Номер 36.41, страница 183 - гдз по алгебре 7-9 класс сборник задач Арефьева, Пирютко

Алгебра, 7-9 класс Сборник задач, авторы: Арефьева Ирина Глебовна, Пирютко Ольга Николаевна, издательство Народная асвета, Минск, 2020

Авторы: Арефьева И. Г., Пирютко О. Н.

Тип: Сборник задач

Издательство: Народная асвета

Год издания: 2020 - 2025

Цвет обложки: синий с графиками

Допущено Министерством образования Республики Беларусь

Популярные ГДЗ в 7 классе

9 класс. Параграф 36. Дробно-рациональные уравнения - номер 36.41, страница 183.

№36.41 (с. 183)
Условие. №36.41 (с. 183)
скриншот условия
Алгебра, 7-9 класс Сборник задач, авторы: Арефьева Ирина Глебовна, Пирютко Ольга Николаевна, издательство Народная асвета, Минск, 2020, страница 183, номер 36.41, Условие

36.41*. Найдите сумму корней уравнения:

а) $ \frac{1}{x^2-6x} - \frac{1}{(x-3)^2} = \frac{9}{10} $

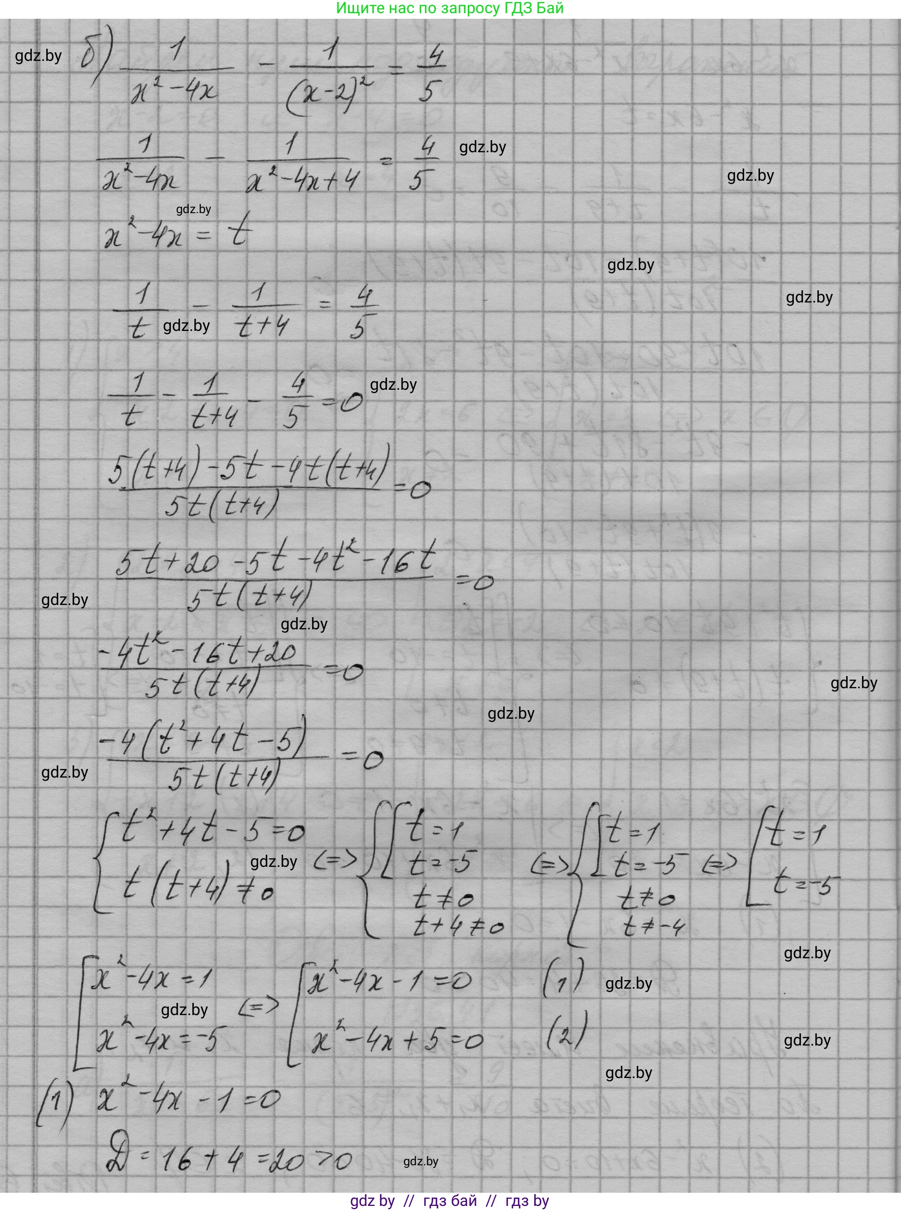
б) $ \frac{1}{x^2-4x} - \frac{1}{(x-2)^2} = \frac{4}{5} $

Решение. №36.41 (с. 183)
Алгебра, 7-9 класс Сборник задач, авторы: Арефьева Ирина Глебовна, Пирютко Ольга Николаевна, издательство Народная асвета, Минск, 2020, страница 183, номер 36.41, Решение Алгебра, 7-9 класс Сборник задач, авторы: Арефьева Ирина Глебовна, Пирютко Ольга Николаевна, издательство Народная асвета, Минск, 2020, страница 183, номер 36.41, Решение (продолжение 2)
Решение 2. №36.41 (с. 183)

а) $ \frac{1}{x^2 - 6x} - \frac{1}{(x-3)^2} = \frac{9}{10} $

Найдем область допустимых значений (ОДЗ). Знаменатели не должны равняться нулю:

$ x^2 - 6x \neq 0 \Rightarrow x(x-6) \neq 0 \Rightarrow x \neq 0 $ и $ x \neq 6 $.

$ (x-3)^2 \neq 0 \Rightarrow x-3 \neq 0 \Rightarrow x \neq 3 $.

Таким образом, ОДЗ: $ x \neq 0, x \neq 3, x \neq 6 $.

Преобразуем знаменатель первого члена, выделив полный квадрат:

$ x^2 - 6x = x^2 - 6x + 9 - 9 = (x-3)^2 - 9 $.

Подставим это выражение в исходное уравнение:

$ \frac{1}{(x-3)^2 - 9} - \frac{1}{(x-3)^2} = \frac{9}{10} $

Сделаем замену переменной. Пусть $ y = (x-3)^2 $. Так как квадрат действительного числа не может быть отрицательным и $x \neq 3$, то $ y > 0 $.

Уравнение примет вид:

$ \frac{1}{y - 9} - \frac{1}{y} = \frac{9}{10} $

Приведем левую часть к общему знаменателю:

$ \frac{y - (y-9)}{y(y-9)} = \frac{9}{10} $

$ \frac{9}{y(y-9)} = \frac{9}{10} $

Так как числители равны и не равны нулю, знаменатели также должны быть равны:

$ y(y-9) = 10 $

$ y^2 - 9y - 10 = 0 $

Решим полученное квадратное уравнение относительно $y$. По теореме Виета, сумма корней равна 9, а произведение равно -10. Корни: $ y_1 = 10 $ и $ y_2 = -1 $.

Проверим корни на соответствие условию $ y > 0 $.

$ y_1 = 10 $ подходит, так как $ 10 > 0 $.

$ y_2 = -1 $ не подходит, так как $ -1 < 0 $.

Выполним обратную замену для $ y = 10 $:

$ (x-3)^2 = 10 $

Извлечем квадратный корень из обеих частей:

$ x-3 = \sqrt{10} $ или $ x-3 = -\sqrt{10} $.

Отсюда находим два корня исходного уравнения:

$ x_1 = 3 + \sqrt{10} $

$ x_2 = 3 - \sqrt{10} $

Оба корня удовлетворяют ОДЗ ($ x \neq 0, x \neq 3, x \neq 6 $).

Найдем сумму корней:

$ x_1 + x_2 = (3 + \sqrt{10}) + (3 - \sqrt{10}) = 6 $.

Ответ: 6

б) $ \frac{1}{x^2 - 4x} - \frac{1}{(x-2)^2} = \frac{4}{5} $

Найдем область допустимых значений (ОДЗ):

$ x^2 - 4x \neq 0 \Rightarrow x(x-4) \neq 0 \Rightarrow x \neq 0 $ и $ x \neq 4 $.

$ (x-2)^2 \neq 0 \Rightarrow x-2 \neq 0 \Rightarrow x \neq 2 $.

Таким образом, ОДЗ: $ x \neq 0, x \neq 2, x \neq 4 $.

Преобразуем знаменатель первого члена, выделив полный квадрат:

$ x^2 - 4x = x^2 - 4x + 4 - 4 = (x-2)^2 - 4 $.

Подставим это выражение в исходное уравнение:

$ \frac{1}{(x-2)^2 - 4} - \frac{1}{(x-2)^2} = \frac{4}{5} $

Сделаем замену переменной. Пусть $ y = (x-2)^2 $. Так как квадрат действительного числа не может быть отрицательным и $x \neq 2$, то $ y > 0 $.

Уравнение примет вид:

$ \frac{1}{y - 4} - \frac{1}{y} = \frac{4}{5} $

Приведем левую часть к общему знаменателю:

$ \frac{y - (y-4)}{y(y-4)} = \frac{4}{5} $

$ \frac{4}{y(y-4)} = \frac{4}{5} $

Так как числители равны и не равны нулю, знаменатели также должны быть равны:

$ y(y-4) = 5 $

$ y^2 - 4y - 5 = 0 $

Решим полученное квадратное уравнение относительно $y$. По теореме Виета, сумма корней равна 4, а произведение равно -5. Корни: $ y_1 = 5 $ и $ y_2 = -1 $.

Проверим корни на соответствие условию $ y > 0 $.

$ y_1 = 5 $ подходит, так как $ 5 > 0 $.

$ y_2 = -1 $ не подходит, так как $ -1 < 0 $.

Выполним обратную замену для $ y = 5 $:

$ (x-2)^2 = 5 $

Извлечем квадратный корень из обеих частей:

$ x-2 = \sqrt{5} $ или $ x-2 = -\sqrt{5} $.

Отсюда находим два корня исходного уравнения:

$ x_1 = 2 + \sqrt{5} $

$ x_2 = 2 - \sqrt{5} $

Оба корня удовлетворяют ОДЗ ($ x \neq 0, x \neq 2, x \neq 4 $).

Найдем сумму корней:

$ x_1 + x_2 = (2 + \sqrt{5}) + (2 - \sqrt{5}) = 4 $.

Ответ: 4

Помогло решение? Оставьте отзыв в комментариях ниже.

Присоединяйтесь к Телеграм-группе @gdz_by_belarus

Присоединиться

Мы подготовили для вас ответ c подробным объяснением домашего задания по алгебре за 7-9 класс, для упражнения номер 36.41 расположенного на странице 183 к сборнику задач 2020 года издания для учащихся школ и гимназий.

Теперь на нашем сайте ГДЗ.ТОП вы всегда легко и бесплатно найдёте условие с правильным ответом на вопрос «Как решить ДЗ» и «Как сделать» задание по алгебре к упражнению №36.41 (с. 183), авторов: Арефьева (Ирина Глебовна), Пирютко (Ольга Николаевна), учебного пособия издательства Народная асвета.