Номер 23.31, страница 109 - гдз по алгебре 7-9 класс сборник задач Арефьева, Пирютко

Алгебра, 7-9 класс Сборник задач, авторы: Арефьева Ирина Глебовна, Пирютко Ольга Николаевна, издательство Народная асвета, Минск, 2020

Авторы: Арефьева И. Г., Пирютко О. Н.

Тип: Сборник задач

Издательство: Народная асвета

Год издания: 2020 - 2025

Цвет обложки: синий с графиками

Допущено Министерством образования Республики Беларусь

Популярные ГДЗ в 7 классе

8 класс. Параграф 23. Применение свойств квадратных корней - номер 23.31, страница 109.

№23.31 (с. 109)
Условие. №23.31 (с. 109)
скриншот условия
Алгебра, 7-9 класс Сборник задач, авторы: Арефьева Ирина Глебовна, Пирютко Ольга Николаевна, издательство Народная асвета, Минск, 2020, страница 109, номер 23.31, Условие

23.31. Найдите значение выражения:

a) $ \frac{2}{\sqrt{5}-\sqrt{7}} + \frac{3}{\sqrt{5}-\sqrt{2}} $;

б) $ \frac{5}{\sqrt{7}+\sqrt{2}} + \frac{2}{\sqrt{5}-\sqrt{7}} $;

в) $ \frac{9}{\sqrt{13}-2} + \frac{3}{4+\sqrt{13}} $;

г) $ \frac{13}{\sqrt{17}-2} + \frac{8}{\sqrt{17}-3} $.

Решение. №23.31 (с. 109)
Алгебра, 7-9 класс Сборник задач, авторы: Арефьева Ирина Глебовна, Пирютко Ольга Николаевна, издательство Народная асвета, Минск, 2020, страница 109, номер 23.31, Решение Алгебра, 7-9 класс Сборник задач, авторы: Арефьева Ирина Глебовна, Пирютко Ольга Николаевна, издательство Народная асвета, Минск, 2020, страница 109, номер 23.31, Решение (продолжение 2)
Решение 2. №23.31 (с. 109)

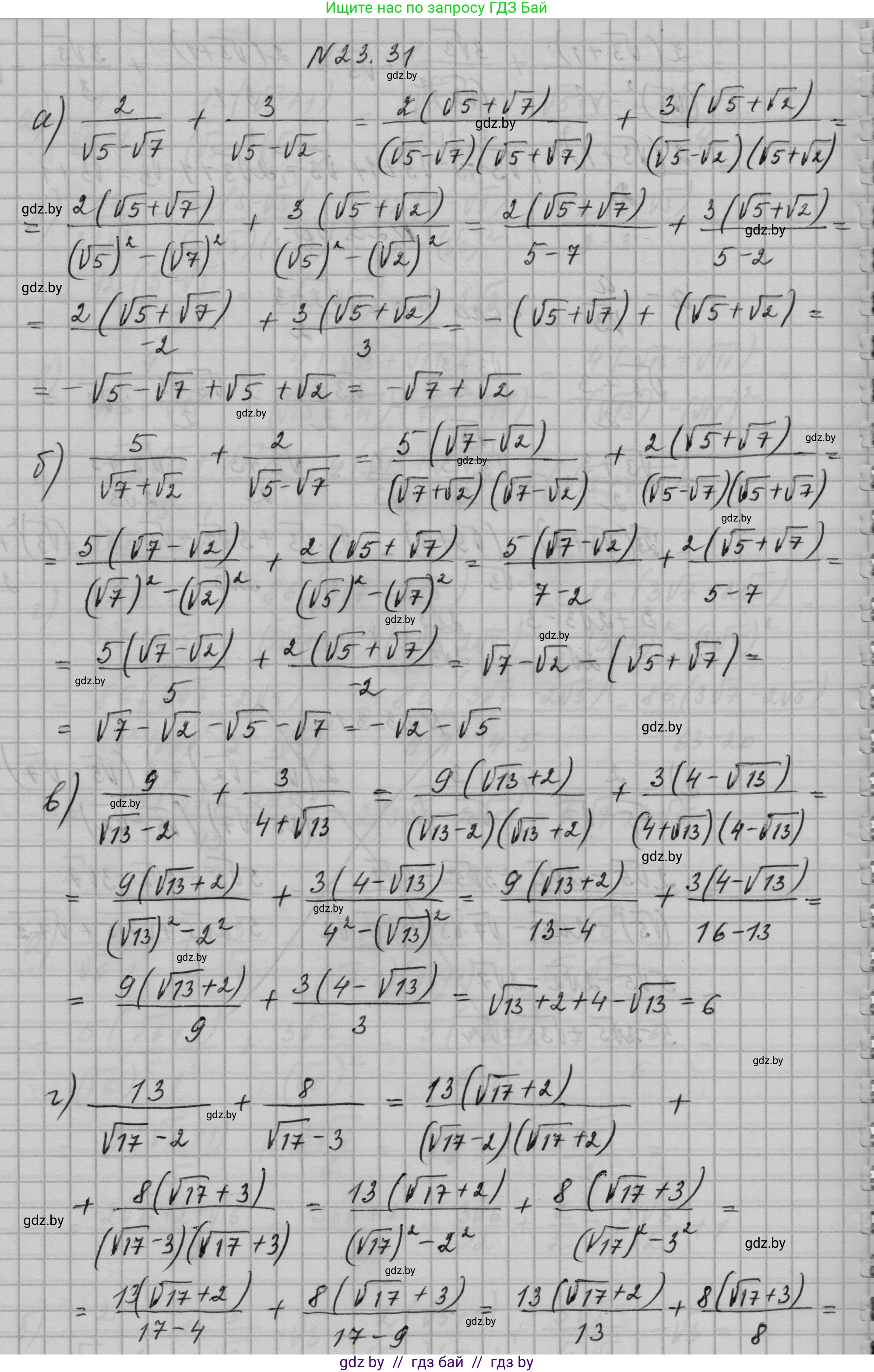
а) $ \frac{2}{\sqrt{5}-\sqrt{7}} + \frac{3}{\sqrt{5}-\sqrt{2}} $

Для решения необходимо избавиться от иррациональности в знаменателе каждой дроби. Это делается путем умножения числителя и знаменателя на сопряженное выражение к знаменателю. Формула разности квадратов: $ (a-b)(a+b) = a^2-b^2 $.

Упростим первое слагаемое:

$ \frac{2}{\sqrt{5}-\sqrt{7}} = \frac{2(\sqrt{5}+\sqrt{7})}{(\sqrt{5}-\sqrt{7})(\sqrt{5}+\sqrt{7})} = \frac{2(\sqrt{5}+\sqrt{7})}{(\sqrt{5})^2 - (\sqrt{7})^2} = \frac{2(\sqrt{5}+\sqrt{7})}{5-7} = \frac{2(\sqrt{5}+\sqrt{7})}{-2} = -(\sqrt{5}+\sqrt{7}) = -\sqrt{5}-\sqrt{7} $

Упростим второе слагаемое:

$ \frac{3}{\sqrt{5}-\sqrt{2}} = \frac{3(\sqrt{5}+\sqrt{2})}{(\sqrt{5}-\sqrt{2})(\sqrt{5}+\sqrt{2})} = \frac{3(\sqrt{5}+\sqrt{2})}{(\sqrt{5})^2 - (\sqrt{2})^2} = \frac{3(\sqrt{5}+\sqrt{2})}{5-2} = \frac{3(\sqrt{5}+\sqrt{2})}{3} = \sqrt{5}+\sqrt{2} $

Теперь сложим полученные выражения:

$ (-\sqrt{5}-\sqrt{7}) + (\sqrt{5}+\sqrt{2}) = -\sqrt{5}-\sqrt{7}+\sqrt{5}+\sqrt{2} = \sqrt{2}-\sqrt{7} $

Ответ: $ \sqrt{2}-\sqrt{7} $.

б) $ \frac{5}{\sqrt{7}+\sqrt{2}} + \frac{2}{\sqrt{5}-\sqrt{7}} $

Избавимся от иррациональности в знаменателях, используя тот же метод.

Упростим первое слагаемое:

$ \frac{5}{\sqrt{7}+\sqrt{2}} = \frac{5(\sqrt{7}-\sqrt{2})}{(\sqrt{7}+\sqrt{2})(\sqrt{7}-\sqrt{2})} = \frac{5(\sqrt{7}-\sqrt{2})}{(\sqrt{7})^2 - (\sqrt{2})^2} = \frac{5(\sqrt{7}-\sqrt{2})}{7-2} = \frac{5(\sqrt{7}-\sqrt{2})}{5} = \sqrt{7}-\sqrt{2} $

Упростим второе слагаемое (оно встречалось в предыдущем задании):

$ \frac{2}{\sqrt{5}-\sqrt{7}} = \frac{2(\sqrt{5}+\sqrt{7})}{(\sqrt{5}-\sqrt{7})(\sqrt{5}+\sqrt{7})} = \frac{2(\sqrt{5}+\sqrt{7})}{5-7} = \frac{2(\sqrt{5}+\sqrt{7})}{-2} = -(\sqrt{5}+\sqrt{7}) = -\sqrt{5}-\sqrt{7} $

Сложим полученные результаты:

$ (\sqrt{7}-\sqrt{2}) + (-\sqrt{5}-\sqrt{7}) = \sqrt{7}-\sqrt{2}-\sqrt{5}-\sqrt{7} = -\sqrt{2}-\sqrt{5} $

Ответ: $ -\sqrt{2}-\sqrt{5} $.

в) $ \frac{9}{\sqrt{13}-2} + \frac{3}{4+\sqrt{13}} $

Упростим каждое слагаемое, избавившись от иррациональности в знаменателе.

Для первого слагаемого умножим числитель и знаменатель на сопряженное выражение $ \sqrt{13}+2 $:

$ \frac{9}{\sqrt{13}-2} = \frac{9(\sqrt{13}+2)}{(\sqrt{13}-2)(\sqrt{13}+2)} = \frac{9(\sqrt{13}+2)}{(\sqrt{13})^2 - 2^2} = \frac{9(\sqrt{13}+2)}{13-4} = \frac{9(\sqrt{13}+2)}{9} = \sqrt{13}+2 $

Для второго слагаемого умножим числитель и знаменатель на сопряженное выражение $ 4-\sqrt{13} $:

$ \frac{3}{4+\sqrt{13}} = \frac{3(4-\sqrt{13})}{(4+\sqrt{13})(4-\sqrt{13})} = \frac{3(4-\sqrt{13})}{4^2 - (\sqrt{13})^2} = \frac{3(4-\sqrt{13})}{16-13} = \frac{3(4-\sqrt{13})}{3} = 4-\sqrt{13} $

Теперь сложим упрощенные слагаемые:

$ (\sqrt{13}+2) + (4-\sqrt{13}) = \sqrt{13}+2+4-\sqrt{13} = 6 $

Ответ: $ 6 $.

г) $ \frac{13}{\sqrt{17}-2} + \frac{8}{\sqrt{17}-3} $

Избавимся от иррациональности в знаменателе для каждой дроби.

Упростим первую дробь, умножив на сопряженное выражение $ \sqrt{17}+2 $:

$ \frac{13}{\sqrt{17}-2} = \frac{13(\sqrt{17}+2)}{(\sqrt{17}-2)(\sqrt{17}+2)} = \frac{13(\sqrt{17}+2)}{(\sqrt{17})^2 - 2^2} = \frac{13(\sqrt{17}+2)}{17-4} = \frac{13(\sqrt{17}+2)}{13} = \sqrt{17}+2 $

Упростим вторую дробь, умножив на сопряженное выражение $ \sqrt{17}+3 $:

$ \frac{8}{\sqrt{17}-3} = \frac{8(\sqrt{17}+3)}{(\sqrt{17}-3)(\sqrt{17}+3)} = \frac{8(\sqrt{17}+3)}{(\sqrt{17})^2 - 3^2} = \frac{8(\sqrt{17}+3)}{17-9} = \frac{8(\sqrt{17}+3)}{8} = \sqrt{17}+3 $

Сложим полученные выражения:

$ (\sqrt{17}+2) + (\sqrt{17}+3) = \sqrt{17}+2+\sqrt{17}+3 = 2\sqrt{17}+5 $

Ответ: $ 2\sqrt{17}+5 $.

Помогло решение? Оставьте отзыв в комментариях ниже.

Присоединяйтесь к Телеграм-группе @gdz_by_belarus

Присоединиться

Мы подготовили для вас ответ c подробным объяснением домашего задания по алгебре за 7-9 класс, для упражнения номер 23.31 расположенного на странице 109 к сборнику задач 2020 года издания для учащихся школ и гимназий.

Теперь на нашем сайте ГДЗ.ТОП вы всегда легко и бесплатно найдёте условие с правильным ответом на вопрос «Как решить ДЗ» и «Как сделать» задание по алгебре к упражнению №23.31 (с. 109), авторов: Арефьева (Ирина Глебовна), Пирютко (Ольга Николаевна), учебного пособия издательства Народная асвета.