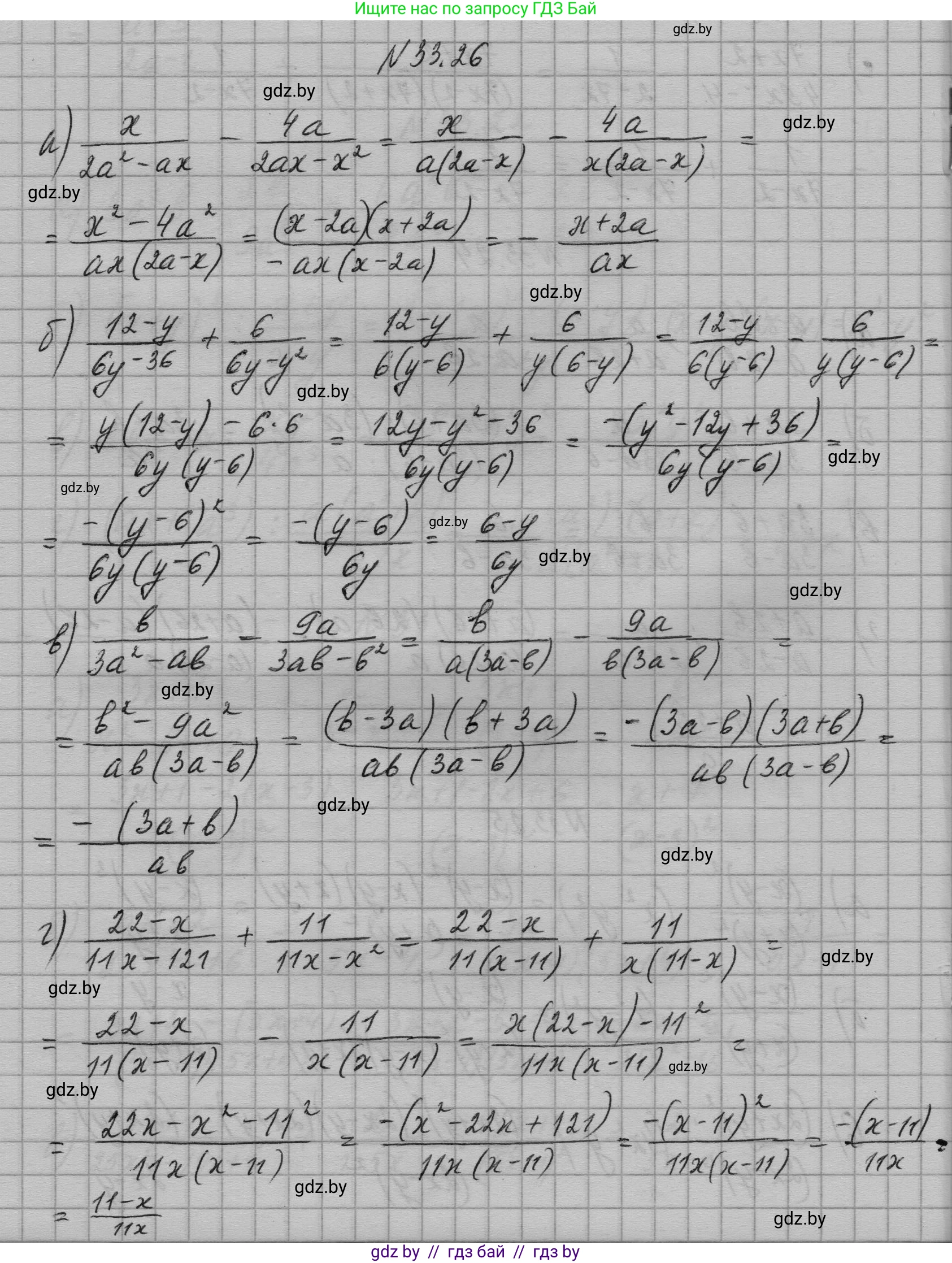
33.26. Выполните действия:

а) $ \frac{x}{2a^2 - ax} - \frac{4a}{2ax - x^2} $

б) $ \frac{12 - y}{6y - 36} + \frac{6}{6y - y^2} $

В) $ \frac{b}{3a^2 - ab} - \frac{9a}{3ab - b^2} $

Г) $ \frac{22 - x}{11x - 121} + \frac{11}{11x - x^2} $

Решение. №33.26 (с. 161)
Алгебра, 7-9 класс Сборник задач, авторы: Арефьева Ирина Глебовна, Пирютко Ольга Николаевна, издательство Народная асвета, Минск, 2020, страница 161, номер 33.26, Решение
Решение 2. №33.26 (с. 161)

а) $ \frac{x}{2a^2 - ax} - \frac{4a}{2ax - x^2} $

Для начала разложим знаменатели на множители, чтобы найти общий знаменатель.

$ 2a^2 - ax = a(2a - x) $

$ 2ax - x^2 = x(2a - x) $

Теперь выражение выглядит так:

$ \frac{x}{a(2a - x)} - \frac{4a}{x(2a - x)} $

Общий знаменатель для этих дробей — $ ax(2a - x) $. Приведем дроби к этому знаменателю. Дополнительный множитель для первой дроби — $ x $, для второй — $ a $.

$ \frac{x \cdot x}{ax(2a - x)} - \frac{4a \cdot a}{ax(2a - x)} = \frac{x^2 - 4a^2}{ax(2a - x)} $

Числитель $ x^2 - 4a^2 $ является разностью квадратов, которую можно разложить по формуле $ (a^2 - b^2) = (a - b)(a + b) $:

$ x^2 - 4a^2 = (x - 2a)(x + 2a) $

Подставим разложенный числитель обратно в дробь:

$ \frac{(x - 2a)(x + 2a)}{ax(2a - x)} $

Заметим, что множители $ (x - 2a) $ и $ (2a - x) $ отличаются только знаком: $ (x - 2a) = -(2a - x) $. Вынесем минус за скобки в числителе и сократим дробь:

$ \frac{-(2a - x)(x + 2a)}{ax(2a - x)} = -\frac{x + 2a}{ax} $

Ответ: $ -\frac{x + 2a}{ax} $

б) $ \frac{12 - y}{6y - 36} + \frac{6}{6y - y^2} $

Разложим знаменатели на множители:

$ 6y - 36 = 6(y - 6) $

$ 6y - y^2 = y(6 - y) $

Выражение принимает вид:

$ \frac{12 - y}{6(y - 6)} + \frac{6}{y(6 - y)} $

Чтобы привести знаменатели к общему виду, заметим, что $ y - 6 = -(6 - y) $. Вынесем минус в знаменателе первой дроби перед всей дробью:

$ -\frac{12 - y}{6(6 - y)} + \frac{6}{y(6 - y)} = \frac{-(12 - y)}{6(6 - y)} + \frac{6}{y(6 - y)} = \frac{y - 12}{6(6 - y)} + \frac{6}{y(6 - y)} $

Общий знаменатель — $ 6y(6 - y) $. Приведем дроби к нему:

$ \frac{(y - 12) \cdot y}{6y(6 - y)} + \frac{6 \cdot 6}{6y(6 - y)} = \frac{y^2 - 12y + 36}{6y(6 - y)} $

Числитель $ y^2 - 12y + 36 $ является полным квадратом по формуле $ (a - b)^2 = a^2 - 2ab + b^2 $:

$ y^2 - 12y + 36 = (y - 6)^2 $

Подставим в дробь:

$ \frac{(y - 6)^2}{6y(6 - y)} $

Так как $ (y - 6)^2 = (-(6 - y))^2 = (6 - y)^2 $, мы можем переписать выражение и сократить:

$ \frac{(6 - y)^2}{6y(6 - y)} = \frac{6 - y}{6y} $

Ответ: $ \frac{6 - y}{6y} $

в) $ \frac{b}{3a^2 - ab} - \frac{9a}{3ab - b^2} $

Разложим знаменатели на множители:

$ 3a^2 - ab = a(3a - b) $

$ 3ab - b^2 = b(3a - b) $

Перепишем выражение:

$ \frac{b}{a(3a - b)} - \frac{9a}{b(3a - b)} $

Общий знаменатель — $ ab(3a - b) $. Приведем дроби к общему знаменателю:

$ \frac{b \cdot b}{ab(3a - b)} - \frac{9a \cdot a}{ab(3a - b)} = \frac{b^2 - 9a^2}{ab(3a - b)} $

Числитель $ b^2 - 9a^2 $ является разностью квадратов $ (b - 3a)(b + 3a) $.

Подставим в дробь:

$ \frac{(b - 3a)(b + 3a)}{ab(3a - b)} $

Так как $ (b - 3a) = -(3a - b) $, вынесем минус за скобки и сократим:

$ \frac{-(3a - b)(b + 3a)}{ab(3a - b)} = -\frac{b + 3a}{ab} $

Ответ: $ -\frac{3a + b}{ab} $

г) $ \frac{22 - x}{11x - 121} + \frac{11}{11x - x^2} $

Разложим знаменатели на множители:

$ 11x - 121 = 11(x - 11) $

$ 11x - x^2 = x(11 - x) $

Перепишем выражение:

$ \frac{22 - x}{11(x - 11)} + \frac{11}{x(11 - x)} $

Заметим, что $ x - 11 = -(11 - x) $. Преобразуем первую дробь:

$ \frac{22 - x}{-11(11 - x)} + \frac{11}{x(11 - x)} = \frac{-(22 - x)}{11(11 - x)} + \frac{11}{x(11 - x)} = \frac{x - 22}{11(11 - x)} + \frac{11}{x(11 - x)} $

Общий знаменатель — $ 11x(11 - x) $. Приведем дроби к нему:

$ \frac{(x - 22) \cdot x}{11x(11 - x)} + \frac{11 \cdot 11}{11x(11 - x)} = \frac{x^2 - 22x + 121}{11x(11 - x)} $

Числитель $ x^2 - 22x + 121 $ является полным квадратом $ (x - 11)^2 $.

Подставим в дробь:

$ \frac{(x - 11)^2}{11x(11 - x)} $

Так как $ (x - 11)^2 = (-(11 - x))^2 = (11 - x)^2 $, мы можем переписать выражение и сократить:

$ \frac{(11 - x)^2}{11x(11 - x)} = \frac{11 - x}{11x} $

Ответ: $ \frac{11 - x}{11x} $

Помогло решение? Оставьте отзыв в комментариях ниже.

Присоединяйтесь к Телеграм-группе @gdz_by_belarus

Присоединиться

Мы подготовили для вас ответ c подробным объяснением домашего задания по алгебре за 7-9 класс, для упражнения номер 33.26 расположенного на странице 161 к сборнику задач 2020 года издания для учащихся школ и гимназий.

Теперь на нашем сайте ГДЗ.ТОП вы всегда легко и бесплатно найдёте условие с правильным ответом на вопрос «Как решить ДЗ» и «Как сделать» задание по алгебре к упражнению №33.26 (с. 161), авторов: Арефьева (Ирина Глебовна), Пирютко (Ольга Николаевна), учебного пособия издательства Народная асвета.