Номер 37.20, страница 187 - гдз по алгебре 7-9 класс сборник задач Арефьева, Пирютко

Алгебра, 7-9 класс Сборник задач, авторы: Арефьева Ирина Глебовна, Пирютко Ольга Николаевна, издательство Народная асвета, Минск, 2020

Авторы: Арефьева И. Г., Пирютко О. Н.

Тип: Сборник задач

Издательство: Народная асвета

Год издания: 2020 - 2025

Цвет обложки: синий с графиками

Допущено Министерством образования Республики Беларусь

Популярные ГДЗ в 7 классе

9 класс. Параграф 37. Системы нелинейных уравнений - номер 37.20, страница 187.

№37.20 (с. 187)
Условие. №37.20 (с. 187)
скриншот условия
Алгебра, 7-9 класс Сборник задач, авторы: Арефьева Ирина Глебовна, Пирютко Ольга Николаевна, издательство Народная асвета, Минск, 2020, страница 187, номер 37.20, Условие

37.20. Определите координаты центра окружности радиусом 5, если она проходит через точки $(6; 0)$ и $(0; 8)$.

Решение. №37.20 (с. 187)
Алгебра, 7-9 класс Сборник задач, авторы: Арефьева Ирина Глебовна, Пирютко Ольга Николаевна, издательство Народная асвета, Минск, 2020, страница 187, номер 37.20, Решение Алгебра, 7-9 класс Сборник задач, авторы: Арефьева Ирина Глебовна, Пирютко Ольга Николаевна, издательство Народная асвета, Минск, 2020, страница 187, номер 37.20, Решение (продолжение 2)
Решение 2. №37.20 (с. 187)

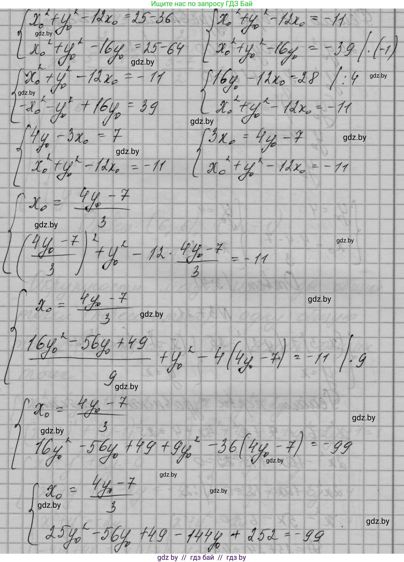
Пусть координаты центра искомой окружности будут $(x_0; y_0)$. Уравнение окружности с центром в точке $(x_0; y_0)$ и радиусом $R$ имеет следующий вид:$(x - x_0)^2 + (y - y_0)^2 = R^2$.

По условию задачи, радиус окружности $R=5$. Следовательно, уравнение нашей окружности:$(x - x_0)^2 + (y - y_0)^2 = 5^2 = 25$.

Известно, что окружность проходит через точки $A(6; 0)$ и $B(0; 8)$. Это означает, что координаты этих точек удовлетворяют уравнению окружности. Подставим координаты точек в уравнение, чтобы получить систему уравнений с двумя неизвестными $x_0$ и $y_0$.

Для точки $A(6; 0)$:$(6 - x_0)^2 + (0 - y_0)^2 = 25$$(6 - x_0)^2 + y_0^2 = 25$ (1)

Для точки $B(0; 8)$:$(0 - x_0)^2 + (8 - y_0)^2 = 25$$x_0^2 + (8 - y_0)^2 = 25$ (2)

Теперь у нас есть система из двух уравнений. Раскроем скобки в каждом из них:

Из уравнения (1): $36 - 12x_0 + x_0^2 + y_0^2 = 25$

Из уравнения (2): $x_0^2 + 64 - 16y_0 + y_0^2 = 25$

Поскольку левые части обоих уравнений равны 25, мы можем их приравнять друг к другу:$36 - 12x_0 + x_0^2 + y_0^2 = x_0^2 + 64 - 16y_0 + y_0^2$

Сократим одинаковые члены ($x_0^2$ и $y_0^2$) в обеих частях равенства:$36 - 12x_0 = 64 - 16y_0$

Теперь выразим одну переменную через другую. Перенесем члены с переменными в левую часть, а числовые константы — в правую:$16y_0 - 12x_0 = 64 - 36$$16y_0 - 12x_0 = 28$

Разделим обе части уравнения на 4 для упрощения:$4y_0 - 3x_0 = 7$

Из этого уравнения выразим $x_0$:$3x_0 = 4y_0 - 7$$x_0 = \frac{4y_0 - 7}{3}$

Теперь подставим это выражение для $x_0$ в любое из первоначальных уравнений, например, в уравнение (2): $x_0^2 + (8 - y_0)^2 = 25$.$(\frac{4y_0 - 7}{3})^2 + (8 - y_0)^2 = 25$

Возведем в квадрат и раскроем скобки:$\frac{(4y_0 - 7)^2}{9} + (64 - 16y_0 + y_0^2) = 25$$\frac{16y_0^2 - 56y_0 + 49}{9} + 64 - 16y_0 + y_0^2 = 25$

Умножим все уравнение на 9, чтобы избавиться от знаменателя:$16y_0^2 - 56y_0 + 49 + 9(64 - 16y_0 + y_0^2) = 9 \cdot 25$$16y_0^2 - 56y_0 + 49 + 576 - 144y_0 + 9y_0^2 = 225$

Приведем подобные слагаемые:$(16 + 9)y_0^2 + (-56 - 144)y_0 + (49 + 576) = 225$$25y_0^2 - 200y_0 + 625 = 225$

Перенесем 225 в левую часть уравнения:$25y_0^2 - 200y_0 + 625 - 225 = 0$$25y_0^2 - 200y_0 + 400 = 0$

Разделим все уравнение на 25:$y_0^2 - 8y_0 + 16 = 0$

Полученное квадратное уравнение является полным квадратом:$(y_0 - 4)^2 = 0$

Отсюда находим единственное значение для $y_0$:$y_0 - 4 = 0 \implies y_0 = 4$

Теперь найдем $x_0$, подставив значение $y_0 = 4$ в ранее полученное выражение $x_0 = \frac{4y_0 - 7}{3}$:$x_0 = \frac{4(4) - 7}{3} = \frac{16 - 7}{3} = \frac{9}{3} = 3$

Таким образом, координаты центра окружности: $(3; 4)$.

Ответ: (3; 4).

Помогло решение? Оставьте отзыв в комментариях ниже.

Присоединяйтесь к Телеграм-группе @gdz_by_belarus

Присоединиться

Мы подготовили для вас ответ c подробным объяснением домашего задания по алгебре за 7-9 класс, для упражнения номер 37.20 расположенного на странице 187 к сборнику задач 2020 года издания для учащихся школ и гимназий.

Теперь на нашем сайте ГДЗ.ТОП вы всегда легко и бесплатно найдёте условие с правильным ответом на вопрос «Как решить ДЗ» и «Как сделать» задание по алгебре к упражнению №37.20 (с. 187), авторов: Арефьева (Ирина Глебовна), Пирютко (Ольга Николаевна), учебного пособия издательства Народная асвета.