Номер 23.37, страница 110 - гдз по алгебре 7-9 класс сборник задач Арефьева, Пирютко
Авторы: Арефьева И. Г., Пирютко О. Н.
Тип: Сборник задач
Издательство: Народная асвета
Год издания: 2020 - 2025
Цвет обложки: синий с графиками
Допущено Министерством образования Республики Беларусь
Популярные ГДЗ в 7 классе
8 класс. Параграф 23. Применение свойств квадратных корней - номер 23.37, страница 110.
№23.37 (с. 110)
Условие. №23.37 (с. 110)
скриншот условия
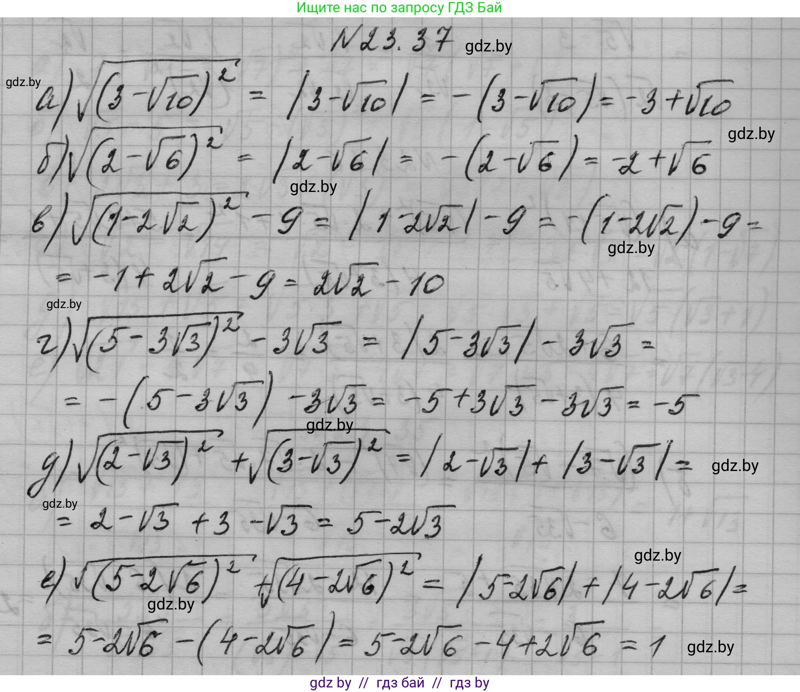
23.37. Упростите выражение:
а) $\sqrt{(3-\sqrt{10})^2}$;
б) $\sqrt{(2-\sqrt{6})^2}$;
в) $\sqrt{(1-2\sqrt{2})^2}-9$;
г) $\sqrt{(5-3\sqrt{3})^2}-3\sqrt{3}$;
д) $\sqrt{(2-\sqrt{3})^2}+\sqrt{(3-\sqrt{3})^2}$;
е) $\sqrt{(5-2\sqrt{6})^2}+\sqrt{(4-2\sqrt{6})^2}$.
Решение. №23.37 (с. 110)
Решение 2. №23.37 (с. 110)
а) Для упрощения выражения используется свойство арифметического квадратного корня: $\sqrt{a^2} = |a|$. Применяя это свойство, получаем:
$\sqrt{(3 - \sqrt{10})^2} = |3 - \sqrt{10}|$.
Чтобы раскрыть модуль, необходимо определить знак выражения под модулем. Сравним числа $3$ и $\sqrt{10}$. Для этого возведем их в квадрат:
$3^2 = 9$
$(\sqrt{10})^2 = 10$
Так как $9 < 10$, то $3 < \sqrt{10}$, а значит разность $3 - \sqrt{10}$ отрицательна.
По определению модуля, если выражение под ним отрицательно, то модуль равен этому выражению, взятому с противоположным знаком:
$|3 - \sqrt{10}| = -(3 - \sqrt{10}) = -3 + \sqrt{10} = \sqrt{10} - 3$.
Ответ: $\sqrt{10} - 3$.
б) Используем свойство $\sqrt{a^2} = |a|$:
$\sqrt{(2 - \sqrt{6})^2} = |2 - \sqrt{6}|$.
Определим знак выражения $2 - \sqrt{6}$. Сравним квадраты чисел $2$ и $\sqrt{6}$:
$2^2 = 4$
$(\sqrt{6})^2 = 6$
Так как $4 < 6$, то $2 < \sqrt{6}$. Следовательно, разность $2 - \sqrt{6}$ отрицательна.
Раскрываем модуль:
$|2 - \sqrt{6}| = -(2 - \sqrt{6}) = -2 + \sqrt{6} = \sqrt{6} - 2$.
Ответ: $\sqrt{6} - 2$.
в) Сначала упростим выражение с корнем, используя свойство $\sqrt{a^2} = |a|$:
$\sqrt{(1 - 2\sqrt{2})^2} = |1 - 2\sqrt{2}|$.
Определим знак выражения $1 - 2\sqrt{2}$. Сравним квадраты чисел $1$ и $2\sqrt{2}$:
$1^2 = 1$
$(2\sqrt{2})^2 = 2^2 \cdot (\sqrt{2})^2 = 4 \cdot 2 = 8$
Так как $1 < 8$, то $1 < 2\sqrt{2}$. Следовательно, разность $1 - 2\sqrt{2}$ отрицательна.
Раскрываем модуль:
$|1 - 2\sqrt{2}| = -(1 - 2\sqrt{2}) = -1 + 2\sqrt{2} = 2\sqrt{2} - 1$.
Теперь подставим полученный результат в исходное выражение:
$(2\sqrt{2} - 1) - 9 = 2\sqrt{2} - 10$.
Ответ: $2\sqrt{2} - 10$.
г) Упростим выражение под корнем по правилу $\sqrt{a^2} = |a|$:
$\sqrt{(5 - 3\sqrt{3})^2} = |5 - 3\sqrt{3}|$.
Определим знак выражения $5 - 3\sqrt{3}$. Сравним квадраты чисел $5$ и $3\sqrt{3}$:
$5^2 = 25$
$(3\sqrt{3})^2 = 3^2 \cdot (\sqrt{3})^2 = 9 \cdot 3 = 27$
Так как $25 < 27$, то $5 < 3\sqrt{3}$. Следовательно, разность $5 - 3\sqrt{3}$ отрицательна.
Раскрываем модуль:
$|5 - 3\sqrt{3}| = -(5 - 3\sqrt{3}) = -5 + 3\sqrt{3} = 3\sqrt{3} - 5$.
Подставим результат в исходное выражение:
$(3\sqrt{3} - 5) - 3\sqrt{3} = 3\sqrt{3} - 5 - 3\sqrt{3} = -5$.
Ответ: $-5$.
д) Данное выражение является суммой двух слагаемых. Упростим каждое из них по отдельности, используя $\sqrt{a^2} = |a|$.
1. Первое слагаемое: $\sqrt{(2 - \sqrt{3})^2} = |2 - \sqrt{3}|$.
Сравним $2$ и $\sqrt{3}$: $2^2=4$, $(\sqrt{3})^2=3$. Так как $4 > 3$, то $2 > \sqrt{3}$, и разность $2 - \sqrt{3}$ положительна. Значит, $|2 - \sqrt{3}| = 2 - \sqrt{3}$.
2. Второе слагаемое: $\sqrt{(3 - \sqrt{3})^2} = |3 - \sqrt{3}|$.
Сравним $3$ и $\sqrt{3}$: $3^2=9$, $(\sqrt{3})^2=3$. Так как $9 > 3$, то $3 > \sqrt{3}$, и разность $3 - \sqrt{3}$ положительна. Значит, $|3 - \sqrt{3}| = 3 - \sqrt{3}$.
Теперь сложим полученные выражения:
$(2 - \sqrt{3}) + (3 - \sqrt{3}) = 2 - \sqrt{3} + 3 - \sqrt{3} = 5 - 2\sqrt{3}$.
Ответ: $5 - 2\sqrt{3}$.
е) Упростим каждое слагаемое в сумме по правилу $\sqrt{a^2} = |a|$.
1. Первое слагаемое: $\sqrt{(5 - 2\sqrt{6})^2} = |5 - 2\sqrt{6}|$.
Сравним $5$ и $2\sqrt{6}$: $5^2=25$, $(2\sqrt{6})^2 = 4 \cdot 6 = 24$. Так как $25 > 24$, то $5 > 2\sqrt{6}$, и разность $5 - 2\sqrt{6}$ положительна. Следовательно, $|5 - 2\sqrt{6}| = 5 - 2\sqrt{6}$.
2. Второе слагаемое: $\sqrt{(4 - 2\sqrt{6})^2} = |4 - 2\sqrt{6}|$.
Сравним $4$ и $2\sqrt{6}$: $4^2=16$, $(2\sqrt{6})^2 = 24$. Так как $16 < 24$, то $4 < 2\sqrt{6}$, и разность $4 - 2\sqrt{6}$ отрицательна. Следовательно, $|4 - 2\sqrt{6}| = -(4 - 2\sqrt{6}) = -4 + 2\sqrt{6} = 2\sqrt{6} - 4$.
Сложим полученные результаты:
$(5 - 2\sqrt{6}) + (2\sqrt{6} - 4) = 5 - 2\sqrt{6} + 2\sqrt{6} - 4 = 1$.
Ответ: $1$.
Другие задания:
Помогло решение? Оставьте отзыв в комментариях ниже.
Присоединяйтесь к Телеграм-группе @gdz_by_belarus
ПрисоединитьсяМы подготовили для вас ответ c подробным объяснением домашего задания по алгебре за 7-9 класс, для упражнения номер 23.37 расположенного на странице 110 к сборнику задач 2020 года издания для учащихся школ и гимназий.
Теперь на нашем сайте ГДЗ.ТОП вы всегда легко и бесплатно найдёте условие с правильным ответом на вопрос «Как решить ДЗ» и «Как сделать» задание по алгебре к упражнению №23.37 (с. 110), авторов: Арефьева (Ирина Глебовна), Пирютко (Ольга Николаевна), учебного пособия издательства Народная асвета.