Номер 38.20, страница 193 - гдз по алгебре 7-9 класс сборник задач Арефьева, Пирютко
Авторы: Арефьева И. Г., Пирютко О. Н.
Тип: Сборник задач
Издательство: Народная асвета
Год издания: 2020 - 2025
Цвет обложки: синий с графиками
Допущено Министерством образования Республики Беларусь
Популярные ГДЗ в 7 классе
9 класс. Параграф 38. Дробно-рациональные неравенства. Метод интервалов для решения рациональных неравенств - номер 38.20, страница 193.
№38.20 (с. 193)
Условие. №38.20 (с. 193)
скриншот условия
38.20*. Решите неравенство методом интервалов:
а) $ \frac{x^2(x^2 - 64)}{x^2 - 14x + 48} < 0; $
б) $ \frac{x^4 - 17x^2 + 16}{5x + 20} \le 0; $
в) $ \frac{x^2 + 4x + 3}{x^2 + 5x + 6} \cdot \left(1 - \frac{2}{x + 2}\right) \le 0; $
г) $ \left(\frac{x}{x - 1}\right)^2 - \frac{1}{x + 1} \le \frac{2x}{x^3 - x^2 - x + 1}. $
Решение. №38.20 (с. 193)
Решение 2. №38.20 (с. 193)
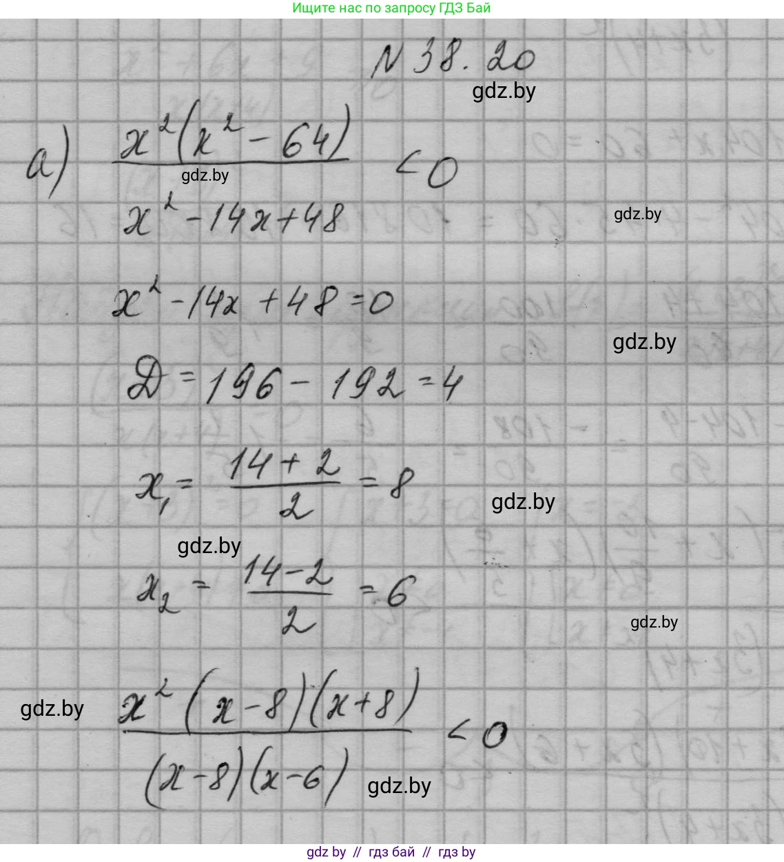
а) Дано неравенство $ \frac{x^2(x^2 - 64)}{x^2 - 14x + 48} < 0 $.
1. Разложим числитель и знаменатель дроби на множители.
Числитель: $ x^2(x^2 - 64) = x^2(x - 8)(x + 8) $.
Знаменатель: $ x^2 - 14x + 48 $. Найдем корни уравнения $ x^2 - 14x + 48 = 0 $. По теореме Виета сумма корней равна 14, а их произведение равно 48. Следовательно, корни это 6 и 8. Тогда $ x^2 - 14x + 48 = (x - 6)(x - 8) $.
2. Перепишем неравенство в виде: $ \frac{x^2(x - 8)(x + 8)}{(x - 6)(x - 8)} < 0 $.
3. Область допустимых значений (ОДЗ) определяется условием, что знаменатель не равен нулю: $ (x - 6)(x - 8) \neq 0 $, откуда $ x \neq 6 $ и $ x \neq 8 $.
4. Сократим дробь на множитель $ (x - 8) $, учитывая ОДЗ ($ x \neq 8 $):
$ \frac{x^2(x + 8)}{x - 6} < 0 $.
5. Применим метод интервалов. Найдем нули числителя и знаменателя.
Нули числителя: $ x^2 = 0 \implies x = 0 $ (корень кратности 2); $ x + 8 = 0 \implies x = -8 $ (корень кратности 1).
Нуль знаменателя: $ x - 6 = 0 \implies x = 6 $ (корень кратности 1).
6. Отметим на числовой прямой точки -8, 0, 6. Так как неравенство строгое, все точки выколотые. При переходе через точку $ x=0 $ (корень четной кратности) знак выражения не меняется, а при переходе через точки $ x=-8 $ и $ x=6 $ (корни нечетной кратности) — меняется.
Определим знак на крайнем правом интервале $ (6; +\infty) $, взяв, например, $ x=10 $: $ \frac{10^2(10 + 8)}{10 - 6} > 0 $.
Расставим знаки на интервалах: $ (-\infty; -8) \to + $; $ (-8; 0) \to - $; $ (0; 6) \to - $; $ (6; +\infty) \to + $.
7. Выбираем интервалы, где выражение отрицательно: $ (-8; 0) $ и $ (0; 6) $. ОДЗ ($ x \neq 8 $) выполнено.
Ответ: $ x \in (-8; 0) \cup (0; 6) $.
б) Дано неравенство $ \frac{x^4 - 17x^2 + 16}{5x + 20} \le 0 $.
1. Разложим числитель и знаменатель на множители.
Числитель: $ x^4 - 17x^2 + 16 $. Сделаем замену $ t = x^2 $ ($ t \ge 0 $). Получим квадратное уравнение $ t^2 - 17t + 16 = 0 $. Его корни $ t_1 = 1, t_2 = 16 $. Возвращаемся к замене: $ x^2 = 1 \implies x = \pm 1 $; $ x^2 = 16 \implies x = \pm 4 $.
Тогда $ x^4 - 17x^2 + 16 = (x-1)(x+1)(x-4)(x+4) $.
Знаменатель: $ 5x + 20 = 5(x + 4) $.
2. Перепишем неравенство: $ \frac{(x-1)(x+1)(x-4)(x+4)}{5(x+4)} \le 0 $.
3. ОДЗ: $ 5(x+4) \neq 0 \implies x \neq -4 $.
4. Сократим дробь на $ (x+4) $, учитывая ОДЗ ($ x \neq -4 $):
$ \frac{(x-1)(x+1)(x-4)}{5} \le 0 $.
Умножим обе части на 5 (знак неравенства не изменится): $ (x-1)(x+1)(x-4) \le 0 $.
5. Применим метод интервалов. Корни: $ x=1, x=-1, x=4 $. Все корни нечетной кратности.
Так как неравенство нестрогое, корни являются частью решения. Отметим их на числовой прямой закрашенными точками.
Определим знак на крайнем правом интервале $ [4; +\infty) $, взяв $ x=5 $: $ (5-1)(5+1)(5-4) > 0 $.
Расставим знаки на интервалах: $ (-\infty; -1] \to - $; $ [-1; 1] \to + $; $ [1; 4] \to - $; $ [4; +\infty) \to + $.
6. Выбираем интервалы, где выражение меньше либо равно нулю: $ (-\infty; -1] \cup [1; 4] $.
Учтем ОДЗ: $ x \neq -4 $. Исключим эту точку из решения.
Ответ: $ x \in (-\infty; -4) \cup (-4; -1] \cup [1; 4] $.
в) Дано неравенство $ \frac{x^2 + 4x + 3}{x^2 + 5x + 6} \cdot \left(1 - \frac{2}{x + 2}\right) \le 0 $.
1. Упростим и разложим на множители каждый сомножитель.
Первая дробь: $ \frac{x^2 + 4x + 3}{x^2 + 5x + 6} = \frac{(x+1)(x+3)}{(x+2)(x+3)} $.
Выражение в скобках: $ 1 - \frac{2}{x + 2} = \frac{x+2-2}{x+2} = \frac{x}{x+2} $.
2. Перепишем неравенство: $ \frac{(x+1)(x+3)}{(x+2)(x+3)} \cdot \frac{x}{x+2} \le 0 $.
3. ОДЗ: все знаменатели не равны нулю, т.е. $ x+2 \neq 0 $ и $ x+3 \neq 0 $. Отсюда $ x \neq -2 $ и $ x \neq -3 $.
4. Сократим дробь на $ (x+3) $, учитывая ОДЗ ($ x \neq -3 $), и объединим дроби:
$ \frac{x(x+1)}{(x+2)^2} \le 0 $.
5. Применим метод интервалов.
Нули числителя: $ x=0, x=-1 $.
Нуль знаменателя: $ x=-2 $ (корень кратности 2).
6. Отметим на числовой прямой точки. Нули числителя (-1 и 0) — закрашенные, так как неравенство нестрогое. Нуль знаменателя (-2) — выколотая.
При переходе через точку $ x=-2 $ (четная кратность) знак не меняется.
Определим знак на крайнем правом интервале $ [0; +\infty) $, взяв $ x=1 $: $ \frac{1(1+1)}{(1+2)^2} > 0 $.
Расставим знаки: $ (-\infty; -2) \to + $; $ (-2; -1] \to + $; $ [-1; 0] \to - $; $ [0; +\infty) \to + $.
7. Выбираем интервал, где выражение меньше или равно нулю. Это отрезок $ [-1; 0] $.
ОДЗ ($ x \neq -3, x \neq -2 $) не влияет на полученное решение.
Ответ: $ x \in [-1; 0] $.
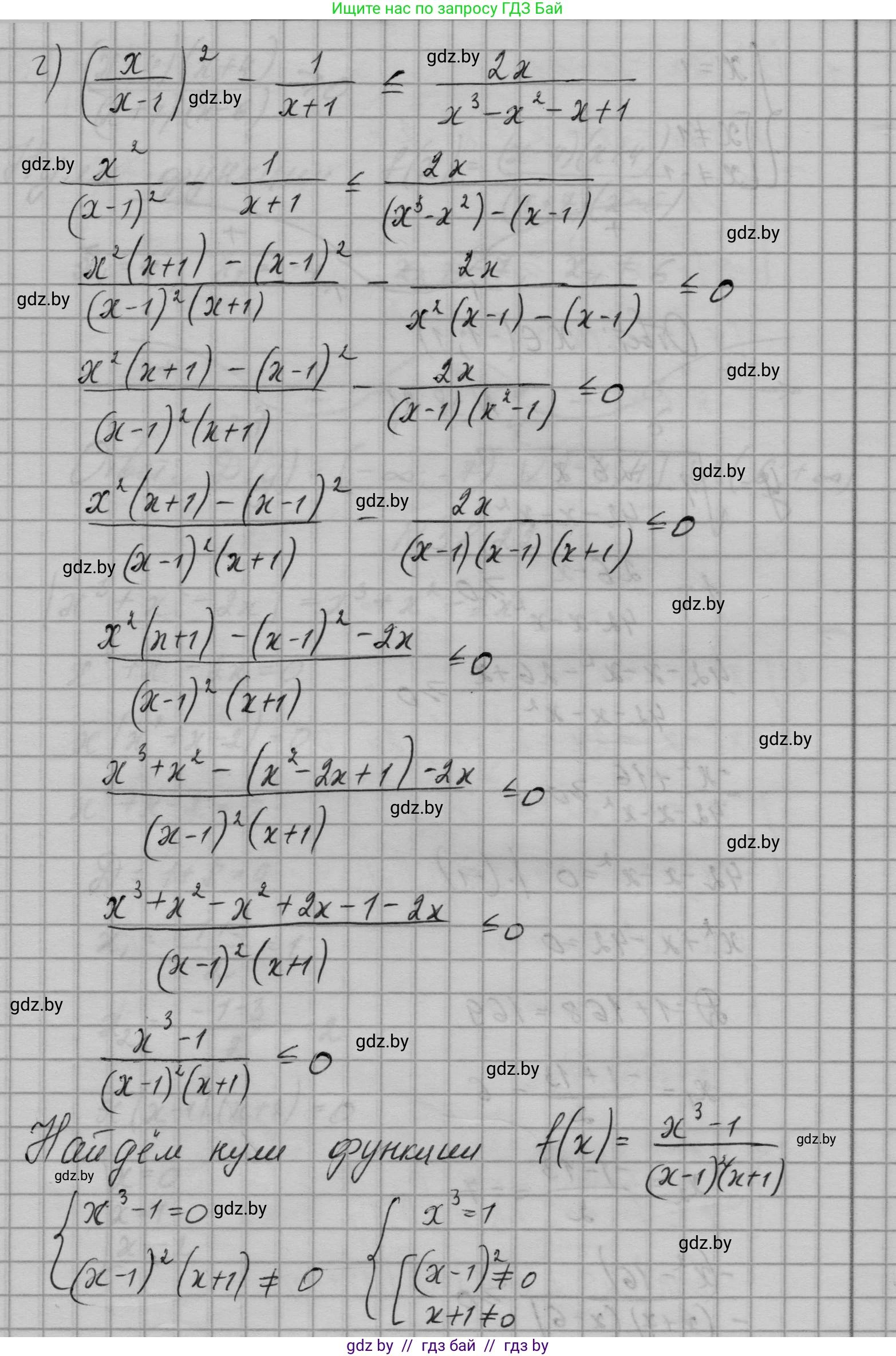
г) Дано неравенство $ \left(\frac{x}{x - 1}\right)^2 - \frac{1}{x + 1} \le \frac{2x}{x^3 - x^2 - x + 1} $.
1. Перенесем все члены в левую часть и приведем к общему знаменателю.
Сначала разложим знаменатель $ x^3 - x^2 - x + 1 $ на множители:
$ x^2(x - 1) - (x - 1) = (x^2 - 1)(x - 1) = (x - 1)(x + 1)(x - 1) = (x - 1)^2(x + 1) $.
ОДЗ: $ x-1 \neq 0 $ и $ x+1 \neq 0 $, т.е. $ x \neq 1 $ и $ x \neq -1 $.
2. Неравенство принимает вид:
$ \frac{x^2}{(x - 1)^2} - \frac{1}{x + 1} - \frac{2x}{(x - 1)^2(x + 1)} \le 0 $.
3. Общий знаменатель — $ (x - 1)^2(x + 1) $.
$ \frac{x^2(x + 1) - 1(x - 1)^2 - 2x}{(x - 1)^2(x + 1)} \le 0 $.
4. Упростим числитель:
$ x^2(x+1) - (x^2-2x+1) - 2x = x^3 + x^2 - x^2 + 2x - 1 - 2x = x^3 - 1 $.
Разложим на множители: $ x^3 - 1 = (x - 1)(x^2 + x + 1) $.
5. Неравенство становится: $ \frac{(x - 1)(x^2 + x + 1)}{(x - 1)^2(x + 1)} \le 0 $.
6. Выражение $ x^2 + x + 1 $ всегда положительно, так как его дискриминант $ D = 1^2 - 4 \cdot 1 \cdot 1 = -3 < 0 $ и старший коэффициент положителен. Можем разделить на него обе части неравенства.
С учетом ОДЗ ($ x \neq 1 $) сокращаем на $ (x-1) $:
$ \frac{1}{(x - 1)(x + 1)} \le 0 $.
7. Так как числитель равен 1 (положительное число), дробь не может быть равна нулю. Неравенство равносильно строгому:
$ \frac{1}{(x - 1)(x + 1)} < 0 $.
Это возможно только если знаменатель отрицателен: $ (x - 1)(x + 1) < 0 $.
8. Решим квадратное неравенство $ (x - 1)(x + 1) < 0 $. Корни $ x=1 $ и $ x=-1 $. Ветви параболы $ y = x^2 - 1 $ направлены вверх, значит, она отрицательна между корнями.
Решение: $ -1 < x < 1 $.
9. Это решение удовлетворяет ОДЗ ($ x \neq 1, x \neq -1 $).
Ответ: $ x \in (-1; 1) $.
Другие задания:
Помогло решение? Оставьте отзыв в комментариях ниже.
Присоединяйтесь к Телеграм-группе @gdz_by_belarus
ПрисоединитьсяМы подготовили для вас ответ c подробным объяснением домашего задания по алгебре за 7-9 класс, для упражнения номер 38.20 расположенного на странице 193 к сборнику задач 2020 года издания для учащихся школ и гимназий.
Теперь на нашем сайте ГДЗ.ТОП вы всегда легко и бесплатно найдёте условие с правильным ответом на вопрос «Как решить ДЗ» и «Как сделать» задание по алгебре к упражнению №38.20 (с. 193), авторов: Арефьева (Ирина Глебовна), Пирютко (Ольга Николаевна), учебного пособия издательства Народная асвета.