Номер 33.44, страница 163 - гдз по алгебре 7-9 класс сборник задач Арефьева, Пирютко

Алгебра, 7-9 класс Сборник задач, авторы: Арефьева Ирина Глебовна, Пирютко Ольга Николаевна, издательство Народная асвета, Минск, 2020

Авторы: Арефьева И. Г., Пирютко О. Н.

Тип: Сборник задач

Издательство: Народная асвета

Год издания: 2020 - 2025

Цвет обложки: синий с графиками

Допущено Министерством образования Республики Беларусь

Популярные ГДЗ в 7 классе

9 класс. Параграф 33. Действия с рациональными дробями - номер 33.44, страница 163.

№33.44 (с. 163)
Условие. №33.44 (с. 163)
скриншот условия
Алгебра, 7-9 класс Сборник задач, авторы: Арефьева Ирина Глебовна, Пирютко Ольга Николаевна, издательство Народная асвета, Минск, 2020, страница 163, номер 33.44, Условие

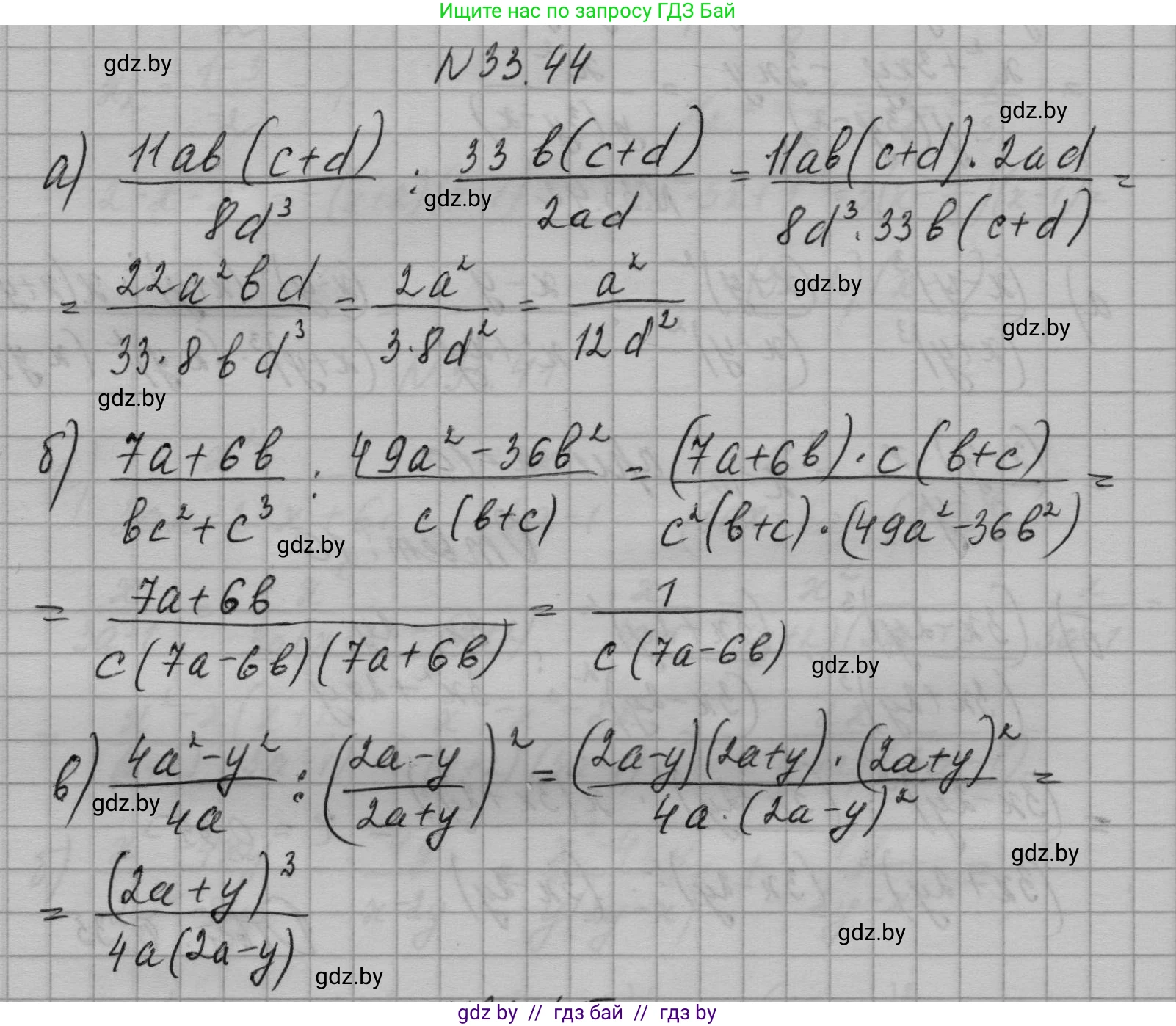
33.44. Выполните деление дробей:

а) $\frac{11ab(c+d)}{8d^3} : \frac{33b(c+d)}{2ad}$

б) $\frac{7a+6b}{bc^2+c^3} : \frac{49a^2-36b^2}{c(b+c)}$

в) $\frac{4a^2-y^2}{4a} : \left(\frac{2a-y}{2a+y}\right)^2$

Решение. №33.44 (с. 163)
Алгебра, 7-9 класс Сборник задач, авторы: Арефьева Ирина Глебовна, Пирютко Ольга Николаевна, издательство Народная асвета, Минск, 2020, страница 163, номер 33.44, Решение
Решение 2. №33.44 (с. 163)

а) $\frac{11ab(c+d)}{8d^3} : \frac{33b(c+d)}{2ad}$

Чтобы разделить одну дробь на другую, нужно первую дробь умножить на дробь, обратную второй (перевернутую).

$\frac{11ab(c+d)}{8d^3} : \frac{33b(c+d)}{2ad} = \frac{11ab(c+d)}{8d^3} \cdot \frac{2ad}{33b(c+d)}$

Запишем все множители под одной чертой дроби и выполним сокращение:

$\frac{11ab(c+d) \cdot 2ad}{8d^3 \cdot 33b(c+d)} = \frac{11 \cdot a \cdot b \cdot (c+d) \cdot 2 \cdot a \cdot d}{8 \cdot d^3 \cdot 33 \cdot b \cdot (c+d)}$

Сократим общие множители $(c+d)$ и $b$.

$\frac{11 \cdot a \cdot 2 \cdot a \cdot d}{8 \cdot d^3 \cdot 33}$

Сократим числовые коэффициенты: $11$ и $33$ на $11$ (останутся $1$ и $3$), а $2$ и $8$ на $2$ (останутся $1$ и $4$).

$\frac{1 \cdot a \cdot 1 \cdot a \cdot d}{4 \cdot d^3 \cdot 3} = \frac{a^2d}{12d^3}$

Сократим степени переменной $d$, разделив $d$ в числителе и $d^3$ в знаменателе на $d$.

$\frac{a^2}{12d^2}$

Ответ: $\frac{a^2}{12d^2}$

б) $\frac{7a+6b}{bc^2+c^3} : \frac{49a^2-36b^2}{c(b+c)}$

Заменим деление на умножение на обратную дробь:

$\frac{7a+6b}{bc^2+c^3} \cdot \frac{c(b+c)}{49a^2-36b^2}$

Для упрощения разложим на множители знаменатель первой дроби и знаменатель второй дроби. В знаменателе первой дроби вынесем общий множитель $c^2$ за скобки. Знаменатель второй дроби разложим по формуле разности квадратов $x^2-y^2=(x-y)(x+y)$.

$bc^2+c^3 = c^2(b+c)$

$49a^2-36b^2 = (7a)^2-(6b)^2 = (7a-6b)(7a+6b)$

Подставим разложенные выражения в исходное:

$\frac{7a+6b}{c^2(b+c)} \cdot \frac{c(b+c)}{(7a-6b)(7a+6b)}$

Запишем все под одной чертой дроби и сократим общие множители:

$\frac{(7a+6b) \cdot c \cdot (b+c)}{c^2(b+c) \cdot (7a-6b)(7a+6b)}$

Сокращаем на общие множители $(7a+6b)$, $(b+c)$ и $c$:

$\frac{1}{c(7a-6b)}$

Ответ: $\frac{1}{c(7a-6b)}$

в) $\frac{4a^2-y^2}{4a} : \left(\frac{2a-y}{2a+y}\right)^2$

Сначала раскроем квадрат второй дроби, возведя в квадрат ее числитель и знаменатель:

$\left(\frac{2a-y}{2a+y}\right)^2 = \frac{(2a-y)^2}{(2a+y)^2}$

Теперь заменим деление на умножение на обратную дробь:

$\frac{4a^2-y^2}{4a} \cdot \frac{(2a+y)^2}{(2a-y)^2}$

Разложим на множители числитель первой дроби, используя формулу разности квадратов:

$4a^2-y^2 = (2a)^2-y^2 = (2a-y)(2a+y)$

Подставим разложенное выражение в исходное:

$\frac{(2a-y)(2a+y)}{4a} \cdot \frac{(2a+y)^2}{(2a-y)^2}$

Запишем под одной чертой дроби и объединим степени с одинаковым основанием:

$\frac{(2a-y)(2a+y)^{1+2}}{4a(2a-y)^2} = \frac{(2a-y)(2a+y)^3}{4a(2a-y)^2}$

Сократим общий множитель $(2a-y)$. В числителе он в первой степени, в знаменателе - во второй. После сокращения в знаменателе останется $(2a-y)$ в первой степени.

$\frac{(2a+y)^3}{4a(2a-y)}$

Ответ: $\frac{(2a+y)^3}{4a(2a-y)}$

Помогло решение? Оставьте отзыв в комментариях ниже.

Присоединяйтесь к Телеграм-группе @gdz_by_belarus

Присоединиться

Мы подготовили для вас ответ c подробным объяснением домашего задания по алгебре за 7-9 класс, для упражнения номер 33.44 расположенного на странице 163 к сборнику задач 2020 года издания для учащихся школ и гимназий.

Теперь на нашем сайте ГДЗ.ТОП вы всегда легко и бесплатно найдёте условие с правильным ответом на вопрос «Как решить ДЗ» и «Как сделать» задание по алгебре к упражнению №33.44 (с. 163), авторов: Арефьева (Ирина Глебовна), Пирютко (Ольга Николаевна), учебного пособия издательства Народная асвета.