Номер 1.12, страница 7 - гдз по алгебре 7-9 класс сборник задач Арефьева, Пирютко
Авторы: Арефьева И. Г., Пирютко О. Н.
Тип: Сборник задач
Издательство: Народная асвета
Год издания: 2020 - 2025
Цвет обложки: синий с графиками
Допущено Министерством образования Республики Беларусь
Популярные ГДЗ в 7 классе
7 класс. Параграф 1. Степень с натуральным показателем и ее свойства - номер 1.12, страница 7.
№1.12 (с. 7)
Условие. №1.12 (с. 7)
скриншот условия
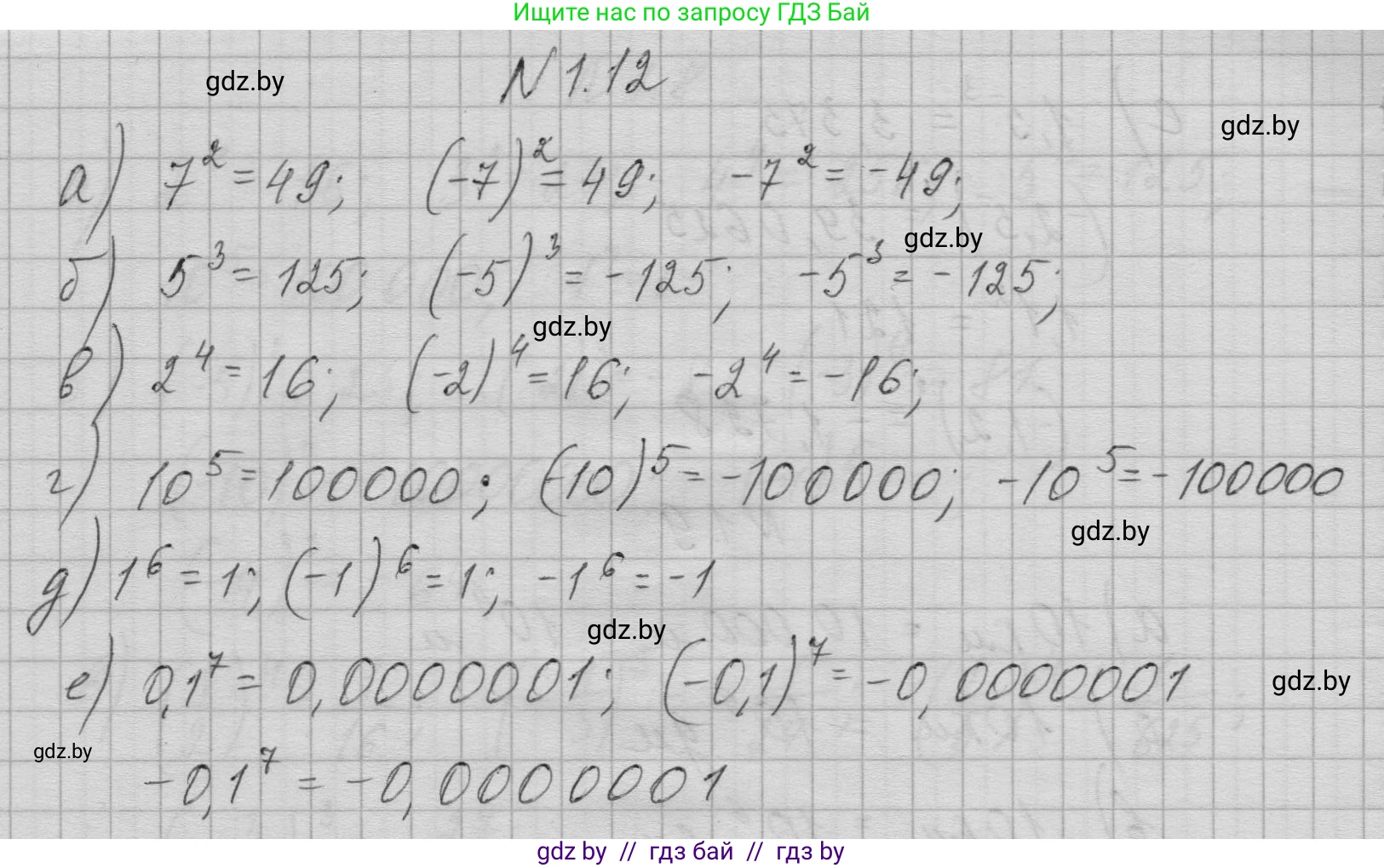
1.12. Найдите значение выражения:
а) $7^2$; $(-7)^2$; $-7^2$;
б) $5^3$; $(-5)^3$; $-5^3$;
в) $2^4$; $(-2)^4$; $-2^4$;
г) $10^5$; $(-10)^5$; $-10^5$;
д) $1^6$; $(-1)^6$; $-1^6$;
е) $0.1^7$; $(-0.1)^7$; $-0.1^7$.
Решение. №1.12 (с. 7)
Решение 2. №1.12 (с. 7)
а)
$7^2 = 7 \cdot 7 = 49$.
$(-7)^2 = (-7) \cdot (-7) = 49$. Возводим в квадрат число -7. Так как показатель степени (2) является четным числом, результат будет положительным.
$-7^2 = -(7^2) = -(7 \cdot 7) = -49$. В данном выражении сначала выполняется возведение в степень числа 7, а затем к результату применяется знак минус (операция унарного минуса).
Ответ: 49; 49; -49.
б)
$5^3 = 5 \cdot 5 \cdot 5 = 125$.
$(-5)^3 = (-5) \cdot (-5) \cdot (-5) = -125$. Возводим в куб число -5. Так как показатель степени (3) является нечетным числом, результат будет отрицательным.
$-5^3 = -(5^3) = -(5 \cdot 5 \cdot 5) = -125$. Сначала возводим в степень число 5, а затем применяем знак минус.
Ответ: 125; -125; -125.
в)
$2^4 = 2 \cdot 2 \cdot 2 \cdot 2 = 16$.
$(-2)^4 = (-2) \cdot (-2) \cdot (-2) \cdot (-2) = 16$. Возводим в четвертую степень число -2. Так как показатель степени (4) четный, результат будет положительным.
$-2^4 = -(2^4) = -(2 \cdot 2 \cdot 2 \cdot 2) = -16$. Сначала выполняется возведение в степень, а затем применяется знак минус.
Ответ: 16; 16; -16.
г)
$10^5 = 10 \cdot 10 \cdot 10 \cdot 10 \cdot 10 = 100000$.
$(-10)^5 = -100000$. Возводим в пятую степень число -10. Так как показатель степени (5) нечетный, результат будет отрицательным.
$-10^5 = -(10^5) = -100000$. Сначала возводим в степень число 10, а затем применяем знак минус.
Ответ: 100000; -100000; -100000.
д)
$1^6 = 1$. Единица в любой степени равна единице.
$(-1)^6 = 1$. Возводим в шестую степень число -1. Так как показатель степени (6) четный, результат равен 1.
$-1^6 = -(1^6) = -1$. Сначала возводим 1 в степень, получаем 1, а затем применяем знак минус.
Ответ: 1; 1; -1.
е)
$0,1^7 = 0,0000001$.
$(-0,1)^7 = -0,0000001$. Возводим в седьмую степень число -0,1. Так как показатель степени (7) нечетный, результат будет отрицательным.
$-0,1^7 = -(0,1^7) = -0,0000001$. Сначала возводим в степень число 0,1, а затем применяем знак минус.
Ответ: 0,0000001; -0,0000001; -0,0000001.
Другие задания:
Помогло решение? Оставьте отзыв в комментариях ниже.
Присоединяйтесь к Телеграм-группе @gdz_by_belarus
ПрисоединитьсяМы подготовили для вас ответ c подробным объяснением домашего задания по алгебре за 7-9 класс, для упражнения номер 1.12 расположенного на странице 7 к сборнику задач 2020 года издания для учащихся школ и гимназий.
Теперь на нашем сайте ГДЗ.ТОП вы всегда легко и бесплатно найдёте условие с правильным ответом на вопрос «Как решить ДЗ» и «Как сделать» задание по алгебре к упражнению №1.12 (с. 7), авторов: Арефьева (Ирина Глебовна), Пирютко (Ольга Николаевна), учебного пособия издательства Народная асвета.