Номер 37.25, страница 188 - гдз по алгебре 7-9 класс сборник задач Арефьева, Пирютко

Алгебра, 7-9 класс Сборник задач, авторы: Арефьева Ирина Глебовна, Пирютко Ольга Николаевна, издательство Народная асвета, Минск, 2020

Авторы: Арефьева И. Г., Пирютко О. Н.

Тип: Сборник задач

Издательство: Народная асвета

Год издания: 2020 - 2025

Цвет обложки: синий с графиками

Допущено Министерством образования Республики Беларусь

Популярные ГДЗ в 7 классе

9 класс. Параграф 37. Системы нелинейных уравнений - номер 37.25, страница 188.

№37.25 (с. 188)
Условие. №37.25 (с. 188)
скриншот условия
Алгебра, 7-9 класс Сборник задач, авторы: Арефьева Ирина Глебовна, Пирютко Ольга Николаевна, издательство Народная асвета, Минск, 2020, страница 188, номер 37.25, Условие

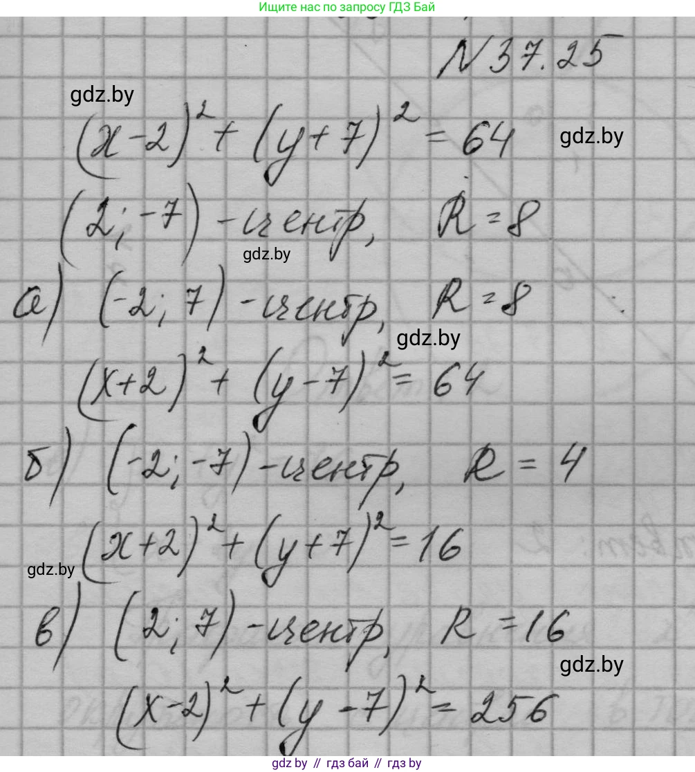
37.25. Дана окружность $(x-2)^2 + (y+7)^2 = 64$. Запишите уравнение окружности, центр которой симметричен центру данной окружности:

а) относительно начала координат, а радиус которой равен радиусу данной окружности;

б) относительно оси ординат, а радиус которой в два раза меньше радиуса данной окружности;

в) относительно оси абсцисс, а радиус которой в два раза больше радиуса данной окружности.

Решение. №37.25 (с. 188)
Алгебра, 7-9 класс Сборник задач, авторы: Арефьева Ирина Глебовна, Пирютко Ольга Николаевна, издательство Народная асвета, Минск, 2020, страница 188, номер 37.25, Решение
Решение 2. №37.25 (с. 188)

Сначала найдем центр и радиус данной окружности. Уравнение окружности в общем виде: $(x - x_0)^2 + (y - y_0)^2 = R^2$, где $(x_0, y_0)$ — координаты центра, а $R$ — радиус. Дано уравнение: $(x - 2)^2 + (y + 7)^2 = 64$. Сравнивая с общей формой, находим, что центр данной окружности $C_0$ имеет координаты $(2, -7)$, а радиус $R_0 = \sqrt{64} = 8$.

а) Найдем координаты центра новой окружности. Он должен быть симметричен центру $C_0(2, -7)$ относительно начала координат $(0, 0)$. Точка, симметричная точке $(x, y)$ относительно начала координат, имеет координаты $(-x, -y)$. Следовательно, новый центр $C_a$ имеет координаты $(-2, -(-7)) = (-2, 7)$. Радиус новой окружности $R_a$ равен радиусу данной окружности, то есть $R_a = 8$. Подставим координаты нового центра и радиус в общее уравнение окружности:
$(x - (-2))^2 + (y - 7)^2 = 8^2$
$(x + 2)^2 + (y - 7)^2 = 64$
Ответ: $(x + 2)^2 + (y - 7)^2 = 64$

б) Найдем координаты центра новой окружности. Он должен быть симметричен центру $C_0(2, -7)$ относительно оси ординат (оси OY). Точка, симметричная точке $(x, y)$ относительно оси ординат, имеет координаты $(-x, y)$. Следовательно, новый центр $C_б$ имеет координаты $(-2, -7)$. Радиус новой окружности $R_б$ в два раза меньше радиуса данной окружности: $R_б = R_0 / 2 = 8 / 2 = 4$. Подставим координаты нового центра и радиус в общее уравнение окружности:
$(x - (-2))^2 + (y - (-7))^2 = 4^2$
$(x + 2)^2 + (y + 7)^2 = 16$
Ответ: $(x + 2)^2 + (y + 7)^2 = 16$

в) Найдем координаты центра новой окружности. Он должен быть симметричен центру $C_0(2, -7)$ относительно оси абсцисс (оси OX). Точка, симметричная точке $(x, y)$ относительно оси абсцисс, имеет координаты $(x, -y)$. Следовательно, новый центр $C_в$ имеет координаты $(2, -(-7)) = (2, 7)$. Радиус новой окружности $R_в$ в два раза больше радиуса данной окружности: $R_в = R_0 \cdot 2 = 8 \cdot 2 = 16$. Подставим координаты нового центра и радиус в общее уравнение окружности:
$(x - 2)^2 + (y - 7)^2 = 16^2$
$(x - 2)^2 + (y - 7)^2 = 256$
Ответ: $(x - 2)^2 + (y - 7)^2 = 256$

Помогло решение? Оставьте отзыв в комментариях ниже.

Присоединяйтесь к Телеграм-группе @gdz_by_belarus

Присоединиться

Мы подготовили для вас ответ c подробным объяснением домашего задания по алгебре за 7-9 класс, для упражнения номер 37.25 расположенного на странице 188 к сборнику задач 2020 года издания для учащихся школ и гимназий.

Теперь на нашем сайте ГДЗ.ТОП вы всегда легко и бесплатно найдёте условие с правильным ответом на вопрос «Как решить ДЗ» и «Как сделать» задание по алгебре к упражнению №37.25 (с. 188), авторов: Арефьева (Ирина Глебовна), Пирютко (Ольга Николаевна), учебного пособия издательства Народная асвета.