Номер 23.28, страница 109 - гдз по алгебре 7-9 класс сборник задач Арефьева, Пирютко

Алгебра, 7-9 класс Сборник задач, авторы: Арефьева Ирина Глебовна, Пирютко Ольга Николаевна, издательство Народная асвета, Минск, 2020

Авторы: Арефьева И. Г., Пирютко О. Н.

Тип: Сборник задач

Издательство: Народная асвета

Год издания: 2020 - 2025

Цвет обложки: синий с графиками

Допущено Министерством образования Республики Беларусь

Популярные ГДЗ в 7 классе

8 класс. Параграф 23. Применение свойств квадратных корней - номер 23.28, страница 109.

№23.28 (с. 109)
Условие. №23.28 (с. 109)
скриншот условия
Алгебра, 7-9 класс Сборник задач, авторы: Арефьева Ирина Глебовна, Пирютко Ольга Николаевна, издательство Народная асвета, Минск, 2020, страница 109, номер 23.28, Условие

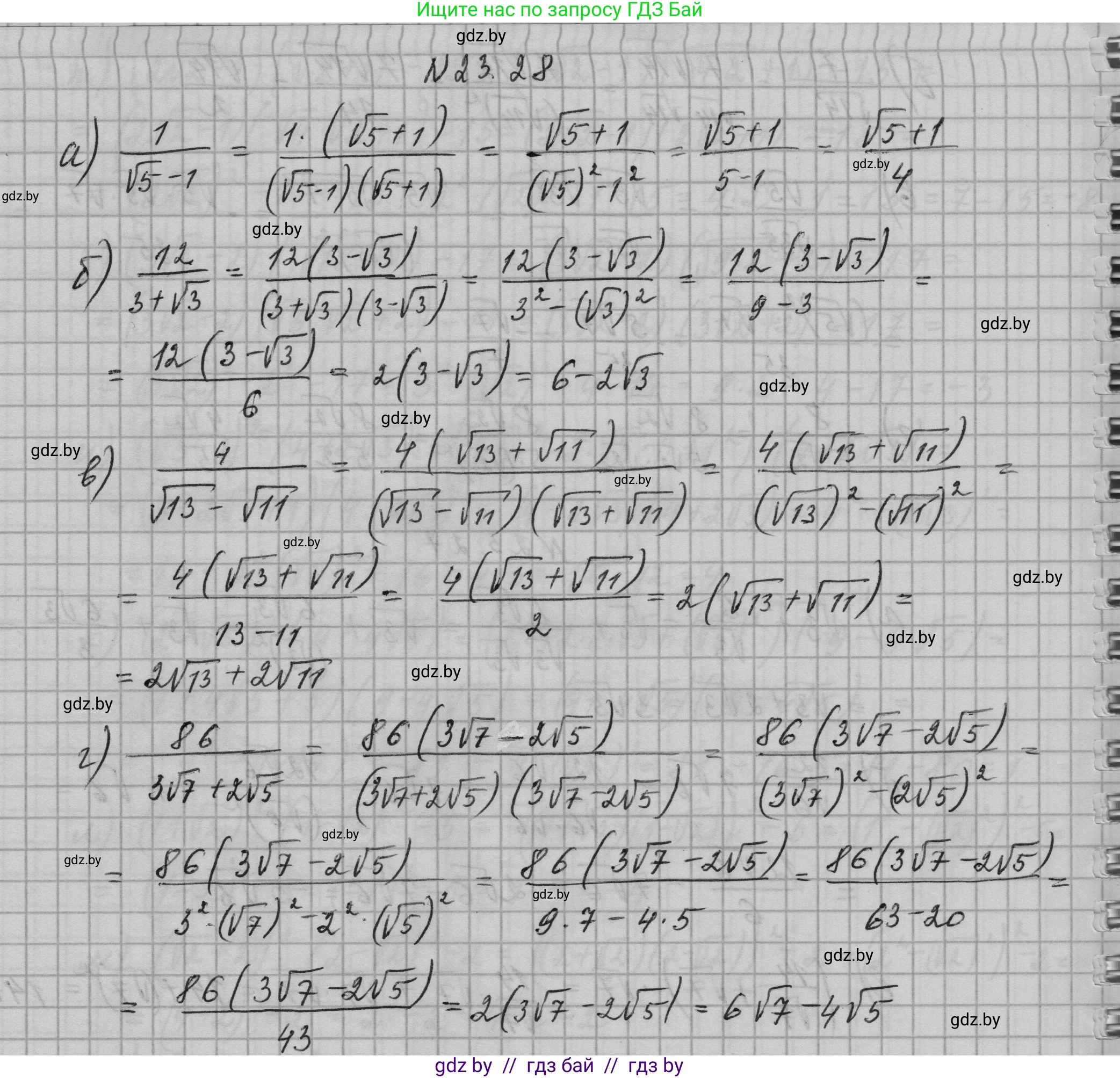
23.28. Избавьтесь от иррациональности в знаменателе дроби:

а) $\frac{1}{\sqrt{5}-1}$;

б) $\frac{12}{3+\sqrt{3}}放松

в) $\frac{4}{\sqrt{13}-\sqrt{11}}$;

г) $\frac{86}{3\sqrt{7}+2\sqrt{5}}$.

Решение. №23.28 (с. 109)
Алгебра, 7-9 класс Сборник задач, авторы: Арефьева Ирина Глебовна, Пирютко Ольга Николаевна, издательство Народная асвета, Минск, 2020, страница 109, номер 23.28, Решение
Решение 2. №23.28 (с. 109)

Чтобы избавиться от иррациональности в знаменателе, необходимо умножить числитель и знаменатель дроби на выражение, сопряженное знаменателю. Это делается для того, чтобы в знаменателе применить формулу разности квадратов $(a-b)(a+b)=a^2-b^2$, которая позволяет убрать квадратные корни.

а)

Дана дробь $\frac{1}{\sqrt{5}-1}$. Знаменатель равен $\sqrt{5}-1$. Сопряженное ему выражение — это $\sqrt{5}+1$.

Умножим числитель и знаменатель на $\sqrt{5}+1$:

$\frac{1}{\sqrt{5}-1} = \frac{1 \cdot (\sqrt{5}+1)}{(\sqrt{5}-1)(\sqrt{5}+1)} = \frac{\sqrt{5}+1}{(\sqrt{5})^2 - 1^2} = \frac{\sqrt{5}+1}{5-1} = \frac{\sqrt{5}+1}{4}$.

Ответ: $\frac{\sqrt{5}+1}{4}$.

б)

Дана дробь $\frac{12}{3+\sqrt{3}}$. Знаменатель равен $3+\sqrt{3}$. Сопряженное ему выражение — это $3-\sqrt{3}$.

Умножим числитель и знаменатель на $3-\sqrt{3}$:

$\frac{12}{3+\sqrt{3}} = \frac{12 \cdot (3-\sqrt{3})}{(3+\sqrt{3})(3-\sqrt{3})} = \frac{12(3-\sqrt{3})}{3^2 - (\sqrt{3})^2} = \frac{12(3-\sqrt{3})}{9-3} = \frac{12(3-\sqrt{3})}{6}$.

Сократим дробь, разделив 12 на 6:

$2(3-\sqrt{3}) = 6-2\sqrt{3}$.

Ответ: $6-2\sqrt{3}$.

в)

Дана дробь $\frac{4}{\sqrt{13}-\sqrt{11}}$. Знаменатель равен $\sqrt{13}-\sqrt{11}$. Сопряженное ему выражение — это $\sqrt{13}+\sqrt{11}$.

Умножим числитель и знаменатель на $\sqrt{13}+\sqrt{11}$:

$\frac{4}{\sqrt{13}-\sqrt{11}} = \frac{4 \cdot (\sqrt{13}+\sqrt{11})}{(\sqrt{13}-\sqrt{11})(\sqrt{13}+\sqrt{11})} = \frac{4(\sqrt{13}+\sqrt{11})}{(\sqrt{13})^2 - (\sqrt{11})^2} = \frac{4(\sqrt{13}+\sqrt{11})}{13-11} = \frac{4(\sqrt{13}+\sqrt{11})}{2}$.

Сократим дробь, разделив 4 на 2:

$2(\sqrt{13}+\sqrt{11}) = 2\sqrt{13}+2\sqrt{11}$.

Ответ: $2\sqrt{13}+2\sqrt{11}$.

г)

Дана дробь $\frac{86}{3\sqrt{7}+2\sqrt{5}}$. Знаменатель равен $3\sqrt{7}+2\sqrt{5}$. Сопряженное ему выражение — это $3\sqrt{7}-2\sqrt{5}$.

Умножим числитель и знаменатель на $3\sqrt{7}-2\sqrt{5}$:

$\frac{86}{3\sqrt{7}+2\sqrt{5}} = \frac{86 \cdot (3\sqrt{7}-2\sqrt{5})}{(3\sqrt{7}+2\sqrt{5})(3\sqrt{7}-2\sqrt{5})} = \frac{86(3\sqrt{7}-2\sqrt{5})}{(3\sqrt{7})^2 - (2\sqrt{5})^2}$.

Вычислим знаменатель:

$(3\sqrt{7})^2 - (2\sqrt{5})^2 = 3^2 \cdot 7 - 2^2 \cdot 5 = 9 \cdot 7 - 4 \cdot 5 = 63 - 20 = 43$.

Подставим значение в дробь:

$\frac{86(3\sqrt{7}-2\sqrt{5})}{43}$.

Сократим дробь, так как $86 \div 43 = 2$:

$2(3\sqrt{7}-2\sqrt{5}) = 6\sqrt{7}-4\sqrt{5}$.

Ответ: $6\sqrt{7}-4\sqrt{5}$.

Помогло решение? Оставьте отзыв в комментариях ниже.

Присоединяйтесь к Телеграм-группе @gdz_by_belarus

Присоединиться

Мы подготовили для вас ответ c подробным объяснением домашего задания по алгебре за 7-9 класс, для упражнения номер 23.28 расположенного на странице 109 к сборнику задач 2020 года издания для учащихся школ и гимназий.

Теперь на нашем сайте ГДЗ.ТОП вы всегда легко и бесплатно найдёте условие с правильным ответом на вопрос «Как решить ДЗ» и «Как сделать» задание по алгебре к упражнению №23.28 (с. 109), авторов: Арефьева (Ирина Глебовна), Пирютко (Ольга Николаевна), учебного пособия издательства Народная асвета.