Номер 14.21, страница 63 - гдз по алгебре 7-9 класс сборник задач Арефьева, Пирютко

Алгебра, 7-9 класс Сборник задач, авторы: Арефьева Ирина Глебовна, Пирютко Ольга Николаевна, издательство Народная асвета, Минск, 2020

Авторы: Арефьева И. Г., Пирютко О. Н.

Тип: Сборник задач

Издательство: Народная асвета

Год издания: 2020 - 2025

Цвет обложки: синий с графиками

Допущено Министерством образования Республики Беларусь

Популярные ГДЗ в 7 классе

7 класс. Параграф 14. Линейные уравнения с одной переменной. Решение текстовых задач с помощью линейных уравнений - номер 14.21, страница 63.

№14.21 (с. 63)
Условие. №14.21 (с. 63)
скриншот условия
Алгебра, 7-9 класс Сборник задач, авторы: Арефьева Ирина Глебовна, Пирютко Ольга Николаевна, издательство Народная асвета, Минск, 2020, страница 63, номер 14.21, Условие

14.21. Решите уравнение:

а)$\frac{x+1}{5} + \frac{x-1}{4} = 1;$

б)$\frac{3x-1}{5} - \frac{5x+1}{6} = -2;$

В)$\frac{5x-1}{4} - \frac{x-2}{3} = 10 - x;$

Г)$\frac{3x+6}{2} - \frac{7x-14}{3} = \frac{x+1}{9};$

Д)$\frac{5x-6}{4} - \frac{x+11}{3} = \frac{7+4x}{2};$

е)$\frac{3x-1}{5} - \frac{5x+1}{6} = \frac{x+1}{8} - 3;$

Ж)$\frac{x-5}{2} - \frac{x-6}{3} + \frac{x+2}{4} = \frac{x-7}{6};$

З)$\frac{3x+3}{4} - \frac{x+2}{4} - 2 = \frac{8x-3}{6}.$

Решение. №14.21 (с. 63)
Алгебра, 7-9 класс Сборник задач, авторы: Арефьева Ирина Глебовна, Пирютко Ольга Николаевна, издательство Народная асвета, Минск, 2020, страница 63, номер 14.21, Решение Алгебра, 7-9 класс Сборник задач, авторы: Арефьева Ирина Глебовна, Пирютко Ольга Николаевна, издательство Народная асвета, Минск, 2020, страница 63, номер 14.21, Решение (продолжение 2)
Решение 2. №14.21 (с. 63)

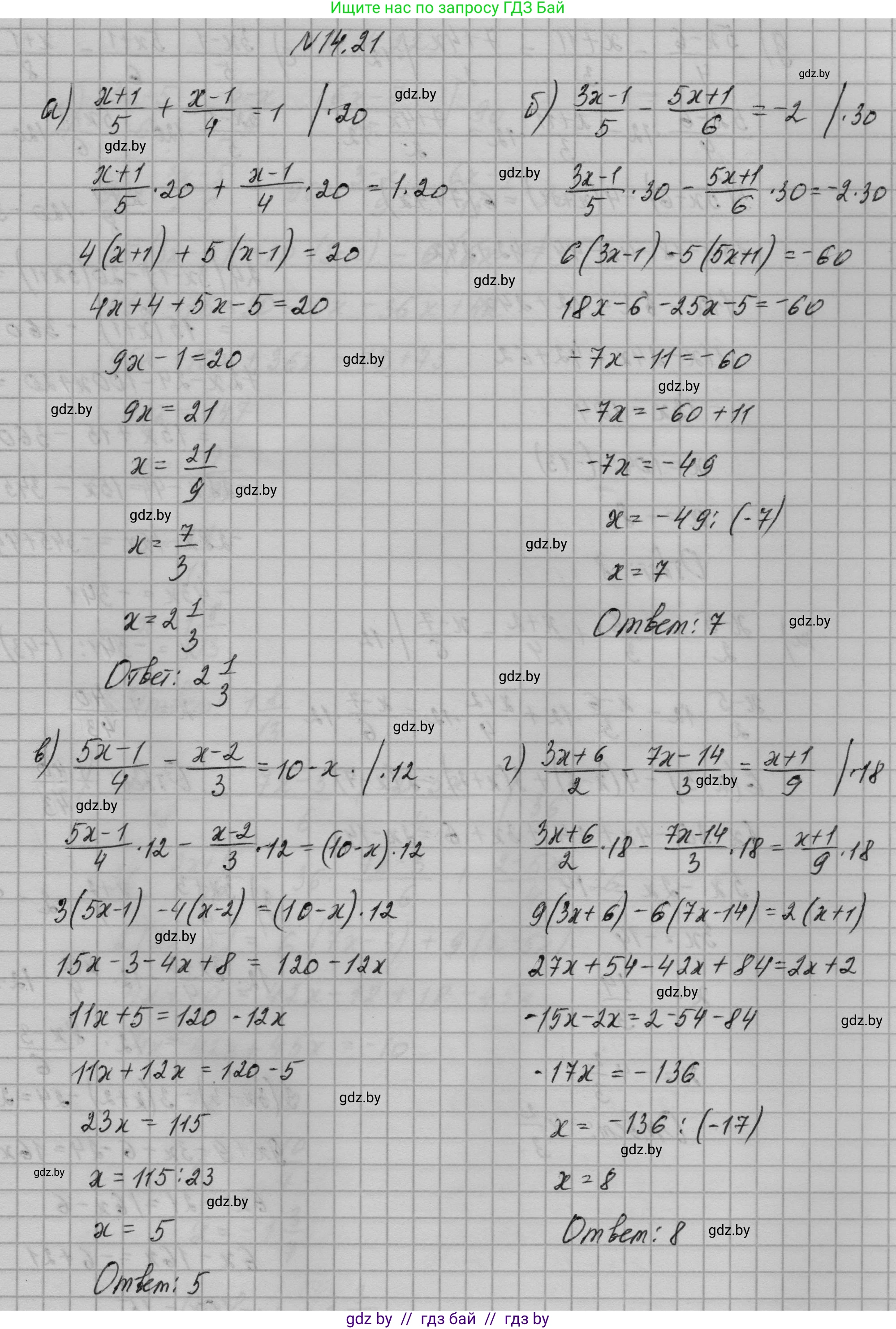
а) $\frac{x+1}{5} + \frac{x-1}{4} = 1$

Для решения уравнения избавимся от знаменателей. Найдем наименьшее общее кратное (НОК) чисел 5 и 4. НОК(5, 4) = 20. Умножим обе части уравнения на 20:

$20 \cdot \left(\frac{x+1}{5} + \frac{x-1}{4}\right) = 20 \cdot 1$

$\frac{20(x+1)}{5} + \frac{20(x-1)}{4} = 20$

$4(x+1) + 5(x-1) = 20$

Раскроем скобки:

$4x + 4 + 5x - 5 = 20$

Приведем подобные слагаемые:

$9x - 1 = 20$

Перенесем -1 в правую часть уравнения:

$9x = 20 + 1$

$9x = 21$

Найдем x:

$x = \frac{21}{9} = \frac{7}{3}$

Ответ: $\frac{7}{3}$.

б) $\frac{3x-1}{5} - \frac{5x+1}{6} = -2$

Найдем НОК знаменателей 5 и 6. НОК(5, 6) = 30. Умножим обе части уравнения на 30:

$30 \cdot \left(\frac{3x-1}{5} - \frac{5x+1}{6}\right) = 30 \cdot (-2)$

$6(3x-1) - 5(5x+1) = -60$

Раскроем скобки, обращая внимание на знак "минус" перед второй дробью:

$18x - 6 - 25x - 5 = -60$

Приведем подобные слагаемые:

$-7x - 11 = -60$

Перенесем -11 в правую часть:

$-7x = -60 + 11$

$-7x = -49$

Разделим обе части на -7:

$x = \frac{-49}{-7} = 7$

Ответ: 7.

в) $\frac{5x-1}{4} - \frac{x-2}{3} = 10 - x$

Найдем НОК знаменателей 4 и 3. НОК(4, 3) = 12. Умножим обе части уравнения на 12:

$12 \cdot \left(\frac{5x-1}{4} - \frac{x-2}{3}\right) = 12 \cdot (10 - x)$

$3(5x-1) - 4(x-2) = 120 - 12x$

Раскроем скобки:

$15x - 3 - 4x + 8 = 120 - 12x$

Приведем подобные слагаемые в левой части:

$11x + 5 = 120 - 12x$

Перенесем слагаемые с x в левую часть, а постоянные — в правую:

$11x + 12x = 120 - 5$

$23x = 115$

Найдем x:

$x = \frac{115}{23} = 5$

Ответ: 5.

г) $\frac{3x+6}{2} - \frac{7x-14}{3} = \frac{x+1}{9}$

Найдем НОК знаменателей 2, 3 и 9. НОК(2, 3, 9) = 18. Умножим все члены уравнения на 18:

$18 \cdot \frac{3x+6}{2} - 18 \cdot \frac{7x-14}{3} = 18 \cdot \frac{x+1}{9}$

$9(3x+6) - 6(7x-14) = 2(x+1)$

Раскроем скобки:

$27x + 54 - 42x + 84 = 2x + 2$

Приведем подобные слагаемые в левой части:

$-15x + 138 = 2x + 2$

Перенесем слагаемые с x в правую часть, а постоянные — в левую:

$138 - 2 = 2x + 15x$

$136 = 17x$

Найдем x:

$x = \frac{136}{17} = 8$

Ответ: 8.

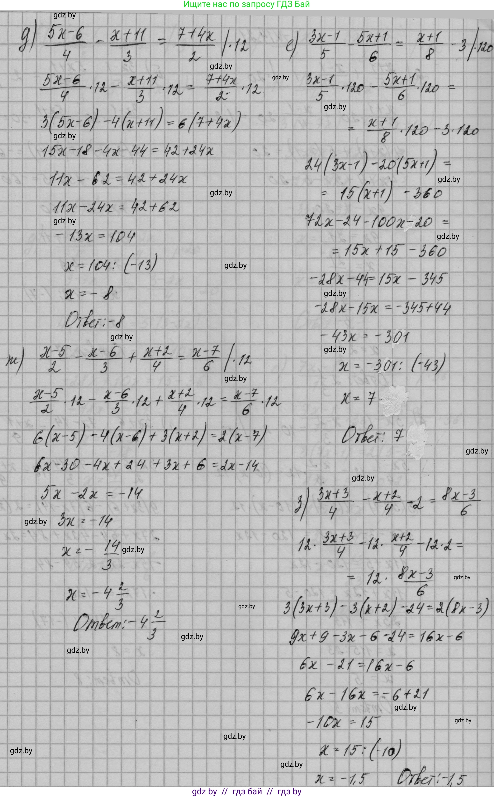
д) $\frac{5x-6}{4} - \frac{x+11}{3} = \frac{7+4x}{2}$

Найдем НОК знаменателей 4, 3 и 2. НОК(4, 3, 2) = 12. Умножим все члены уравнения на 12:

$12 \cdot \frac{5x-6}{4} - 12 \cdot \frac{x+11}{3} = 12 \cdot \frac{7+4x}{2}$

$3(5x-6) - 4(x+11) = 6(7+4x)$

Раскроем скобки:

$15x - 18 - 4x - 44 = 42 + 24x$

Приведем подобные слагаемые в левой части:

$11x - 62 = 42 + 24x$

Перенесем слагаемые с x в правую часть, а постоянные — в левую:

$-62 - 42 = 24x - 11x$

$-104 = 13x$

Найдем x:

$x = \frac{-104}{13} = -8$

Ответ: -8.

е) $\frac{3x-1}{5} - \frac{5x+1}{6} = \frac{x+1}{8} - 3$

Найдем НОК знаменателей 5, 6 и 8. НОК(5, 6, 8) = 120. Умножим все члены уравнения на 120:

$120 \cdot \left(\frac{3x-1}{5} - \frac{5x+1}{6}\right) = 120 \cdot \left(\frac{x+1}{8} - 3\right)$

$24(3x-1) - 20(5x+1) = 15(x+1) - 120 \cdot 3$

Раскроем скобки:

$72x - 24 - 100x - 20 = 15x + 15 - 360$

Приведем подобные слагаемые в обеих частях:

$-28x - 44 = 15x - 345$

Перенесем слагаемые с x в правую часть, а постоянные — в левую:

$-44 + 345 = 15x + 28x$

$301 = 43x$

Найдем x:

$x = \frac{301}{43} = 7$

Ответ: 7.

ж) $\frac{x-5}{2} - \frac{x-6}{3} + \frac{x+2}{4} = \frac{x-7}{6}$

Найдем НОК знаменателей 2, 3, 4 и 6. НОК(2, 3, 4, 6) = 12. Умножим все члены уравнения на 12:

$12 \cdot \left(\frac{x-5}{2} - \frac{x-6}{3} + \frac{x+2}{4}\right) = 12 \cdot \frac{x-7}{6}$

$6(x-5) - 4(x-6) + 3(x+2) = 2(x-7)$

Раскроем скобки:

$6x - 30 - 4x + 24 + 3x + 6 = 2x - 14$

Приведем подобные слагаемые в левой части:

$(6x - 4x + 3x) + (-30 + 24 + 6) = 2x - 14$

$5x + 0 = 2x - 14$

$5x = 2x - 14$

Перенесем 2x в левую часть:

$5x - 2x = -14$

$3x = -14$

Найдем x:

$x = -\frac{14}{3}$

Ответ: $-\frac{14}{3}$.

з) $\frac{3x+3}{4} - \frac{x+2}{4} - 2 = \frac{8x-3}{6}$

Сначала упростим левую часть, так как две дроби имеют общий знаменатель 4:

$\frac{(3x+3) - (x+2)}{4} - 2 = \frac{8x-3}{6}$

$\frac{3x+3 - x - 2}{4} - 2 = \frac{8x-3}{6}$

$\frac{2x+1}{4} - 2 = \frac{8x-3}{6}$

Теперь найдем НОК знаменателей 4 и 6. НОК(4, 6) = 12. Умножим все члены уравнения на 12:

$12 \cdot \left(\frac{2x+1}{4} - 2\right) = 12 \cdot \frac{8x-3}{6}$

$3(2x+1) - 12 \cdot 2 = 2(8x-3)$

$6x + 3 - 24 = 16x - 6$

Приведем подобные слагаемые в левой части:

$6x - 21 = 16x - 6$

Перенесем слагаемые с x в правую часть, а постоянные — в левую:

$-21 + 6 = 16x - 6x$

$-15 = 10x$

Найдем x:

$x = \frac{-15}{10} = -\frac{3}{2}$

Ответ: $-\frac{3}{2}$.

Помогло решение? Оставьте отзыв в комментариях ниже.

Присоединяйтесь к Телеграм-группе @gdz_by_belarus

Присоединиться

Мы подготовили для вас ответ c подробным объяснением домашего задания по алгебре за 7-9 класс, для упражнения номер 14.21 расположенного на странице 63 к сборнику задач 2020 года издания для учащихся школ и гимназий.

Теперь на нашем сайте ГДЗ.ТОП вы всегда легко и бесплатно найдёте условие с правильным ответом на вопрос «Как решить ДЗ» и «Как сделать» задание по алгебре к упражнению №14.21 (с. 63), авторов: Арефьева (Ирина Глебовна), Пирютко (Ольга Николаевна), учебного пособия издательства Народная асвета.