Номер 33.33, страница 161 - гдз по алгебре 7-9 класс сборник задач Арефьева, Пирютко

Алгебра, 7-9 класс Сборник задач, авторы: Арефьева Ирина Глебовна, Пирютко Ольга Николаевна, издательство Народная асвета, Минск, 2020

Авторы: Арефьева И. Г., Пирютко О. Н.

Тип: Сборник задач

Издательство: Народная асвета

Год издания: 2020 - 2025

Цвет обложки: синий с графиками

Допущено Министерством образования Республики Беларусь

Популярные ГДЗ в 7 классе

9 класс. Параграф 33. Действия с рациональными дробями - номер 33.33, страница 161.

№33.33 (с. 161)
Условие. №33.33 (с. 161)
скриншот условия
Алгебра, 7-9 класс Сборник задач, авторы: Арефьева Ирина Глебовна, Пирютко Ольга Николаевна, издательство Народная асвета, Минск, 2020, страница 161, номер 33.33, Условие

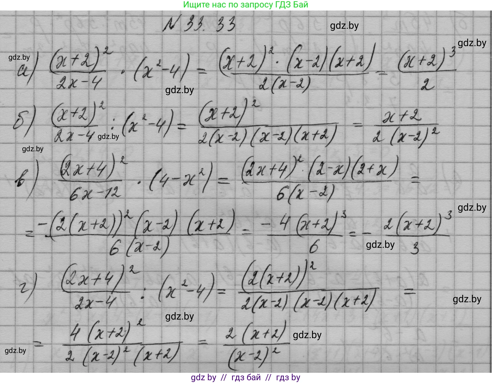
33.33. Представьте в виде дроби выражение:

а) $\frac{(x+2)^2}{2x-4} \cdot (x^2-4);$

б) $\frac{(x+2)^2}{2x-4} : (x^2-4);$

В) $\frac{(2x+4)^2}{6x-12} \cdot (4-x^2);$

Г) $\frac{(2x+4)^2}{2x-4} : (x^2-4).$

Решение. №33.33 (с. 161)
Алгебра, 7-9 класс Сборник задач, авторы: Арефьева Ирина Глебовна, Пирютко Ольга Николаевна, издательство Народная асвета, Минск, 2020, страница 161, номер 33.33, Решение
Решение 2. №33.33 (с. 161)

а) $ \frac{(x+2)^2}{2x-4} \cdot (x^2-4) $
Чтобы умножить дробь на выражение, представим это выражение в виде дроби со знаменателем 1:
$ \frac{(x+2)^2}{2x-4} \cdot \frac{x^2-4}{1} = \frac{(x+2)^2 \cdot (x^2-4)}{2x-4} $
Разложим числитель и знаменатель на множители. В числителе применим формулу разности квадратов $ a^2 - b^2 = (a-b)(a+b) $, а в знаменателе вынесем общий множитель за скобки:
$ x^2 - 4 = x^2 - 2^2 = (x-2)(x+2) $
$ 2x - 4 = 2(x-2) $
Подставим разложенные выражения обратно в дробь:
$ \frac{(x+2)^2 \cdot (x-2)(x+2)}{2(x-2)} = \frac{(x+2)^{2+1} \cdot (x-2)}{2(x-2)} = \frac{(x+2)^3 \cdot (x-2)}{2(x-2)} $
Сократим дробь на общий множитель $ (x-2) $:
$ \frac{(x+2)^3}{2} $
Ответ: $ \frac{(x+2)^3}{2} $

б) $ \frac{(x+2)^2}{2x-4} : (x^2-4) $
Чтобы разделить дробь на выражение, представим это выражение в виде дроби и заменим деление на умножение на обратную дробь:
$ \frac{(x+2)^2}{2x-4} : \frac{x^2-4}{1} = \frac{(x+2)^2}{2x-4} \cdot \frac{1}{x^2-4} = \frac{(x+2)^2}{(2x-4)(x^2-4)} $
Разложим знаменатель на множители:
$ 2x - 4 = 2(x-2) $
$ x^2 - 4 = (x-2)(x+2) $
Подставим разложенные выражения в дробь:
$ \frac{(x+2)^2}{2(x-2)(x-2)(x+2)} = \frac{(x+2)^2}{2(x-2)^2(x+2)} $
Сократим дробь на общий множитель $ (x+2) $:
$ \frac{x+2}{2(x-2)^2} $
Ответ: $ \frac{x+2}{2(x-2)^2} $

в) $ \frac{(2x+4)^2}{6x-12} \cdot (4-x^2) $
Представим выражение в виде произведения дробей:
$ \frac{(2x+4)^2}{6x-12} \cdot \frac{4-x^2}{1} = \frac{(2x+4)^2 \cdot (4-x^2)}{6x-12} $
Разложим числитель и знаменатель на множители:
$ (2x+4)^2 = (2(x+2))^2 = 2^2 \cdot (x+2)^2 = 4(x+2)^2 $
$ 4-x^2 = (2-x)(2+x) = -(x-2)(x+2) $
$ 6x-12 = 6(x-2) $
Подставим разложенные выражения в дробь:
$ \frac{4(x+2)^2 \cdot (-(x-2)(x+2))}{6(x-2)} = \frac{-4(x+2)^{2+1} \cdot (x-2)}{6(x-2)} = \frac{-4(x+2)^3 \cdot (x-2)}{6(x-2)} $
Сократим дробь на общий множитель $ (x-2) $ и на 2:
$ \frac{-4(x+2)^3}{6} = -\frac{2(x+2)^3}{3} $
Ответ: $ -\frac{2(x+2)^3}{3} $

г) $ \frac{(2x+4)^2}{2x-4} : (x^2-4) $
Заменим деление на умножение на обратную дробь:
$ \frac{(2x+4)^2}{2x-4} \cdot \frac{1}{x^2-4} = \frac{(2x+4)^2}{(2x-4)(x^2-4)} $
Разложим числитель и знаменатель на множители:
$ (2x+4)^2 = (2(x+2))^2 = 4(x+2)^2 $
$ 2x-4 = 2(x-2) $
$ x^2-4 = (x-2)(x+2) $
Подставим разложенные выражения в дробь:
$ \frac{4(x+2)^2}{2(x-2)(x-2)(x+2)} = \frac{4(x+2)^2}{2(x-2)^2(x+2)} $
Сократим дробь на общие множители 2 и $ (x+2) $:
$ \frac{2(x+2)}{(x-2)^2} $
Ответ: $ \frac{2(x+2)}{(x-2)^2} $

Помогло решение? Оставьте отзыв в комментариях ниже.

Присоединяйтесь к Телеграм-группе @gdz_by_belarus

Присоединиться

Мы подготовили для вас ответ c подробным объяснением домашего задания по алгебре за 7-9 класс, для упражнения номер 33.33 расположенного на странице 161 к сборнику задач 2020 года издания для учащихся школ и гимназий.

Теперь на нашем сайте ГДЗ.ТОП вы всегда легко и бесплатно найдёте условие с правильным ответом на вопрос «Как решить ДЗ» и «Как сделать» задание по алгебре к упражнению №33.33 (с. 161), авторов: Арефьева (Ирина Глебовна), Пирютко (Ольга Николаевна), учебного пособия издательства Народная асвета.