Номер 23.18, страница 107 - гдз по алгебре 7-9 класс сборник задач Арефьева, Пирютко

Алгебра, 7-9 класс Сборник задач, авторы: Арефьева Ирина Глебовна, Пирютко Ольга Николаевна, издательство Народная асвета, Минск, 2020

Авторы: Арефьева И. Г., Пирютко О. Н.

Тип: Сборник задач

Издательство: Народная асвета

Год издания: 2020 - 2025

Цвет обложки: синий с графиками

Допущено Министерством образования Республики Беларусь

Популярные ГДЗ в 7 классе

8 класс. Параграф 23. Применение свойств квадратных корней - номер 23.18, страница 107.

№23.18 (с. 107)
Условие. №23.18 (с. 107)
скриншот условия
Алгебра, 7-9 класс Сборник задач, авторы: Арефьева Ирина Глебовна, Пирютко Ольга Николаевна, издательство Народная асвета, Минск, 2020, страница 107, номер 23.18, Условие

23.18. Определите, рациональным или иррациональным числом является значение выражения:

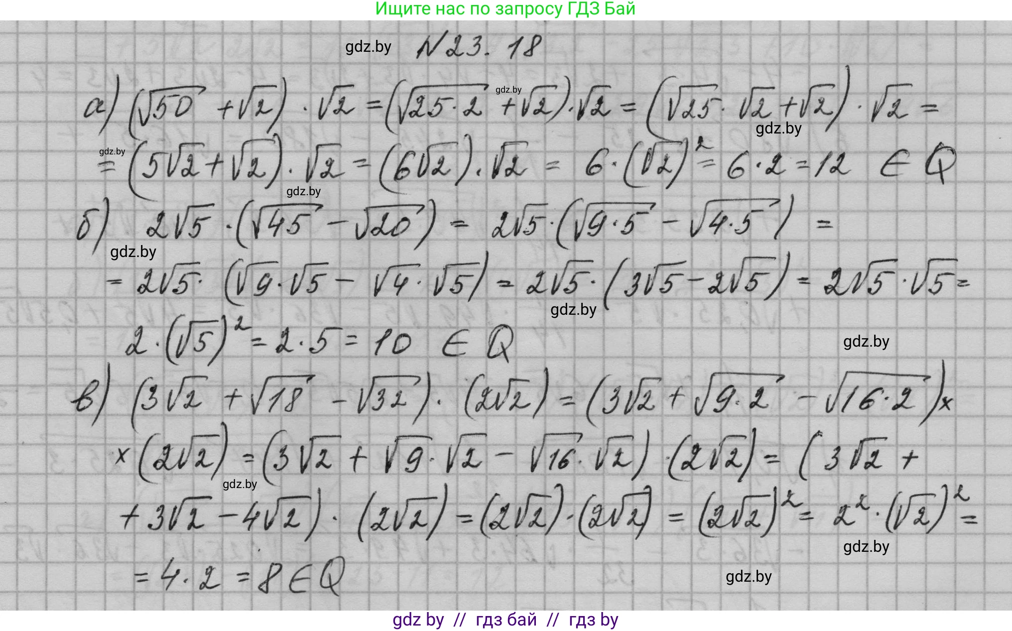
а) $(\sqrt{50} + \sqrt{2}) \cdot \sqrt{2};$

б) $2\sqrt{5} \cdot (\sqrt{45} - \sqrt{20});$

в) $(3\sqrt{2} + \sqrt{18} - \sqrt{32}) \cdot (2\sqrt{2});$

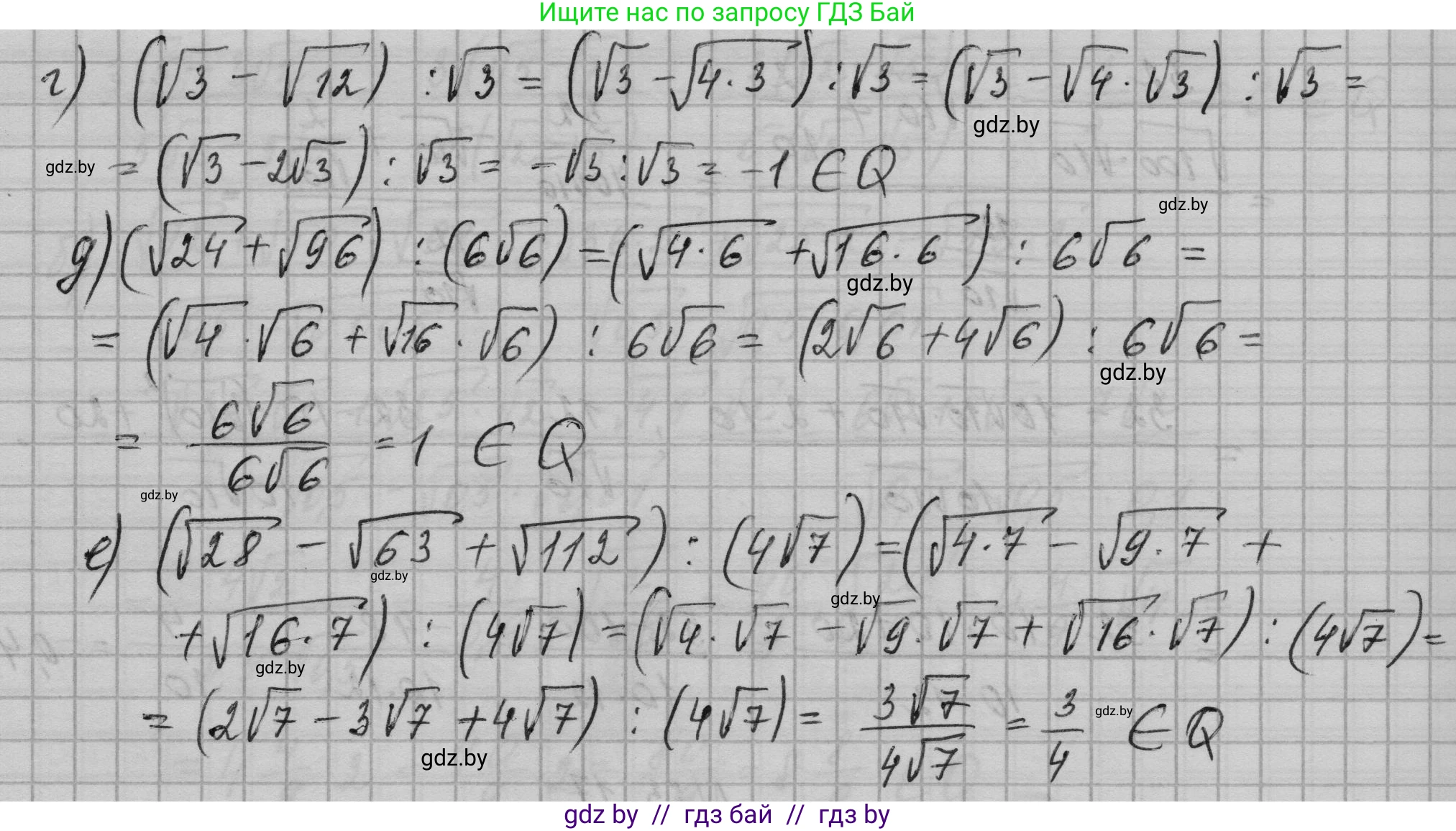
г) $(\sqrt{3} - \sqrt{12}) : \sqrt{3};$

д) $(\sqrt{24} + \sqrt{96}) : (6\sqrt{6});$

е) $(\sqrt{28} - \sqrt{63} + \sqrt{112}) : (4\sqrt{7}).$

Решение. №23.18 (с. 107)
Алгебра, 7-9 класс Сборник задач, авторы: Арефьева Ирина Глебовна, Пирютко Ольга Николаевна, издательство Народная асвета, Минск, 2020, страница 107, номер 23.18, Решение Алгебра, 7-9 класс Сборник задач, авторы: Арефьева Ирина Глебовна, Пирютко Ольга Николаевна, издательство Народная асвета, Минск, 2020, страница 107, номер 23.18, Решение (продолжение 2)
Решение 2. №23.18 (с. 107)

а) Упростим выражение $(\sqrt{50} + \sqrt{2}) \cdot \sqrt{2}$. Сначала вынесем множитель из-под знака корня в слагаемом $\sqrt{50}$: $\sqrt{50} = \sqrt{25 \cdot 2} = 5\sqrt{2}$. Теперь выражение в скобках можно сложить: $5\sqrt{2} + \sqrt{2} = 6\sqrt{2}$. Затем выполним умножение: $6\sqrt{2} \cdot \sqrt{2} = 6 \cdot (\sqrt{2})^2 = 6 \cdot 2 = 12$. Результат, число 12, является целым, а все целые числа являются рациональными.
Ответ: рациональное число.

б) Рассмотрим выражение $2\sqrt{5} \cdot (\sqrt{45} - \sqrt{20})$. Сначала упростим корни в скобках, вынося множители: $\sqrt{45} = \sqrt{9 \cdot 5} = 3\sqrt{5}$ и $\sqrt{20} = \sqrt{4 \cdot 5} = 2\sqrt{5}$. Подставим упрощенные значения в выражение: $2\sqrt{5} \cdot (3\sqrt{5} - 2\sqrt{5})$. Выполним вычитание в скобках: $3\sqrt{5} - 2\sqrt{5} = \sqrt{5}$. Теперь выполним умножение: $2\sqrt{5} \cdot \sqrt{5} = 2 \cdot (\sqrt{5})^2 = 2 \cdot 5 = 10$. Результат, число 10, является целым и, следовательно, рациональным.
Ответ: рациональное число.

в) Упростим выражение $(3\sqrt{2} + \sqrt{18} - \sqrt{32}) \cdot (2\sqrt{2})$. Упростим корни в скобках: $\sqrt{18} = \sqrt{9 \cdot 2} = 3\sqrt{2}$ и $\sqrt{32} = \sqrt{16 \cdot 2} = 4\sqrt{2}$. Подставим в выражение: $(3\sqrt{2} + 3\sqrt{2} - 4\sqrt{2}) \cdot (2\sqrt{2})$. Выполним действия в скобках: $(3+3-4)\sqrt{2} = 2\sqrt{2}$. Теперь умножим: $(2\sqrt{2}) \cdot (2\sqrt{2}) = (2 \cdot 2) \cdot (\sqrt{2} \cdot \sqrt{2}) = 4 \cdot 2 = 8$. Число 8 является целым, а значит, рациональным.
Ответ: рациональное число.

г) Рассмотрим выражение $(\sqrt{3} - \sqrt{12}) : \sqrt{3}$. Упростим $\sqrt{12}$: $\sqrt{12} = \sqrt{4 \cdot 3} = 2\sqrt{3}$. Выражение примет вид: $(\sqrt{3} - 2\sqrt{3}) : \sqrt{3}$. Выполним вычитание в скобках: $(1-2)\sqrt{3} = -\sqrt{3}$. Теперь разделим: $(-\sqrt{3}) : \sqrt{3} = \frac{-\sqrt{3}}{\sqrt{3}} = -1$. Число -1 является целым, следовательно, рациональным.
Ответ: рациональное число.

д) Упростим выражение $(\sqrt{24} + \sqrt{96}) : (6\sqrt{6})$. Сначала упростим корни в скобках: $\sqrt{24} = \sqrt{4 \cdot 6} = 2\sqrt{6}$ и $\sqrt{96} = \sqrt{16 \cdot 6} = 4\sqrt{6}$. Подставим в выражение: $(2\sqrt{6} + 4\sqrt{6}) : (6\sqrt{6})$. Выполним сложение в скобках: $(2+4)\sqrt{6} = 6\sqrt{6}$. Теперь выполним деление: $(6\sqrt{6}) : (6\sqrt{6}) = \frac{6\sqrt{6}}{6\sqrt{6}} = 1$. Число 1 является целым, а значит, рациональным.
Ответ: рациональное число.

е) Рассмотрим выражение $(\sqrt{28} - \sqrt{63} + \sqrt{112}) : (4\sqrt{7})$. Упростим каждый корень в скобках: $\sqrt{28} = \sqrt{4 \cdot 7} = 2\sqrt{7}$, $\sqrt{63} = \sqrt{9 \cdot 7} = 3\sqrt{7}$, $\sqrt{112} = \sqrt{16 \cdot 7} = 4\sqrt{7}$. Подставим в выражение: $(2\sqrt{7} - 3\sqrt{7} + 4\sqrt{7}) : (4\sqrt{7})$. Выполним действия в скобках: $(2 - 3 + 4)\sqrt{7} = 3\sqrt{7}$. Теперь выполним деление: $(3\sqrt{7}) : (4\sqrt{7}) = \frac{3\sqrt{7}}{4\sqrt{7}} = \frac{3}{4}$. Число $\frac{3}{4}$ является отношением двух целых чисел, то есть рациональным числом.
Ответ: рациональное число.

Помогло решение? Оставьте отзыв в комментариях ниже.

Присоединяйтесь к Телеграм-группе @gdz_by_belarus

Присоединиться

Мы подготовили для вас ответ c подробным объяснением домашего задания по алгебре за 7-9 класс, для упражнения номер 23.18 расположенного на странице 107 к сборнику задач 2020 года издания для учащихся школ и гимназий.

Теперь на нашем сайте ГДЗ.ТОП вы всегда легко и бесплатно найдёте условие с правильным ответом на вопрос «Как решить ДЗ» и «Как сделать» задание по алгебре к упражнению №23.18 (с. 107), авторов: Арефьева (Ирина Глебовна), Пирютко (Ольга Николаевна), учебного пособия издательства Народная асвета.