Номер 36.35, страница 182 - гдз по алгебре 7-9 класс сборник задач Арефьева, Пирютко

Алгебра, 7-9 класс Сборник задач, авторы: Арефьева Ирина Глебовна, Пирютко Ольга Николаевна, издательство Народная асвета, Минск, 2020

Авторы: Арефьева И. Г., Пирютко О. Н.

Тип: Сборник задач

Издательство: Народная асвета

Год издания: 2020 - 2025

Цвет обложки: синий с графиками

Допущено Министерством образования Республики Беларусь

Популярные ГДЗ в 7 классе

9 класс. Параграф 36. Дробно-рациональные уравнения - номер 36.35, страница 182.

№36.35 (с. 182)
Условие. №36.35 (с. 182)
скриншот условия
Алгебра, 7-9 класс Сборник задач, авторы: Арефьева Ирина Глебовна, Пирютко Ольга Николаевна, издательство Народная асвета, Минск, 2020, страница 182, номер 36.35, Условие

36.35. От пристани отправился плот, а через 40 мин вслед за плотом отправилась моторная лодка, которая догнала плот, пройдя 5 км. Какова скорость плота, если скорость моторной лодки на $10 \frac{\text{КМ}}{\text{Ч}}$ больше скорости плота?

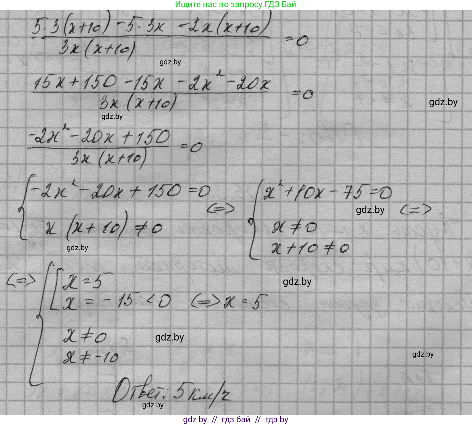
Решение. №36.35 (с. 182)
Алгебра, 7-9 класс Сборник задач, авторы: Арефьева Ирина Глебовна, Пирютко Ольга Николаевна, издательство Народная асвета, Минск, 2020, страница 182, номер 36.35, Решение Алгебра, 7-9 класс Сборник задач, авторы: Арефьева Ирина Глебовна, Пирютко Ольга Николаевна, издательство Народная асвета, Минск, 2020, страница 182, номер 36.35, Решение (продолжение 2)
Решение 2. №36.35 (с. 182)

Пусть $x$ км/ч — скорость плота. Тогда, согласно условию, скорость моторной лодки равна $(x + 10)$ км/ч.

Моторная лодка догнала плот, пройдя расстояние $S = 5$ км. И плот, и лодка прошли одинаковое расстояние до встречи.

Время, которое затратила на этот путь моторная лодка, вычисляется по формуле $t = \frac{S}{v}$:

$t_л = \frac{5}{x+10}$ ч.

Время, которое затратил на этот же путь плот:

$t_п = \frac{5}{x}$ ч.

По условию, лодка отправилась в путь на 40 минут позже плота. Это означает, что время движения плота было на 40 минут больше, чем время движения лодки. Переведем 40 минут в часы:

$40 \text{ мин} = \frac{40}{60} \text{ ч} = \frac{2}{3}$ ч.

Теперь мы можем составить уравнение, приравняв разницу во времени:

$t_п - t_л = \frac{2}{3}$

Подставим выражения для времени в уравнение:

$\frac{5}{x} - \frac{5}{x+10} = \frac{2}{3}$

Чтобы решить это уравнение, приведем дроби в левой части к общему знаменателю $x(x+10)$:

$\frac{5(x+10) - 5x}{x(x+10)} = \frac{2}{3}$

Упростим числитель в левой части:

$\frac{5x + 50 - 5x}{x^2 + 10x} = \frac{2}{3}$

$\frac{50}{x^2 + 10x} = \frac{2}{3}$

Теперь воспользуемся свойством пропорции (перекрестное умножение):

$50 \cdot 3 = 2 \cdot (x^2 + 10x)$

$150 = 2x^2 + 20x$

Разделим обе части уравнения на 2 и перенесем все слагаемые в одну сторону, чтобы получить стандартное квадратное уравнение:

$75 = x^2 + 10x$

$x^2 + 10x - 75 = 0$

Решим полученное квадратное уравнение. Найдем дискриминант:

$D = b^2 - 4ac = 10^2 - 4 \cdot 1 \cdot (-75) = 100 + 300 = 400$

Найдем корни уравнения:

$x_1 = \frac{-b + \sqrt{D}}{2a} = \frac{-10 + \sqrt{400}}{2 \cdot 1} = \frac{-10 + 20}{2} = \frac{10}{2} = 5$

$x_2 = \frac{-b - \sqrt{D}}{2a} = \frac{-10 - \sqrt{400}}{2 \cdot 1} = \frac{-10 - 20}{2} = \frac{-30}{2} = -15$

Так как скорость не может быть отрицательной величиной, корень $x_2 = -15$ не является решением задачи.

Таким образом, единственное подходящее решение — $x = 5$. Скорость плота составляет 5 км/ч.

Проверка:

Скорость плота $v_п = 5$ км/ч.

Скорость лодки $v_л = 5 + 10 = 15$ км/ч.

Время движения плота до встречи $t_п = \frac{5 \text{ км}}{5 \text{ км/ч}} = 1$ час (60 минут).

Время движения лодки до встречи $t_л = \frac{5 \text{ км}}{15 \text{ км/ч}} = \frac{1}{3}$ часа (20 минут).

Разница во времени $t_п - t_л = 60 \text{ мин} - 20 \text{ мин} = 40$ минут. Это соответствует условию задачи.

Ответ: 5 км/ч.

Помогло решение? Оставьте отзыв в комментариях ниже.

Присоединяйтесь к Телеграм-группе @gdz_by_belarus

Присоединиться

Мы подготовили для вас ответ c подробным объяснением домашего задания по алгебре за 7-9 класс, для упражнения номер 36.35 расположенного на странице 182 к сборнику задач 2020 года издания для учащихся школ и гимназий.

Теперь на нашем сайте ГДЗ.ТОП вы всегда легко и бесплатно найдёте условие с правильным ответом на вопрос «Как решить ДЗ» и «Как сделать» задание по алгебре к упражнению №36.35 (с. 182), авторов: Арефьева (Ирина Глебовна), Пирютко (Ольга Николаевна), учебного пособия издательства Народная асвета.