Номер 35.25, страница 175 - гдз по алгебре 7-9 класс сборник задач Арефьева, Пирютко

Алгебра, 7-9 класс Сборник задач, авторы: Арефьева Ирина Глебовна, Пирютко Ольга Николаевна, издательство Народная асвета, Минск, 2020

Авторы: Арефьева И. Г., Пирютко О. Н.

Тип: Сборник задач

Издательство: Народная асвета

Год издания: 2020 - 2025

Цвет обложки: синий с графиками

Допущено Министерством образования Республики Беларусь

Популярные ГДЗ в 7 классе

9 класс. Параграф 35. Функции - номер 35.25, страница 175.

№35.25 (с. 175)
Условие. №35.25 (с. 175)
скриншот условия
Алгебра, 7-9 класс Сборник задач, авторы: Арефьева Ирина Глебовна, Пирютко Ольга Николаевна, издательство Народная асвета, Минск, 2020, страница 175, номер 35.25, Условие

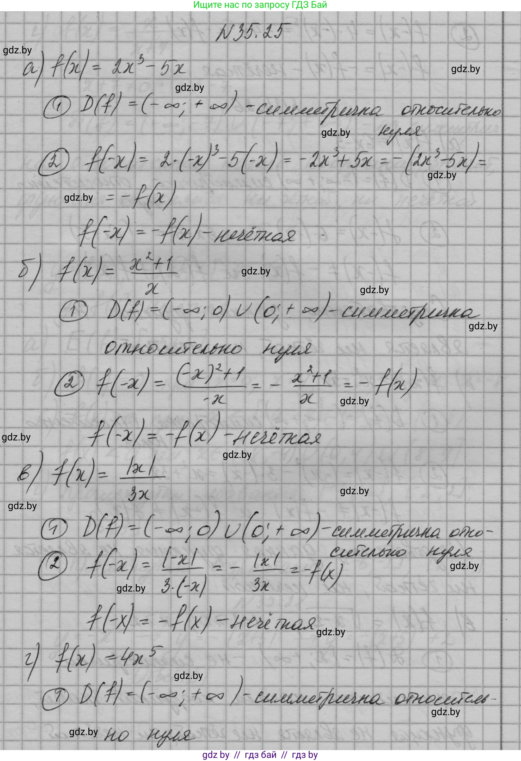
35.25. Докажите, что функция является нечетной:

a) $f(x) = 2x^3 - 5x;$

б) $f(x) = \frac{x^2+1}{x};$

в) $f(x) = \frac{|x|}{3x};$

г) $f(x) = 4x^5.$

Решение. №35.25 (с. 175)
Алгебра, 7-9 класс Сборник задач, авторы: Арефьева Ирина Глебовна, Пирютко Ольга Николаевна, издательство Народная асвета, Минск, 2020, страница 175, номер 35.25, Решение Алгебра, 7-9 класс Сборник задач, авторы: Арефьева Ирина Глебовна, Пирютко Ольга Николаевна, издательство Народная асвета, Минск, 2020, страница 175, номер 35.25, Решение (продолжение 2)
Решение 2. №35.25 (с. 175)

Функция $f(x)$ называется нечетной, если для любого $x$ из ее области определения, которая должна быть симметрична относительно нуля, выполняется равенство $f(-x) = -f(x)$. Проверим это условие для каждой из заданных функций.

а) $f(x) = 2x^3 - 5x$
Область определения функции $D(f) = (-\infty, +\infty)$ является симметричной относительно нуля.
Найдем $f(-x)$:
$f(-x) = 2(-x)^3 - 5(-x) = 2(-x^3) + 5x = -2x^3 + 5x = -(2x^3 - 5x) = -f(x)$.
Поскольку $f(-x) = -f(x)$, функция является нечетной.
Ответ: Доказано, что функция является нечетной.

б) $f(x) = \frac{x^2 + 1}{x}$
Область определения функции $D(f) = (-\infty, 0) \cup (0, +\infty)$ является симметричной относительно нуля.
Найдем $f(-x)$:
$f(-x) = \frac{(-x)^2 + 1}{-x} = \frac{x^2 + 1}{-x} = -\frac{x^2 + 1}{x} = -f(x)$.
Поскольку $f(-x) = -f(x)$, функция является нечетной.
Ответ: Доказано, что функция является нечетной.

в) $f(x) = \frac{|x|}{3x}$
Область определения функции $D(f) = (-\infty, 0) \cup (0, +\infty)$ является симметричной относительно нуля.
Найдем $f(-x)$, используя свойство модуля $|-a|=|a|$:
$f(-x) = \frac{|-x|}{3(-x)} = \frac{|x|}{-3x} = -\frac{|x|}{3x} = -f(x)$.
Поскольку $f(-x) = -f(x)$, функция является нечетной.
Ответ: Доказано, что функция является нечетной.

г) $f(x) = 4x^5$
Область определения функции $D(f) = (-\infty, +\infty)$ является симметричной относительно нуля.
Найдем $f(-x)$:
$f(-x) = 4(-x)^5 = 4(-x^5) = -4x^5 = -f(x)$.
Поскольку $f(-x) = -f(x)$, функция является нечетной.
Ответ: Доказано, что функция является нечетной.

Помогло решение? Оставьте отзыв в комментариях ниже.

Присоединяйтесь к Телеграм-группе @gdz_by_belarus

Присоединиться

Мы подготовили для вас ответ c подробным объяснением домашего задания по алгебре за 7-9 класс, для упражнения номер 35.25 расположенного на странице 175 к сборнику задач 2020 года издания для учащихся школ и гимназий.

Теперь на нашем сайте ГДЗ.ТОП вы всегда легко и бесплатно найдёте условие с правильным ответом на вопрос «Как решить ДЗ» и «Как сделать» задание по алгебре к упражнению №35.25 (с. 175), авторов: Арефьева (Ирина Глебовна), Пирютко (Ольга Николаевна), учебного пособия издательства Народная асвета.