Номер 23.22, страница 108 - гдз по алгебре 7-9 класс сборник задач Арефьева, Пирютко
Авторы: Арефьева И. Г., Пирютко О. Н.
Тип: Сборник задач
Издательство: Народная асвета
Год издания: 2020 - 2025
Цвет обложки: синий с графиками
Допущено Министерством образования Республики Беларусь
Популярные ГДЗ в 7 классе
8 класс. Параграф 23. Применение свойств квадратных корней - номер 23.22, страница 108.
№23.22 (с. 108)
Условие. №23.22 (с. 108)
скриншот условия
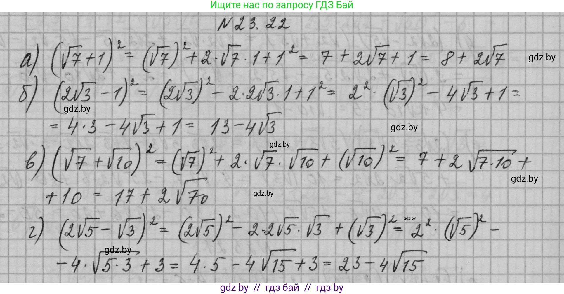
23.22. Примените формулы квадрата суммы или квадрата разности и упростите выражение:
а) $(\sqrt{7}+1)^2$;
б) $(2\sqrt{3}-1)^2$;
в) $(\sqrt{7}+\sqrt{10})^2$;
г) $(2\sqrt{5}-\sqrt{3})^2$.
Решение. №23.22 (с. 108)
Решение 2. №23.22 (с. 108)
а) Чтобы упростить выражение $(\sqrt{7}+1)^2$, применим формулу квадрата суммы $(a+b)^2 = a^2 + 2ab + b^2$, где $a = \sqrt{7}$ и $b = 1$. Выполним подстановку и вычисления:
$(\sqrt{7}+1)^2 = (\sqrt{7})^2 + 2 \cdot \sqrt{7} \cdot 1 + 1^2 = 7 + 2\sqrt{7} + 1 = 8 + 2\sqrt{7}$.
Ответ: $8 + 2\sqrt{7}$.
б) Для выражения $(2\sqrt{3}-1)^2$ применим формулу квадрата разности $(a-b)^2 = a^2 - 2ab + b^2$, где $a = 2\sqrt{3}$ и $b = 1$. Выполним подстановку и вычисления:
$(2\sqrt{3}-1)^2 = (2\sqrt{3})^2 - 2 \cdot 2\sqrt{3} \cdot 1 + 1^2 = (4 \cdot 3) - 4\sqrt{3} + 1 = 12 - 4\sqrt{3} + 1 = 13 - 4\sqrt{3}$.
Ответ: $13 - 4\sqrt{3}$.
в) Чтобы упростить выражение $(\sqrt{7}+\sqrt{10})^2$, используем формулу квадрата суммы $(a+b)^2 = a^2 + 2ab + b^2$, где $a = \sqrt{7}$ и $b = \sqrt{10}$. Выполним подстановку и вычисления:
$(\sqrt{7}+\sqrt{10})^2 = (\sqrt{7})^2 + 2 \cdot \sqrt{7} \cdot \sqrt{10} + (\sqrt{10})^2 = 7 + 2\sqrt{70} + 10 = 17 + 2\sqrt{70}$.
Ответ: $17 + 2\sqrt{70}$.
г) Для выражения $(2\sqrt{5}-\sqrt{3})^2$ применим формулу квадрата разности $(a-b)^2 = a^2 - 2ab + b^2$, где $a = 2\sqrt{5}$ и $b = \sqrt{3}$. Выполним подстановку и вычисления:
$(2\sqrt{5}-\sqrt{3})^2 = (2\sqrt{5})^2 - 2 \cdot 2\sqrt{5} \cdot \sqrt{3} + (\sqrt{3})^2 = (4 \cdot 5) - 4\sqrt{15} + 3 = 20 - 4\sqrt{15} + 3 = 23 - 4\sqrt{15}$.
Ответ: $23 - 4\sqrt{15}$.
Другие задания:
Помогло решение? Оставьте отзыв в комментариях ниже.
Присоединяйтесь к Телеграм-группе @gdz_by_belarus
ПрисоединитьсяМы подготовили для вас ответ c подробным объяснением домашего задания по алгебре за 7-9 класс, для упражнения номер 23.22 расположенного на странице 108 к сборнику задач 2020 года издания для учащихся школ и гимназий.
Теперь на нашем сайте ГДЗ.ТОП вы всегда легко и бесплатно найдёте условие с правильным ответом на вопрос «Как решить ДЗ» и «Как сделать» задание по алгебре к упражнению №23.22 (с. 108), авторов: Арефьева (Ирина Глебовна), Пирютко (Ольга Николаевна), учебного пособия издательства Народная асвета.