Номер 33.40, страница 162 - гдз по алгебре 7-9 класс сборник задач Арефьева, Пирютко

Алгебра, 7-9 класс Сборник задач, авторы: Арефьева Ирина Глебовна, Пирютко Ольга Николаевна, издательство Народная асвета, Минск, 2020

Авторы: Арефьева И. Г., Пирютко О. Н.

Тип: Сборник задач

Издательство: Народная асвета

Год издания: 2020 - 2025

Цвет обложки: синий с графиками

Допущено Министерством образования Республики Беларусь

Популярные ГДЗ в 7 классе

9 класс. Параграф 33. Действия с рациональными дробями - номер 33.40, страница 162.

№33.40 (с. 162)
Условие. №33.40 (с. 162)
скриншот условия
Алгебра, 7-9 класс Сборник задач, авторы: Арефьева Ирина Глебовна, Пирютко Ольга Николаевна, издательство Народная асвета, Минск, 2020, страница 162, номер 33.40, Условие

33.40. Упростите выражение:

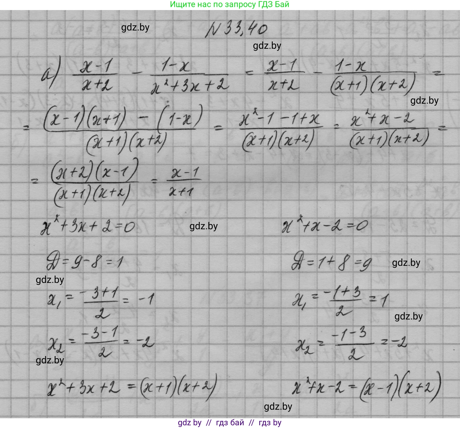
а) $\frac{x - 1}{x + 2} - \frac{1 - x}{x^2 + 3x + 2}$;

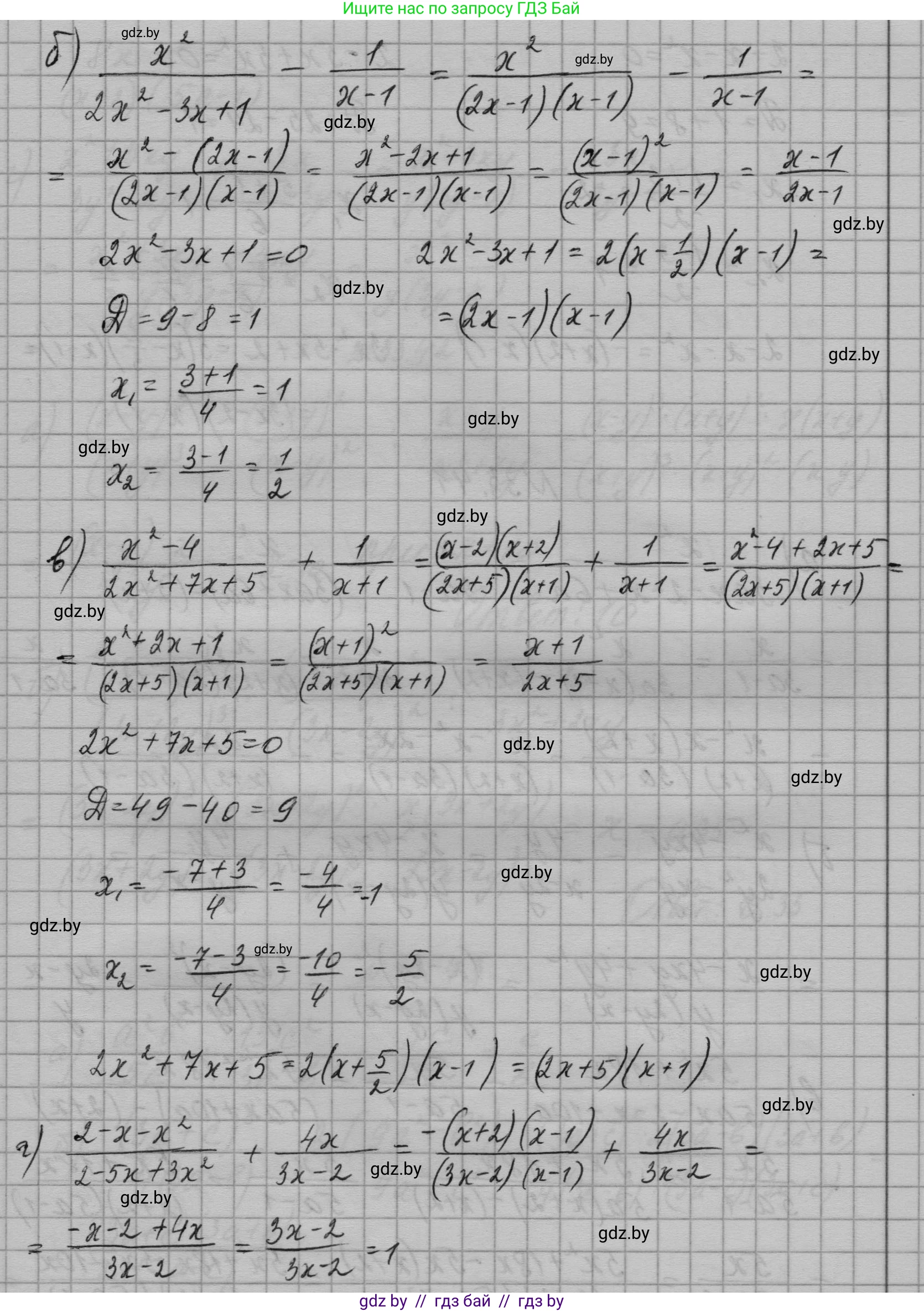
б) $\frac{x^2}{2x^2 - 3x + 1} - \frac{1}{x - 1}$;

В) $\frac{x^2 - 4}{2x^2 + 7x + 5} + \frac{1}{x + 1}$;

Г) $\frac{2 - x - x^2}{2 - 5x + 3x^2} + \frac{4x}{3x - 2}$.

Решение. №33.40 (с. 162)
Алгебра, 7-9 класс Сборник задач, авторы: Арефьева Ирина Глебовна, Пирютко Ольга Николаевна, издательство Народная асвета, Минск, 2020, страница 162, номер 33.40, Решение Алгебра, 7-9 класс Сборник задач, авторы: Арефьева Ирина Глебовна, Пирютко Ольга Николаевна, издательство Народная асвета, Минск, 2020, страница 162, номер 33.40, Решение (продолжение 2)
Решение 2. №33.40 (с. 162)

а) $\frac{x-1}{x+2} - \frac{1-x}{x^2+3x+2}$

Для упрощения выражения сначала разложим на множители знаменатель второй дроби. Знаменатель представляет собой квадратный трехчлен $x^2+3x+2$. Найдем его корни, решив уравнение $x^2+3x+2=0$. По теореме Виета, сумма корней равна -3, а их произведение равно 2. Корнями являются $x_1 = -1$ и $x_2 = -2$.

Таким образом, $x^2+3x+2 = (x-x_1)(x-x_2) = (x-(-1))(x-(-2)) = (x+1)(x+2)$.

Подставим разложенный знаменатель обратно в выражение:

$\frac{x-1}{x+2} - \frac{1-x}{(x+1)(x+2)}$

Заметим, что числитель второй дроби $1-x$ можно представить как $-(x-1)$. Это позволяет нам изменить знак перед дробью:

$\frac{x-1}{x+2} - \frac{-(x-1)}{(x+1)(x+2)} = \frac{x-1}{x+2} + \frac{x-1}{(x+1)(x+2)}$

Теперь приведем дроби к общему знаменателю, которым является $(x+1)(x+2)$. Для этого домножим числитель и знаменатель первой дроби на недостающий множитель $(x+1)$:

$\frac{(x-1)(x+1)}{(x+2)(x+1)} + \frac{x-1}{(x+1)(x+2)}$

Сложим дроби с одинаковыми знаменателями:

$\frac{(x-1)(x+1) + (x-1)}{(x+1)(x+2)}$

В числителе вынесем общий множитель $(x-1)$ за скобки:

$\frac{(x-1)((x+1)+1)}{(x+1)(x+2)} = \frac{(x-1)(x+2)}{(x+1)(x+2)}$

Сократим дробь на общий множитель $(x+2)$:

$\frac{x-1}{x+1}$

Ответ: $\frac{x-1}{x+1}$

б) $\frac{x^2}{2x^2-3x+1} - \frac{1}{x-1}$

Разложим на множители знаменатель первой дроби $2x^2-3x+1$. Найдем корни квадратного уравнения $2x^2-3x+1=0$ с помощью дискриминанта:

$D = b^2-4ac = (-3)^2 - 4 \cdot 2 \cdot 1 = 9 - 8 = 1$

$x_{1,2} = \frac{-b \pm \sqrt{D}}{2a} = \frac{3 \pm \sqrt{1}}{2 \cdot 2} = \frac{3 \pm 1}{4}$

$x_1 = \frac{3+1}{4} = 1$, $x_2 = \frac{3-1}{4} = \frac{2}{4} = \frac{1}{2}$

Тогда $2x^2-3x+1 = 2(x-1)(x-\frac{1}{2}) = (x-1)(2x-1)$.

Подставим разложение в исходное выражение:

$\frac{x^2}{(x-1)(2x-1)} - \frac{1}{x-1}$

Общий знаменатель дробей — $(x-1)(2x-1)$. Домножим вторую дробь на $(2x-1)$:

$\frac{x^2}{(x-1)(2x-1)} - \frac{1 \cdot (2x-1)}{(x-1)(2x-1)}$

Выполним вычитание дробей:

$\frac{x^2 - (2x-1)}{(x-1)(2x-1)} = \frac{x^2 - 2x + 1}{(x-1)(2x-1)}$

Числитель $x^2 - 2x + 1$ является полным квадратом разности: $(x-1)^2$.

$\frac{(x-1)^2}{(x-1)(2x-1)}$

Сократим дробь на общий множитель $(x-1)$:

$\frac{x-1}{2x-1}$

Ответ: $\frac{x-1}{2x-1}$

в) $\frac{x^2-4}{2x^2+7x+5} + \frac{1}{x+1}$

Разложим на множители числитель и знаменатель первой дроби. Числитель $x^2-4$ — это разность квадратов: $x^2-4=(x-2)(x+2)$.

Для разложения знаменателя $2x^2+7x+5$ решим уравнение $2x^2+7x+5=0$:

$D = 7^2 - 4 \cdot 2 \cdot 5 = 49 - 40 = 9$

$x_{1,2} = \frac{-7 \pm \sqrt{9}}{2 \cdot 2} = \frac{-7 \pm 3}{4}$

$x_1 = \frac{-7+3}{4} = \frac{-4}{4} = -1$, $x_2 = \frac{-7-3}{4} = \frac{-10}{4} = -\frac{5}{2}$

Следовательно, $2x^2+7x+5 = 2(x-(-1))(x-(-\frac{5}{2})) = 2(x+1)(x+\frac{5}{2}) = (x+1)(2x+5)$.

Теперь выражение выглядит так:

$\frac{(x-2)(x+2)}{(x+1)(2x+5)} + \frac{1}{x+1}$

Приведем дроби к общему знаменателю $(x+1)(2x+5)$. Домножим вторую дробь на $(2x+5)$:

$\frac{x^2-4}{(x+1)(2x+5)} + \frac{1 \cdot (2x+5)}{(x+1)(2x+5)}$

Сложим числители:

$\frac{x^2-4+2x+5}{(x+1)(2x+5)} = \frac{x^2+2x+1}{(x+1)(2x+5)}$

Числитель $x^2+2x+1$ является полным квадратом суммы: $(x+1)^2$.

$\frac{(x+1)^2}{(x+1)(2x+5)}$

Сократим дробь на $(x+1)$:

$\frac{x+1}{2x+5}$

Ответ: $\frac{x+1}{2x+5}$

г) $\frac{2-x-x^2}{2-5x+3x^2} + \frac{4x}{3x-2}$

Разложим на множители числитель и знаменатель первой дроби. Для удобства перепишем их в стандартном виде.

Числитель: $2-x-x^2 = -(x^2+x-2)$. Корни уравнения $x^2+x-2=0$ по теореме Виета: $x_1=1, x_2=-2$. Значит, $x^2+x-2 = (x-1)(x+2)$. Таким образом, $2-x-x^2 = -(x-1)(x+2) = (1-x)(x+2)$.

Знаменатель: $2-5x+3x^2 = 3x^2-5x+2$. Решим уравнение $3x^2-5x+2=0$:

$D = (-5)^2 - 4 \cdot 3 \cdot 2 = 25 - 24 = 1$

$x_{1,2} = \frac{5 \pm \sqrt{1}}{2 \cdot 3} = \frac{5 \pm 1}{6}$

$x_1 = \frac{5+1}{6} = 1$, $x_2 = \frac{5-1}{6} = \frac{4}{6} = \frac{2}{3}$

Следовательно, $3x^2-5x+2 = 3(x-1)(x-\frac{2}{3}) = (x-1)(3x-2)$.

Подставим разложения в выражение:

$\frac{-(x-1)(x+2)}{(x-1)(3x-2)} + \frac{4x}{3x-2}$

Сократим первую дробь на $(x-1)$:

$\frac{-(x+2)}{3x-2} + \frac{4x}{3x-2}$

Теперь сложим дроби с одинаковым знаменателем:

$\frac{-(x+2) + 4x}{3x-2} = \frac{-x-2+4x}{3x-2} = \frac{3x-2}{3x-2}$

При условии, что $3x-2 \neq 0$, выражение равно 1.

Ответ: 1

Помогло решение? Оставьте отзыв в комментариях ниже.

Присоединяйтесь к Телеграм-группе @gdz_by_belarus

Присоединиться

Мы подготовили для вас ответ c подробным объяснением домашего задания по алгебре за 7-9 класс, для упражнения номер 33.40 расположенного на странице 162 к сборнику задач 2020 года издания для учащихся школ и гимназий.

Теперь на нашем сайте ГДЗ.ТОП вы всегда легко и бесплатно найдёте условие с правильным ответом на вопрос «Как решить ДЗ» и «Как сделать» задание по алгебре к упражнению №33.40 (с. 162), авторов: Арефьева (Ирина Глебовна), Пирютко (Ольга Николаевна), учебного пособия издательства Народная асвета.