Номер 14.16, страница 62 - гдз по алгебре 7-9 класс сборник задач Арефьева, Пирютко

Алгебра, 7-9 класс Сборник задач, авторы: Арефьева Ирина Глебовна, Пирютко Ольга Николаевна, издательство Народная асвета, Минск, 2020

Авторы: Арефьева И. Г., Пирютко О. Н.

Тип: Сборник задач

Издательство: Народная асвета

Год издания: 2020 - 2025

Цвет обложки: синий с графиками

Допущено Министерством образования Республики Беларусь

Популярные ГДЗ в 7 классе

7 класс. Параграф 14. Линейные уравнения с одной переменной. Решение текстовых задач с помощью линейных уравнений - номер 14.16, страница 62.

№14.16 (с. 62)
Условие. №14.16 (с. 62)
скриншот условия
Алгебра, 7-9 класс Сборник задач, авторы: Арефьева Ирина Глебовна, Пирютко Ольга Николаевна, издательство Народная асвета, Минск, 2020, страница 62, номер 14.16, Условие

14.16. Найдите, при каком значении переменной значение выражения:

а) $7x - 1$ равно значению выражения $15 - x$;

б) $5x - 3$ противоположно значению выражения $2x + 3$;

в) $7x + 3$ на 5 больше значения выражения $1 - 3x$;

г) $19 - 5x$ на 3 меньше значения выражения $4x + 9$.

Решение. №14.16 (с. 62)
Алгебра, 7-9 класс Сборник задач, авторы: Арефьева Ирина Глебовна, Пирютко Ольга Николаевна, издательство Народная асвета, Минск, 2020, страница 62, номер 14.16, Решение
Решение 2. №14.16 (с. 62)

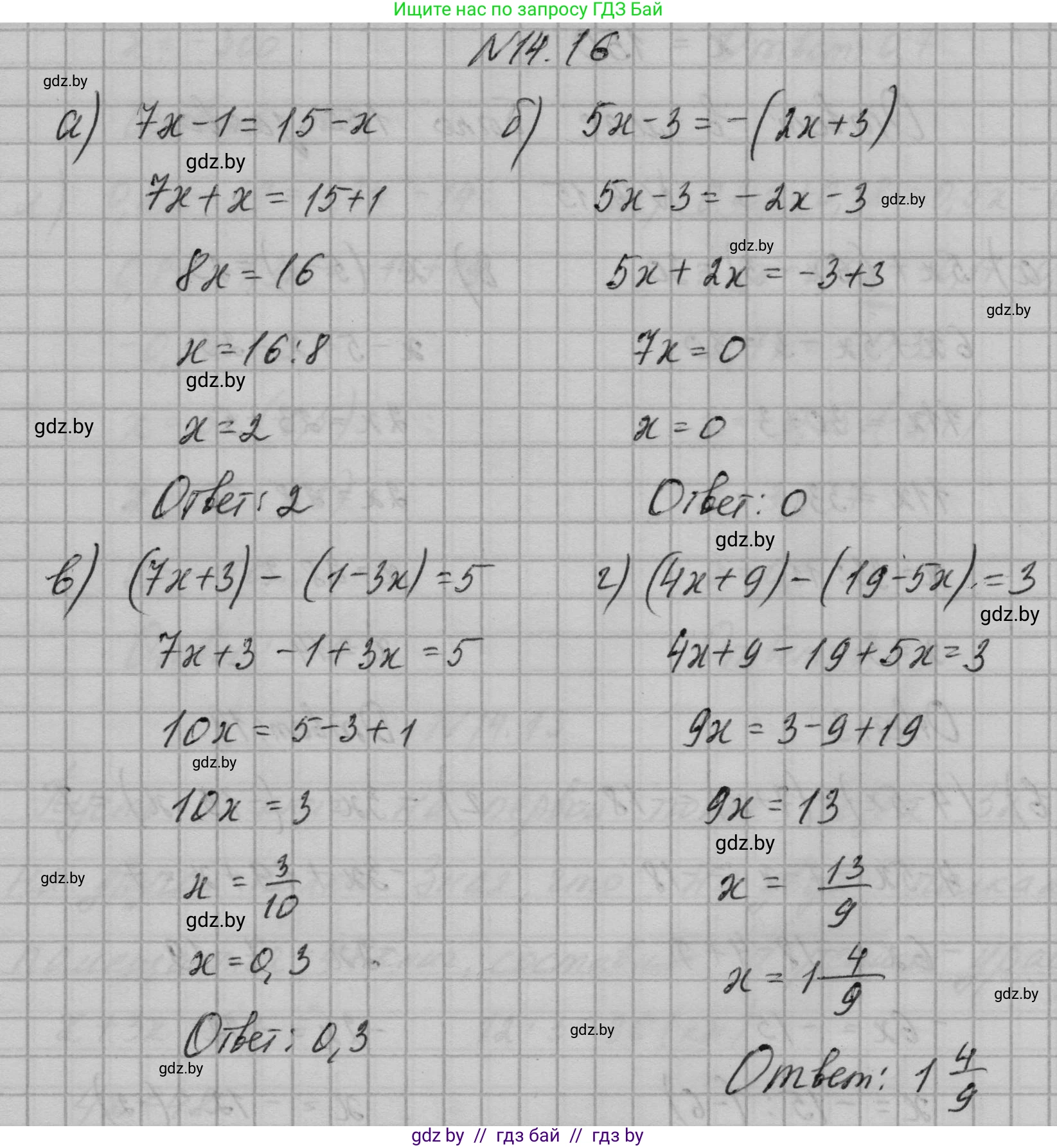
а) Условие "значение выражения $7x - 1$ равно значению выражения $15 - x$" означает, что эти два выражения можно приравнять. Составим и решим уравнение:

$7x - 1 = 15 - x$

Перенесем все слагаемые с переменной $x$ в левую часть уравнения, а постоянные члены — в правую. При переносе слагаемых из одной части в другую их знаки меняются на противоположные.

$7x + x = 15 + 1$

Приведем подобные слагаемые в обеих частях уравнения:

$8x = 16$

Чтобы найти $x$, разделим обе части уравнения на коэффициент при переменной, то есть на 8:

$x = \frac{16}{8}$

$x = 2$

Ответ: 2.

б) Условие "значение выражения $5x - 3$ противоположно значению выражения $2x + 3$" означает, что их сумма равна нулю. Составим и решим уравнение:

$(5x - 3) + (2x + 3) = 0$

Раскроем скобки:

$5x - 3 + 2x + 3 = 0$

Приведем подобные слагаемые. Заметим, что $-3$ и $+3$ взаимно уничтожаются.

$5x + 2x = 0$

$7x = 0$

Разделим обе части на 7:

$x = \frac{0}{7}$

$x = 0$

Ответ: 0.

в) Условие "значение выражения $7x + 3$ на 5 больше значения выражения $1 - 3x$" означает, что если из первого выражения вычесть 5, то оно будет равно второму. Составим и решим уравнение:

$(7x + 3) - 5 = 1 - 3x$

Упростим левую часть:

$7x - 2 = 1 - 3x$

Перенесем слагаемые с $x$ в левую часть, а постоянные — в правую:

$7x + 3x = 1 + 2$

Приведем подобные слагаемые:

$10x = 3$

Разделим обе части на 10:

$x = \frac{3}{10}$

$x = 0,3$

Ответ: 0,3.

г) Условие "значение выражения $19 - 5x$ на 3 меньше значения выражения $4x + 9$" означает, что если к первому выражению прибавить 3, то оно станет равно второму. Составим и решим уравнение:

$(19 - 5x) + 3 = 4x + 9$

Упростим левую часть:

$22 - 5x = 4x + 9$

Перенесем слагаемые с $x$ в правую часть, а постоянные — в левую, чтобы коэффициент при $x$ был положительным:

$22 - 9 = 4x + 5x$

Приведем подобные слагаемые:

$13 = 9x$

Чтобы найти $x$, поменяем части уравнения местами и разделим на 9:

$9x = 13$

$x = \frac{13}{9}$

Ответ: $\frac{13}{9}$.

Помогло решение? Оставьте отзыв в комментариях ниже.

Присоединяйтесь к Телеграм-группе @gdz_by_belarus

Присоединиться

Мы подготовили для вас ответ c подробным объяснением домашего задания по алгебре за 7-9 класс, для упражнения номер 14.16 расположенного на странице 62 к сборнику задач 2020 года издания для учащихся школ и гимназий.

Теперь на нашем сайте ГДЗ.ТОП вы всегда легко и бесплатно найдёте условие с правильным ответом на вопрос «Как решить ДЗ» и «Как сделать» задание по алгебре к упражнению №14.16 (с. 62), авторов: Арефьева (Ирина Глебовна), Пирютко (Ольга Николаевна), учебного пособия издательства Народная асвета.