Номер 12.20, страница 51 - гдз по алгебре 7-9 класс сборник задач Арефьева, Пирютко

Алгебра, 7-9 класс Сборник задач, авторы: Арефьева Ирина Глебовна, Пирютко Ольга Николаевна, издательство Народная асвета, Минск, 2020

Авторы: Арефьева И. Г., Пирютко О. Н.

Тип: Сборник задач

Издательство: Народная асвета

Год издания: 2020 - 2025

Цвет обложки: синий с графиками

Допущено Министерством образования Республики Беларусь

Популярные ГДЗ в 7 классе

7 класс. Параграф 12. Формулы сокращенного умножения - номер 12.20, страница 51.

№12.20 (с. 51)
Условие. №12.20 (с. 51)
скриншот условия
Алгебра, 7-9 класс Сборник задач, авторы: Арефьева Ирина Глебовна, Пирютко Ольга Николаевна, издательство Народная асвета, Минск, 2020, страница 51, номер 12.20, Условие

12.20. Упростите выражение:

а) $3(2a + 5)^2$;

б) $-(-b + 3c)^2$;

в) $-12(\frac{1}{6}x - y)^2$;

г) $\frac{1}{4}(-2m - n)^2$;

д) $(-\frac{y}{3} - 0,5x)(0,5x - \frac{y}{3})$;

е) $56(-\frac{a}{7} - 0,4b)(0,4b - \frac{a}{7}).$

Решение. №12.20 (с. 51)
Алгебра, 7-9 класс Сборник задач, авторы: Арефьева Ирина Глебовна, Пирютко Ольга Николаевна, издательство Народная асвета, Минск, 2020, страница 51, номер 12.20, Решение Алгебра, 7-9 класс Сборник задач, авторы: Арефьева Ирина Глебовна, Пирютко Ольга Николаевна, издательство Народная асвета, Минск, 2020, страница 51, номер 12.20, Решение (продолжение 2)
Решение 2. №12.20 (с. 51)

а) Для упрощения выражения сначала раскроем скобки, используя формулу квадрата суммы $(x+y)^2=x^2+2xy+y^2$. Затем умножим каждый член полученного многочлена на 3.

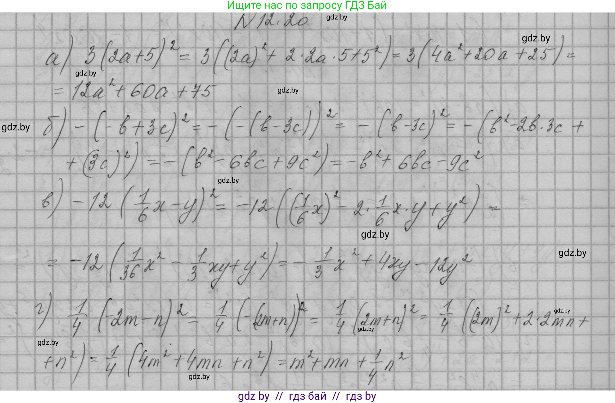
$3(2a + 5)^2 = 3((2a)^2 + 2 \cdot 2a \cdot 5 + 5^2) = 3(4a^2 + 20a + 25) = 3 \cdot 4a^2 + 3 \cdot 20a + 3 \cdot 25 = 12a^2 + 60a + 75$.

Ответ: $12a^2 + 60a + 75$.

б) Сначала раскроем скобки. Выражение $(-b + 3c)$ можно записать как $(3c - b)$. Применяем формулу квадрата разности $(x-y)^2=x^2-2xy+y^2$, а затем умножаем результат на -1.

$-(-b + 3c)^2 = -(3c - b)^2 = -((3c)^2 - 2 \cdot 3c \cdot b + b^2) = -(9c^2 - 6bc + b^2) = -9c^2 + 6bc - b^2$.

Ответ: $-b^2 + 6bc - 9c^2$.

в) Раскроем скобки по формуле квадрата разности $(x-y)^2=x^2-2xy+y^2$ и умножим каждый член полученного многочлена на -12.

$-12(\frac{1}{6}x - y)^2 = -12((\frac{1}{6}x)^2 - 2 \cdot \frac{1}{6}x \cdot y + y^2) = -12(\frac{1}{36}x^2 - \frac{2}{6}xy + y^2) = -12(\frac{1}{36}x^2 - \frac{1}{3}xy + y^2) = -12 \cdot \frac{1}{36}x^2 - 12 \cdot (-\frac{1}{3}xy) - 12 \cdot y^2 = -\frac{12}{36}x^2 + \frac{12}{3}xy - 12y^2 = -\frac{1}{3}x^2 + 4xy - 12y^2$.

Ответ: $-\frac{1}{3}x^2 + 4xy - 12y^2$.

г) В выражении $(-2m - n)^2$ вынесем минус за скобки: $(-(2m + n))^2$. Так как квадрат отрицательного числа равен квадрату положительного, получаем $(2m + n)^2$. Затем применяем формулу квадрата суммы и умножаем результат на $\frac{1}{4}$.

$\frac{1}{4}(-2m - n)^2 = \frac{1}{4}(2m + n)^2 = \frac{1}{4}((2m)^2 + 2 \cdot 2m \cdot n + n^2) = \frac{1}{4}(4m^2 + 4mn + n^2) = \frac{4}{4}m^2 + \frac{4}{4}mn + \frac{1}{4}n^2 = m^2 + mn + \frac{1}{4}n^2$.

Ответ: $m^2 + mn + \frac{1}{4}n^2$.

д) Переставим слагаемые во второй скобке: $(0,5x - \frac{y}{3}) = (-\frac{y}{3} + 0,5x)$. Теперь выражение имеет вид $(-\frac{y}{3} - 0,5x)(-\frac{y}{3} + 0,5x)$, что соответствует формуле разности квадратов $(a-b)(a+b)=a^2-b^2$, где $a = -\frac{y}{3}$ и $b = 0,5x$.

$(-\frac{y}{3} - 0,5x)(0,5x - \frac{y}{3}) = (-\frac{y}{3})^2 - (0,5x)^2 = \frac{y^2}{9} - 0,25x^2 = \frac{y^2}{9} - \frac{1}{4}x^2$.

Ответ: $\frac{y^2}{9} - \frac{1}{4}x^2$.

е) Как и в предыдущем примере, преобразуем выражение в скобках для применения формулы разности квадратов. Переставим слагаемые во второй скобке: $(0,4b - \frac{a}{7}) = (-\frac{a}{7} + 0,4b)$.

$56(-\frac{a}{7} - 0,4b)(-\frac{a}{7} + 0,4b) = 56 \cdot ( (-\frac{a}{7})^2 - (0,4b)^2 ) = 56(\frac{a^2}{49} - 0,16b^2)$.

Теперь умножим каждый член в скобках на 56:

$56 \cdot \frac{a^2}{49} - 56 \cdot 0,16b^2 = \frac{56}{49}a^2 - 56 \cdot \frac{16}{100}b^2 = \frac{8}{7}a^2 - 56 \cdot \frac{4}{25}b^2 = \frac{8}{7}a^2 - \frac{224}{25}b^2$.

Ответ: $\frac{8}{7}a^2 - \frac{224}{25}b^2$.

Помогло решение? Оставьте отзыв в комментариях ниже.

Присоединяйтесь к Телеграм-группе @gdz_by_belarus

Присоединиться

Мы подготовили для вас ответ c подробным объяснением домашего задания по алгебре за 7-9 класс, для упражнения номер 12.20 расположенного на странице 51 к сборнику задач 2020 года издания для учащихся школ и гимназий.

Теперь на нашем сайте ГДЗ.ТОП вы всегда легко и бесплатно найдёте условие с правильным ответом на вопрос «Как решить ДЗ» и «Как сделать» задание по алгебре к упражнению №12.20 (с. 51), авторов: Арефьева (Ирина Глебовна), Пирютко (Ольга Николаевна), учебного пособия издательства Народная асвета.