Номер 35.26, страница 175 - гдз по алгебре 7-9 класс сборник задач Арефьева, Пирютко

Алгебра, 7-9 класс Сборник задач, авторы: Арефьева Ирина Глебовна, Пирютко Ольга Николаевна, издательство Народная асвета, Минск, 2020

Авторы: Арефьева И. Г., Пирютко О. Н.

Тип: Сборник задач

Издательство: Народная асвета

Год издания: 2020 - 2025

Цвет обложки: синий с графиками

Допущено Министерством образования Республики Беларусь

Популярные ГДЗ в 7 классе

9 класс. Параграф 35. Функции - номер 35.26, страница 175.

№35.26 (с. 175)
Условие. №35.26 (с. 175)
скриншот условия
Алгебра, 7-9 класс Сборник задач, авторы: Арефьева Ирина Глебовна, Пирютко Ольга Николаевна, издательство Народная асвета, Минск, 2020, страница 175, номер 35.26, Условие

35.26. Докажите, что функция не является ни четной, ни нечетной:

а) $f(x) = 6x - 5$;

б) $f(x) = x^2 - 3x$;

в) $f(x) = \sqrt{x - 2}$;

г) $f(x) = \frac{x}{x + 7}$.

Решение. №35.26 (с. 175)
Алгебра, 7-9 класс Сборник задач, авторы: Арефьева Ирина Глебовна, Пирютко Ольга Николаевна, издательство Народная асвета, Минск, 2020, страница 175, номер 35.26, Решение Алгебра, 7-9 класс Сборник задач, авторы: Арефьева Ирина Глебовна, Пирютко Ольга Николаевна, издательство Народная асвета, Минск, 2020, страница 175, номер 35.26, Решение (продолжение 2)
Решение 2. №35.26 (с. 175)

Для того чтобы доказать, что функция не является ни четной, ни нечетной, необходимо проверить выполнение условий, определяющих четность и нечетность функции, для каждого случая.

Функция $y = f(x)$ называется четной, если для любого $x$ из ее области определения $D(f)$ выполняется два условия:
1. Ее область определения симметрична относительно начала координат (то есть, если $x \in D(f)$, то и $-x \in D(f)$).
2. Выполняется равенство $f(-x) = f(x)$.

Функция $y = f(x)$ называется нечетной, если для любого $x$ из ее области определения $D(f)$ выполняется два условия:
1. Ее область определения симметрична относительно начала координат.
2. Выполняется равенство $f(-x) = -f(x)$.

Если хотя бы одно из этих условий не выполняется, то функция не является ни четной, ни нечетной (такие функции называют функциями общего вида).

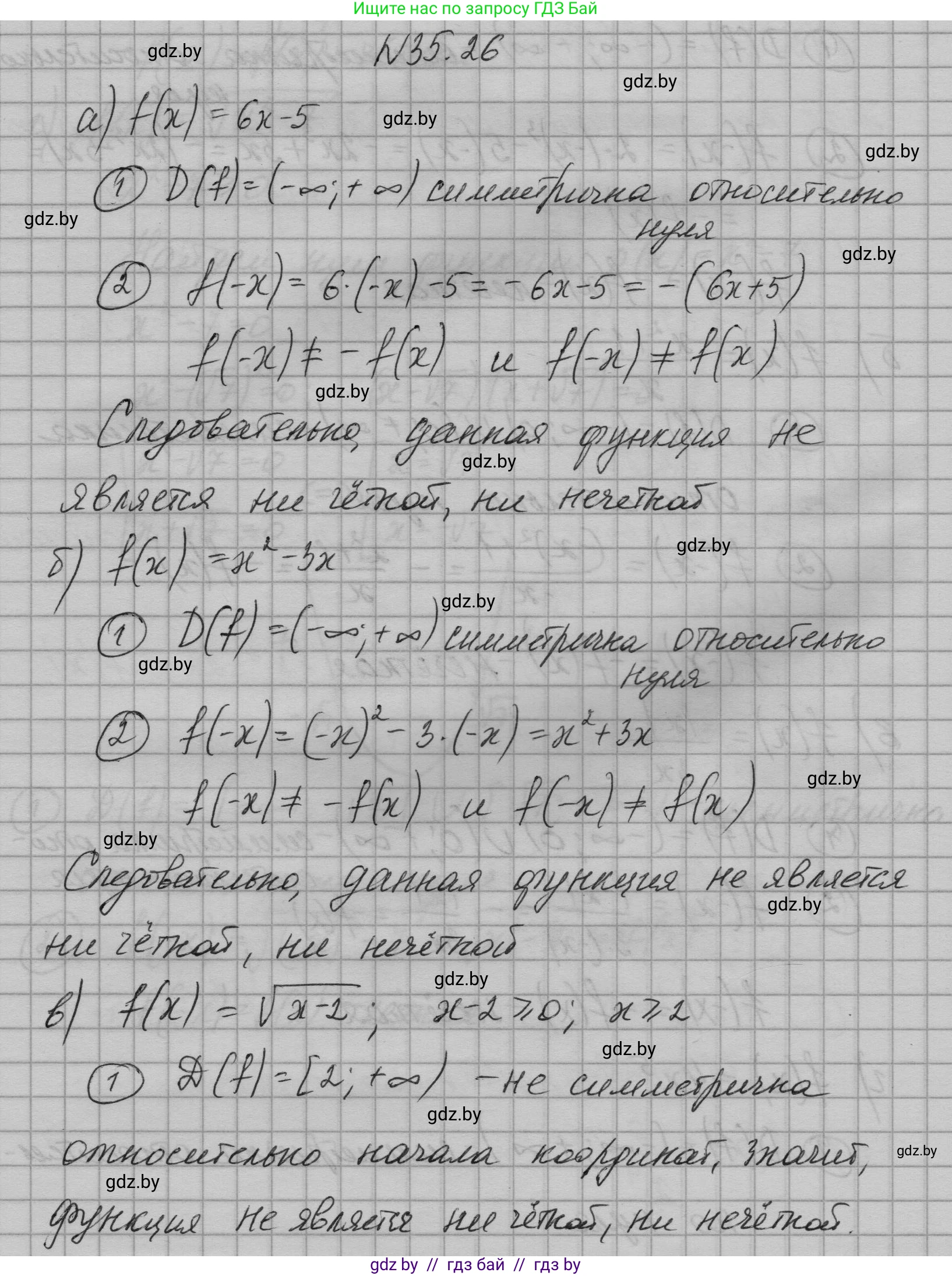
а) $f(x) = 6x - 5$

1. Найдем область определения функции $D(f)$. Это линейная функция, ее область определения — все действительные числа: $D(f) = (-\infty; +\infty)$. Эта область симметрична относительно нуля.

2. Найдем $f(-x)$. Для этого подставим $-x$ вместо $x$ в формулу функции:
$f(-x) = 6(-x) - 5 = -6x - 5$.

3. Сравним $f(-x)$ с $f(x)$ и $-f(x)$.
Проверим на четность: выполняется ли равенство $f(-x) = f(x)$?
$-6x - 5 = 6x - 5$. Это равенство верно только при $x = 0$, но оно должно выполняться для всех $x$ из области определения. Так как это не так, функция не является четной.

Проверим на нечетность: выполняется ли равенство $f(-x) = -f(x)$?
$-f(x) = -(6x - 5) = -6x + 5$.
Сравниваем: $-6x - 5 = -6x + 5$. Это равенство $-5=5$ неверно ни для какого значения $x$. Следовательно, функция не является нечетной.

Поскольку функция не является ни четной, ни нечетной, она является функцией общего вида.
Ответ: Функция $f(x) = 6x - 5$ не является ни четной, ни нечетной, так как условия $f(-x) = f(x)$ и $f(-x) = -f(x)$ не выполняются для всех $x$ из области определения.

б) $f(x) = x^2 - 3x$

1. Область определения функции $D(f) = (-\infty; +\infty)$, так как это многочлен. Область определения симметрична относительно нуля.

2. Найдем $f(-x)$:
$f(-x) = (-x)^2 - 3(-x) = x^2 + 3x$.

3. Сравним $f(-x)$ с $f(x)$ и $-f(x)$.
Проверим на четность: $f(-x) = f(x)$?
$x^2 + 3x = x^2 - 3x$. Равенство $6x=0$ верно только при $x=0$, а не для всех $x$. Значит, функция не четная.

Проверим на нечетность: $f(-x) = -f(x)$?
$-f(x) = -(x^2 - 3x) = -x^2 + 3x$.
Сравниваем: $x^2 + 3x = -x^2 + 3x$. Равенство $2x^2=0$ верно только при $x=0$, а не для всех $x$. Значит, функция не нечетная.

Функция является функцией общего вида.
Ответ: Функция $f(x) = x^2 - 3x$ не является ни четной, ни нечетной, так как $f(-x) = x^2+3x$, что не равно ни $f(x) = x^2-3x$, ни $-f(x) = -x^2+3x$ для всех $x \neq 0$.

в) $f(x) = \sqrt{x - 2}$

1. Найдем область определения функции $D(f)$. Выражение под знаком корня должно быть неотрицательным:
$x - 2 \ge 0 \Rightarrow x \ge 2$.
Таким образом, область определения функции $D(f) = [2; +\infty)$.

2. Проверим симметричность области определения. Область определения $[2; +\infty)$ не является симметричной относительно начала координат. Например, точка $x=3$ принадлежит области определения, а точка $-x = -3$ ей не принадлежит.

Поскольку не выполняется первое, обязательное условие симметричности области определения, то данная функция не может быть ни четной, ни нечетной.
Ответ: Функция $f(x) = \sqrt{x - 2}$ не является ни четной, ни нечетной, так как ее область определения $D(f) = [2; +\infty)$ несимметрична относительно начала координат.

г) $f(x) = \frac{x}{x + 7}$

1. Найдем область определения функции $D(f)$. Знаменатель дроби не должен быть равен нулю:
$x + 7 \neq 0 \Rightarrow x \neq -7$.
Таким образом, $D(f) = (-\infty; -7) \cup (-7; +\infty)$.

2. Проверим симметричность области определения. Область определения не является симметричной относительно начала координат. Например, точка $x=7$ принадлежит области определения, а точка $-x = -7$ не принадлежит ей (в этой точке функция не определена).

Так как область определения несимметрична, функция не является ни четной, ни нечетной.
Ответ: Функция $f(x) = \frac{x}{x + 7}$ не является ни четной, ни нечетной, так как ее область определения $D(f) = (-\infty; -7) \cup (-7; +\infty)$ несимметрична относительно начала координат.

Помогло решение? Оставьте отзыв в комментариях ниже.

Присоединяйтесь к Телеграм-группе @gdz_by_belarus

Присоединиться

Мы подготовили для вас ответ c подробным объяснением домашего задания по алгебре за 7-9 класс, для упражнения номер 35.26 расположенного на странице 175 к сборнику задач 2020 года издания для учащихся школ и гимназий.

Теперь на нашем сайте ГДЗ.ТОП вы всегда легко и бесплатно найдёте условие с правильным ответом на вопрос «Как решить ДЗ» и «Как сделать» задание по алгебре к упражнению №35.26 (с. 175), авторов: Арефьева (Ирина Глебовна), Пирютко (Ольга Николаевна), учебного пособия издательства Народная асвета.