Номер 38.13, страница 192 - гдз по алгебре 7-9 класс сборник задач Арефьева, Пирютко

Алгебра, 7-9 класс Сборник задач, авторы: Арефьева Ирина Глебовна, Пирютко Ольга Николаевна, издательство Народная асвета, Минск, 2020

Авторы: Арефьева И. Г., Пирютко О. Н.

Тип: Сборник задач

Издательство: Народная асвета

Год издания: 2020 - 2025

Цвет обложки: синий с графиками

Допущено Министерством образования Республики Беларусь

Популярные ГДЗ в 7 классе

9 класс. Параграф 38. Дробно-рациональные неравенства. Метод интервалов для решения рациональных неравенств - номер 38.13, страница 192.

№38.13 (с. 192)
Условие. №38.13 (с. 192)
скриншот условия
Алгебра, 7-9 класс Сборник задач, авторы: Арефьева Ирина Глебовна, Пирютко Ольга Николаевна, издательство Народная асвета, Минск, 2020, страница 192, номер 38.13, Условие

38.13. Решите неравенство:

а) $\frac{x}{x-4} \le \frac{3}{x-4};$

б) $\frac{7}{x^2-4} \ge \frac{2x}{4-x^2};$

в) $\frac{x}{x-2} < 5;$

г) $\frac{7-x}{3x+7} > 1;$

д) $\frac{5x-1}{x} \le 3;$

е) $\frac{2}{x-5} < \frac{3}{x-7};$

ж) $\frac{5}{x-2} \ge \frac{1}{1-x};$

з) $\frac{4x-1}{x+5} > \frac{x}{2};$

и) $\frac{9}{x-5} < x-5;$

к) $x+3 \le \frac{4}{x+3};$

Решение. №38.13 (с. 192)
Алгебра, 7-9 класс Сборник задач, авторы: Арефьева Ирина Глебовна, Пирютко Ольга Николаевна, издательство Народная асвета, Минск, 2020, страница 192, номер 38.13, Решение Алгебра, 7-9 класс Сборник задач, авторы: Арефьева Ирина Глебовна, Пирютко Ольга Николаевна, издательство Народная асвета, Минск, 2020, страница 192, номер 38.13, Решение (продолжение 2)
Решение 2. №38.13 (с. 192)

а)

Исходное неравенство: $\frac{x}{x-4} \le \frac{3}{x-4}$

1. Область допустимых значений (ОДЗ): знаменатель не должен быть равен нулю, поэтому $x - 4 \neq 0$, что означает $x \neq 4$.

2. Перенесем все члены в левую часть:

$\frac{x}{x-4} - \frac{3}{x-4} \le 0$

3. Упростим выражение, так как знаменатели одинаковы:

$\frac{x-3}{x-4} \le 0$

4. Решим неравенство методом интервалов. Найдем нули числителя и знаменателя.

Нуль числителя: $x - 3 = 0 \Rightarrow x = 3$. Эта точка включается в решение, так как неравенство нестрогое ($\le$).

Нуль знаменателя: $x - 4 = 0 \Rightarrow x = 4$. Эта точка исключается из решения (ОДЗ).

5. Отметим точки на числовой прямой и определим знаки выражения $\frac{x-3}{x-4}$ в каждом интервале:

При $x > 4$ (например, $x=5$): $\frac{5-3}{5-4} = 2 > 0$.

При $3 < x < 4$ (например, $x=3.5$): $\frac{3.5-3}{3.5-4} = -1 < 0$.

При $x < 3$ (например, $x=0$): $\frac{0-3}{0-4} = \frac{3}{4} > 0$.

Нам нужен интервал, где выражение меньше или равно нулю. Это интервал $(3, 4)$, включая точку $x=3$.

Ответ: $x \in [3, 4)$.

б)

Исходное неравенство: $\frac{7}{x^2-4} \ge \frac{2x}{4-x^2}$

1. ОДЗ: $x^2 - 4 \neq 0 \Rightarrow (x-2)(x+2) \neq 0$, то есть $x \neq 2$ и $x \neq -2$.

2. Заметим, что $4-x^2 = -(x^2-4)$. Перепишем неравенство:

$\frac{7}{x^2-4} \ge -\frac{2x}{x^2-4}$

3. Перенесем все в левую часть:

$\frac{7}{x^2-4} + \frac{2x}{x^2-4} \ge 0$

$\frac{2x+7}{x^2-4} \ge 0 \Rightarrow \frac{2x+7}{(x-2)(x+2)} \ge 0$

4. Метод интервалов. Нули числителя: $2x+7=0 \Rightarrow x = -3.5$ (включается). Нули знаменателя: $x=2$ и $x=-2$ (исключаются).

5. Точки на числовой прямой: -3.5, -2, 2. Интервалы: $(-\infty, -3.5]$, $[-3.5, -2)$, $(-2, 2)$, $(2, \infty)$.

Определим знаки в интервалах:

При $x > 2$ (например, $x=3$): $\frac{+}{(+)(+)} = +$.

При $-2 < x < 2$ (например, $x=0$): $\frac{+}{(-)(+)} = -$.

При $-3.5 < x < -2$ (например, $x=-3$): $\frac{+}{(-)(-)} = +$.

При $x < -3.5$ (например, $x=-4$): $\frac{-}{(-)(-)} = -$.

Нам нужны интервалы, где выражение больше или равно нулю.

Ответ: $x \in [-3.5, -2) \cup (2, \infty)$.

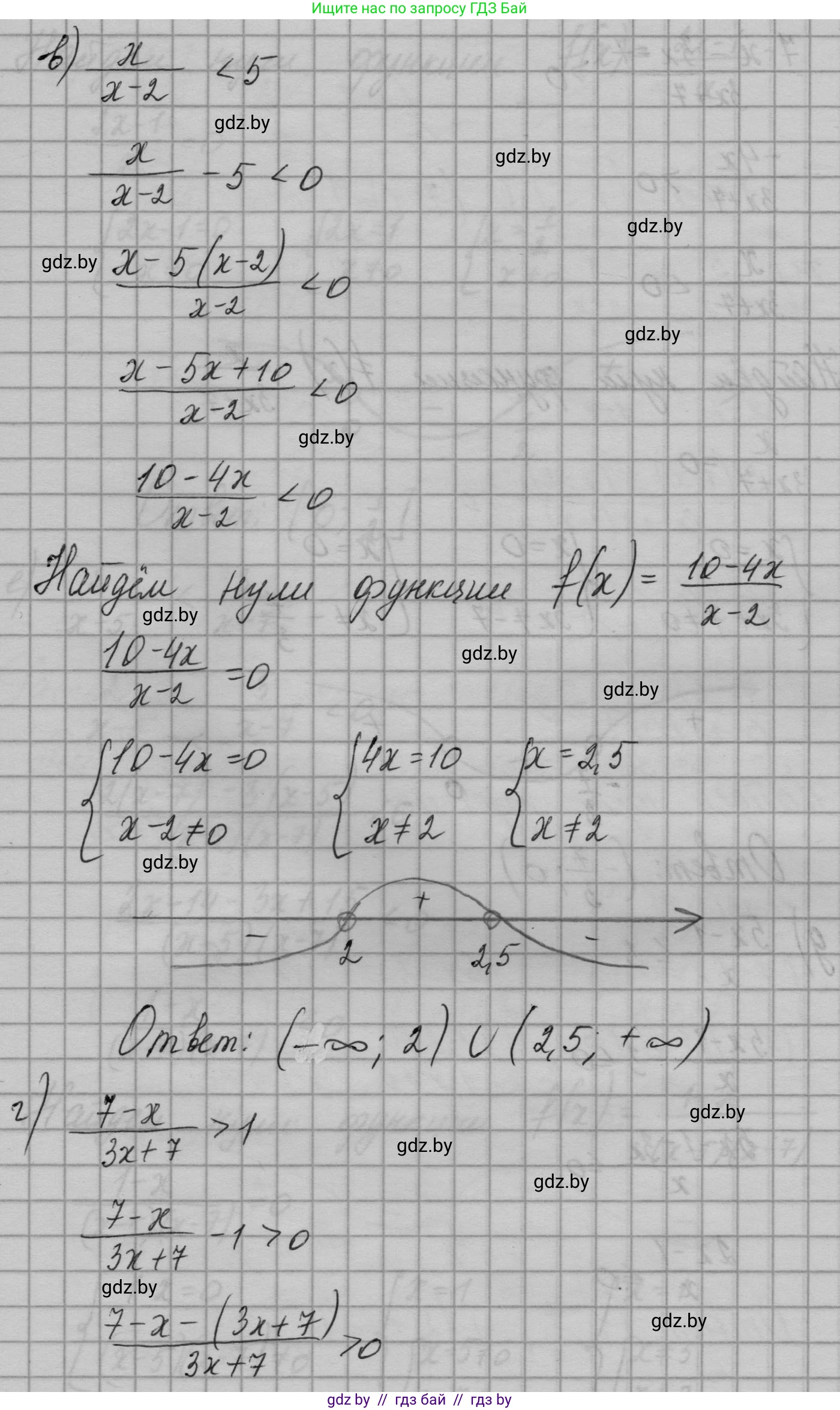
в)

Исходное неравенство: $\frac{x}{x-2} < 5$

1. ОДЗ: $x - 2 \neq 0 \Rightarrow x \neq 2$.

2. Перенесем 5 в левую часть:

$\frac{x}{x-2} - 5 < 0$

3. Приведем к общему знаменателю:

$\frac{x - 5(x-2)}{x-2} < 0 \Rightarrow \frac{x - 5x + 10}{x-2} < 0 \Rightarrow \frac{-4x+10}{x-2} < 0$

4. Умножим на -1 и сменим знак неравенства:

$\frac{4x-10}{x-2} > 0$

5. Метод интервалов. Нули числителя: $4x-10=0 \Rightarrow x = 2.5$. Нули знаменателя: $x-2=0 \Rightarrow x = 2$. Обе точки исключаются.

6. Точки на прямой: 2, 2.5. Интервалы: $(-\infty, 2)$, $(2, 2.5)$, $(2.5, \infty)$.

Знаки: $(+), (-), (+)$. Нам нужны интервалы со знаком "+".

Ответ: $x \in (-\infty, 2) \cup (2.5, \infty)$.

г)

Исходное неравенство: $\frac{7-x}{3x+7} > 1$

1. ОДЗ: $3x+7 \neq 0 \Rightarrow x \neq -7/3$.

2. Перенесем 1 в левую часть:

$\frac{7-x}{3x+7} - 1 > 0$

3. Приведем к общему знаменателю:

$\frac{7-x - (3x+7)}{3x+7} > 0 \Rightarrow \frac{7-x-3x-7}{3x+7} > 0 \Rightarrow \frac{-4x}{3x+7} > 0$

4. Умножим на $-1/4$ и сменим знак неравенства:

$\frac{x}{3x+7} < 0$

5. Метод интервалов. Нули: $x=0$ и $x=-7/3$. Обе точки исключаются.

6. Точки на прямой: $-7/3, 0$. Интервалы: $(-\infty, -7/3)$, $(-7/3, 0)$, $(0, \infty)$.

Знаки: $(+), (-), (+)$. Нам нужен интервал со знаком "-".

Ответ: $x \in (-7/3, 0)$.

д)

Исходное неравенство: $\frac{5x-1}{x} \le 3$

1. ОДЗ: $x \neq 0$.

2. Перенесем 3 в левую часть:

$\frac{5x-1}{x} - 3 \le 0$

3. Приведем к общему знаменателю:

$\frac{5x-1-3x}{x} \le 0 \Rightarrow \frac{2x-1}{x} \le 0$

4. Метод интервалов. Нуль числителя: $2x-1=0 \Rightarrow x=0.5$ (включается). Нуль знаменателя: $x=0$ (исключается).

5. Точки на прямой: 0, 0.5. Интервалы: $(-\infty, 0)$, $(0, 0.5]$, $[0.5, \infty)$.

Знаки: $(+), (-), (+)$. Нам нужен интервал со знаком "-".

Ответ: $x \in (0, 0.5]$.

е)

Исходное неравенство: $\frac{2}{x-5} < \frac{3}{x-7}$

1. ОДЗ: $x \neq 5$, $x \neq 7$.

2. Перенесем все в левую часть:

$\frac{2}{x-5} - \frac{3}{x-7} < 0$

3. Приведем к общему знаменателю:

$\frac{2(x-7) - 3(x-5)}{(x-5)(x-7)} < 0 \Rightarrow \frac{2x-14-3x+15}{(x-5)(x-7)} < 0 \Rightarrow \frac{-x+1}{(x-5)(x-7)} < 0$

4. Умножим на -1 и сменим знак неравенства:

$\frac{x-1}{(x-5)(x-7)} > 0$

5. Метод интервалов. Нули: $x=1, x=5, x=7$. Все точки исключаются.

6. Точки на прямой: 1, 5, 7. Интервалы: $(-\infty, 1)$, $(1, 5)$, $(5, 7)$, $(7, \infty)$.

Знаки: $(-), (+), (-), (+)$. Нам нужны интервалы со знаком "+".

Ответ: $x \in (1, 5) \cup (7, \infty)$.

ж)

Исходное неравенство: $\frac{5}{x-2} \ge \frac{1}{1-x}$

1. ОДЗ: $x \neq 2$, $x \neq 1$.

2. Перенесем все в левую часть:

$\frac{5}{x-2} - \frac{1}{1-x} \ge 0 \Rightarrow \frac{5}{x-2} + \frac{1}{x-1} \ge 0$

3. Приведем к общему знаменателю:

$\frac{5(x-1) + (x-2)}{(x-2)(x-1)} \ge 0 \Rightarrow \frac{5x-5+x-2}{(x-2)(x-1)} \ge 0 \Rightarrow \frac{6x-7}{(x-1)(x-2)} \ge 0$

4. Метод интервалов. Нуль числителя: $6x-7=0 \Rightarrow x=7/6$ (включается). Нули знаменателя: $x=1, x=2$ (исключаются).

5. Точки на прямой: 1, 7/6, 2. Интервалы: $(-\infty, 1)$, $(1, 7/6]$, $[7/6, 2)$, $(2, \infty)$.

Знаки: $(-), (+), (-), (+)$. Нам нужны интервалы со знаком "+".

Ответ: $x \in (1, 7/6] \cup (2, \infty)$.

з)

Исходное неравенство: $\frac{4x-1}{x+5} > \frac{x}{2}$

1. ОДЗ: $x \neq -5$.

2. Перенесем все в левую часть:

$\frac{4x-1}{x+5} - \frac{x}{2} > 0$

3. Приведем к общему знаменателю:

$\frac{2(4x-1) - x(x+5)}{2(x+5)} > 0 \Rightarrow \frac{8x-2-x^2-5x}{2(x+5)} > 0 \Rightarrow \frac{-x^2+3x-2}{2(x+5)} > 0$

4. Умножим на -1 и сменим знак неравенства:

$\frac{x^2-3x+2}{2(x+5)} < 0 \Rightarrow \frac{(x-1)(x-2)}{2(x+5)} < 0$

5. Метод интервалов. Нули числителя: $x=1, x=2$. Нуль знаменателя: $x=-5$. Все точки исключаются.

6. Точки на прямой: -5, 1, 2. Интервалы: $(-\infty, -5)$, $(-5, 1)$, $(1, 2)$, $(2, \infty)$.

Знаки: $(-), (+), (-), (+)$. Нам нужны интервалы со знаком "-".

Ответ: $x \in (-\infty, -5) \cup (1, 2)$.

и)

Исходное неравенство: $\frac{9}{x-5} < x-5$

1. ОДЗ: $x \neq 5$.

2. Перенесем все в левую часть:

$\frac{9}{x-5} - (x-5) < 0$

3. Приведем к общему знаменателю:

$\frac{9 - (x-5)^2}{x-5} < 0$

4. Разложим числитель как разность квадратов $a^2-b^2 = (a-b)(a+b)$:

$\frac{(3 - (x-5))(3 + (x-5))}{x-5} < 0 \Rightarrow \frac{(3-x+5)(3+x-5)}{x-5} < 0 \Rightarrow \frac{(8-x)(x-2)}{x-5} < 0$

5. Умножим на -1 и сменим знак:

$\frac{(x-8)(x-2)}{x-5} > 0$

6. Метод интервалов. Нули: $x=2, x=5, x=8$. Все точки исключаются.

7. Точки на прямой: 2, 5, 8. Интервалы: $(-\infty, 2)$, $(2, 5)$, $(5, 8)$, $(8, \infty)$.

Знаки: $(-), (+), (-), (+)$. Нам нужны интервалы со знаком "+".

Ответ: $x \in (2, 5) \cup (8, \infty)$.

к)

Исходное неравенство: $x+3 \le \frac{4}{x+3}$

1. ОДЗ: $x \neq -3$.

2. Перенесем все в левую часть:

$x+3 - \frac{4}{x+3} \le 0$

3. Приведем к общему знаменателю:

$\frac{(x+3)^2 - 4}{x+3} \le 0$

4. Разложим числитель как разность квадратов:

$\frac{((x+3)-2)((x+3)+2)}{x+3} \le 0 \Rightarrow \frac{(x+1)(x+5)}{x+3} \le 0$

5. Метод интервалов. Нули числителя: $x=-1, x=-5$ (включаются). Нуль знаменателя: $x=-3$ (исключается).

6. Точки на прямой: -5, -3, -1. Интервалы: $(-\infty, -5]$, $[-5, -3)$, $(-3, -1]$, $[-1, \infty)$.

Знаки: $(-), (+), (-), (+)$. Нам нужны интервалы со знаком "-".

Ответ: $x \in (-\infty, -5] \cup (-3, -1]$.

Помогло решение? Оставьте отзыв в комментариях ниже.

Присоединяйтесь к Телеграм-группе @gdz_by_belarus

Присоединиться

Мы подготовили для вас ответ c подробным объяснением домашего задания по алгебре за 7-9 класс, для упражнения номер 38.13 расположенного на странице 192 к сборнику задач 2020 года издания для учащихся школ и гимназий.

Теперь на нашем сайте ГДЗ.ТОП вы всегда легко и бесплатно найдёте условие с правильным ответом на вопрос «Как решить ДЗ» и «Как сделать» задание по алгебре к упражнению №38.13 (с. 192), авторов: Арефьева (Ирина Глебовна), Пирютко (Ольга Николаевна), учебного пособия издательства Народная асвета.