Номер 39.5, страница 194 - гдз по алгебре 7-9 класс сборник задач Арефьева, Пирютко

Алгебра, 7-9 класс Сборник задач, авторы: Арефьева Ирина Глебовна, Пирютко Ольга Николаевна, издательство Народная асвета, Минск, 2020

Авторы: Арефьева И. Г., Пирютко О. Н.

Тип: Сборник задач

Издательство: Народная асвета

Год издания: 2020 - 2025

Цвет обложки: синий с графиками

Допущено Министерством образования Республики Беларусь

Популярные ГДЗ в 7 классе

9 класс. Параграф 39. Арифметическая прогрессия - номер 39.5, страница 194.

№39.5 (с. 194)
Условие. №39.5 (с. 194)
скриншот условия
Алгебра, 7-9 класс Сборник задач, авторы: Арефьева Ирина Глебовна, Пирютко Ольга Николаевна, издательство Народная асвета, Минск, 2020, страница 194, номер 39.5, Условие

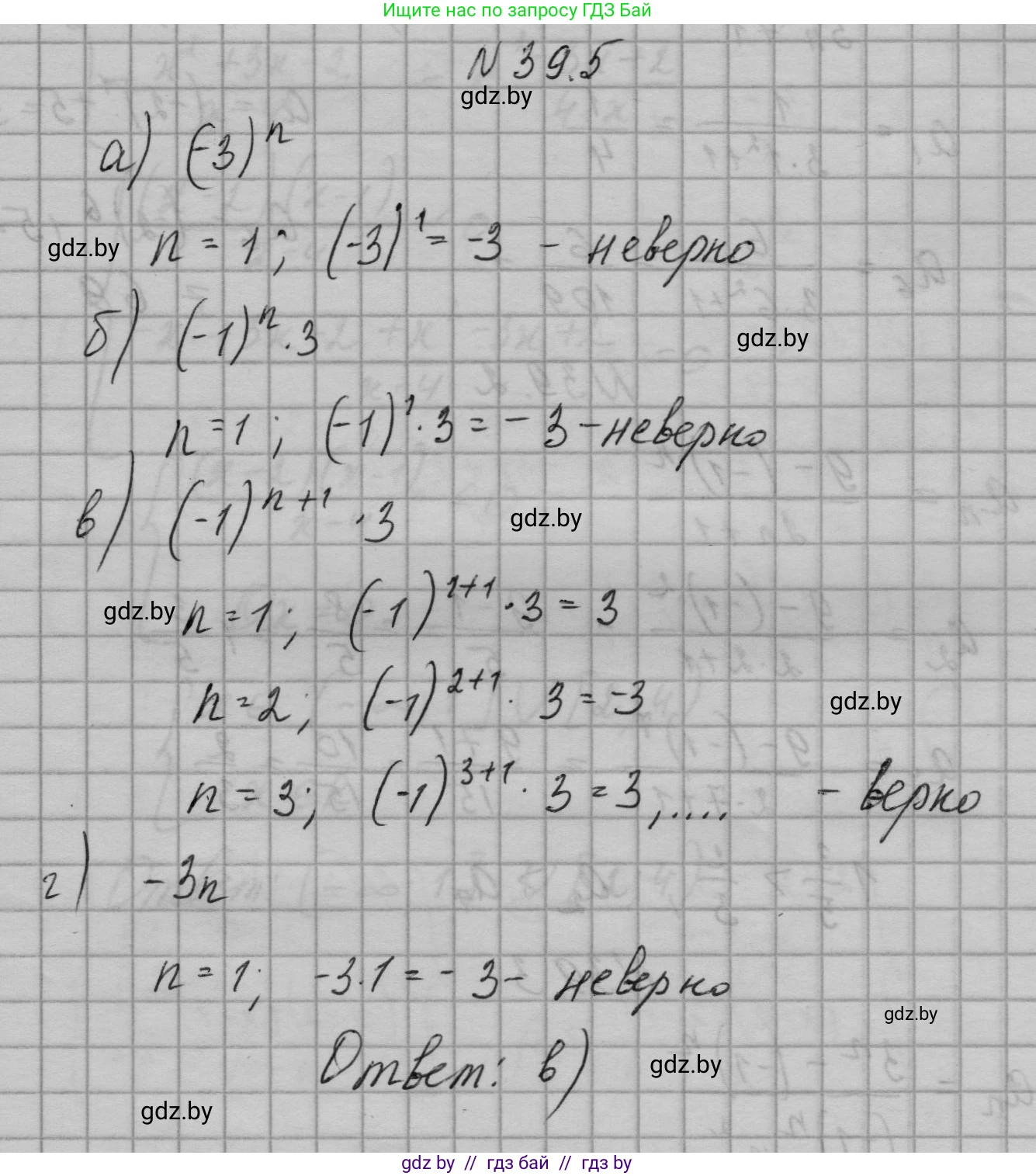
39.5. Найдите одну из возможных формул $n$-го члена последовательности $3; -3; 3; -3; 3; -3; \ldots :$

а) $(-3)^n;$

б) $(-1)^n \cdot 3;$

в) $(-1)^{n+1} \cdot 3;$

г) $-3n.$

Решение. №39.5 (с. 194)
Алгебра, 7-9 класс Сборник задач, авторы: Арефьева Ирина Глебовна, Пирютко Ольга Николаевна, издательство Народная асвета, Минск, 2020, страница 194, номер 39.5, Решение
Решение 2. №39.5 (с. 194)

Для нахождения верной формулы n-го члена $a_n$ для последовательности 3; -3; 3; -3; ... , необходимо последовательно проверить каждый из предложенных вариантов. Мы будем подставлять начальные значения $n$ (1, 2, 3, ...) в каждую формулу и сравнивать полученные результаты с членами заданной последовательности.

а) Проверим формулу $a_n = (-3)^n$. При $n=1$ получаем: $a_1 = (-3)^1 = -3$. Это значение не совпадает с первым членом исходной последовательности, который равен 3. Следовательно, данная формула не подходит.

Ответ: формула неверна.

б) Проверим формулу $a_n = (-1)^n \cdot 3$. При $n=1$ получаем: $a_1 = (-1)^1 \cdot 3 = -1 \cdot 3 = -3$. Это значение также не совпадает с первым членом исходной последовательности. Следовательно, данная формула не подходит.

Ответ: формула неверна.

в) Проверим формулу $a_n = (-1)^{n+1} \cdot 3$. Вычислим первые несколько членов последовательности, используя эту формулу:

  • При $n=1$: $a_1 = (-1)^{1+1} \cdot 3 = (-1)^2 \cdot 3 = 1 \cdot 3 = 3$. (Совпадает)
  • При $n=2$: $a_2 = (-1)^{2+1} \cdot 3 = (-1)^3 \cdot 3 = -1 \cdot 3 = -3$. (Совпадает)
  • При $n=3$: $a_3 = (-1)^{3+1} \cdot 3 = (-1)^4 \cdot 3 = 1 \cdot 3 = 3$. (Совпадает)

Все вычисленные члены соответствуют членам заданной последовательности. Таким образом, эта формула является правильной.

Ответ: формула верна.

г) Проверим формулу $a_n = -3n$. При $n=1$ получаем: $a_1 = -3 \cdot 1 = -3$. Это значение не совпадает с первым членом исходной последовательности. Кроме того, эта формула задает арифметическую прогрессию, а не знакочередующуюся последовательность с постоянным модулем. Следовательно, данная формула не подходит.

Ответ: формула неверна.

Помогло решение? Оставьте отзыв в комментариях ниже.

Присоединяйтесь к Телеграм-группе @gdz_by_belarus

Присоединиться

Мы подготовили для вас ответ c подробным объяснением домашего задания по алгебре за 7-9 класс, для упражнения номер 39.5 расположенного на странице 194 к сборнику задач 2020 года издания для учащихся школ и гимназий.

Теперь на нашем сайте ГДЗ.ТОП вы всегда легко и бесплатно найдёте условие с правильным ответом на вопрос «Как решить ДЗ» и «Как сделать» задание по алгебре к упражнению №39.5 (с. 194), авторов: Арефьева (Ирина Глебовна), Пирютко (Ольга Николаевна), учебного пособия издательства Народная асвета.