Номер 23.12, страница 106 - гдз по алгебре 7-9 класс сборник задач Арефьева, Пирютко

Алгебра, 7-9 класс Сборник задач, авторы: Арефьева Ирина Глебовна, Пирютко Ольга Николаевна, издательство Народная асвета, Минск, 2020

Авторы: Арефьева И. Г., Пирютко О. Н.

Тип: Сборник задач

Издательство: Народная асвета

Год издания: 2020 - 2025

Цвет обложки: синий с графиками

Допущено Министерством образования Республики Беларусь

Популярные ГДЗ в 7 классе

8 класс. Параграф 23. Применение свойств квадратных корней - номер 23.12, страница 106.

№23.12 (с. 106)
Условие. №23.12 (с. 106)
скриншот условия
Алгебра, 7-9 класс Сборник задач, авторы: Арефьева Ирина Глебовна, Пирютко Ольга Николаевна, издательство Народная асвета, Минск, 2020, страница 106, номер 23.12, Условие

23.12. Внесите множитель под знак корня:

а) $(x-3)\sqrt{2}$, если $x > 3$;

б) $(a+5)\sqrt{3}$, если $a \leqslant -5$;

в) $a\sqrt{a}$;

г) $b\sqrt{-b}$;

д) $(n-3)\sqrt{n-3}$;

е) $(m-7)\sqrt{7-m}$.

Решение. №23.12 (с. 106)
Алгебра, 7-9 класс Сборник задач, авторы: Арефьева Ирина Глебовна, Пирютко Ольга Николаевна, издательство Народная асвета, Минск, 2020, страница 106, номер 23.12, Решение Алгебра, 7-9 класс Сборник задач, авторы: Арефьева Ирина Глебовна, Пирютко Ольга Николаевна, издательство Народная асвета, Минск, 2020, страница 106, номер 23.12, Решение (продолжение 2)
Решение 2. №23.12 (с. 106)

а)

Чтобы внести множитель $(x-3)$ под знак корня, необходимо определить его знак. Согласно условию $x > 3$, выражение $x - 3$ является положительным ($x - 3 > 0$).
Поскольку множитель неотрицателен, мы можем внести его под знак корня, возведя в квадрат:
$(x - 3)\sqrt{2} = \sqrt{(x - 3)^2 \cdot 2} = \sqrt{2(x - 3)^2}$.
Ответ: $\sqrt{2(x - 3)^2}$.

б)

Рассмотрим множитель $(a+5)$. Согласно условию $a \le -5$, выражение $a + 5$ является неположительным ($a + 5 \le 0$).
Чтобы внести отрицательный или равный нулю множитель под знак корня, нужно поставить перед корнем знак «минус», а сам множитель, возведенный в квадрат, внести под корень:
$(a + 5)\sqrt{3} = - \sqrt{(a + 5)^2 \cdot 3} = - \sqrt{3(a + 5)^2}$.
Ответ: $-\sqrt{3(a + 5)^2}$.

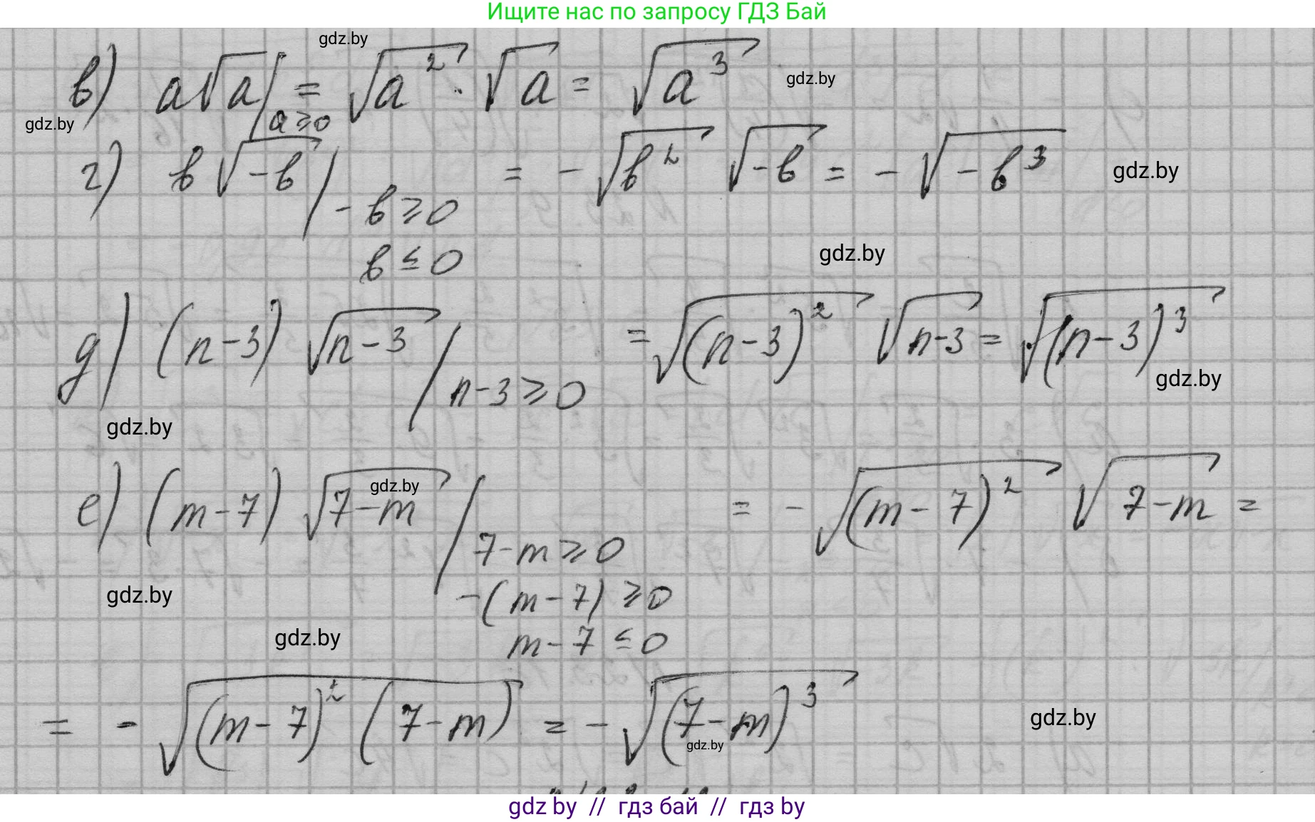
в)

Для того чтобы выражение $a\sqrt{a}$ имело смысл, подкоренное выражение должно быть неотрицательным, то есть $a \ge 0$.
Следовательно, множитель $a$ является неотрицательным. Вносим его под знак корня, возведя в квадрат:
$a\sqrt{a} = \sqrt{a^2 \cdot a} = \sqrt{a^3}$.
Ответ: $\sqrt{a^3}$.

г)

Для того чтобы выражение $b\sqrt{-b}$ имело смысл, подкоренное выражение должно быть неотрицательным, то есть $-b \ge 0$, что означает $b \le 0$.
Следовательно, множитель $b$ является неположительным. При внесении неположительного множителя под знак корня, перед корнем ставится знак «минус»:
$b\sqrt{-b} = - \sqrt{b^2 \cdot (-b)} = - \sqrt{-b^3}$.
Ответ: $-\sqrt{-b^3}$.

д)

Для того чтобы выражение $(n - 3)\sqrt{n - 3}$ имело смысл, подкоренное выражение $n-3$ должно быть неотрицательным: $n - 3 \ge 0$.
Следовательно, множитель $(n-3)$ также является неотрицательным. Вносим его под знак корня:
$(n - 3)\sqrt{n - 3} = \sqrt{(n - 3)^2 \cdot (n - 3)} = \sqrt{(n - 3)^3}$.
Ответ: $\sqrt{(n - 3)^3}$.

е)

Для того чтобы выражение $(m - 7)\sqrt{7 - m}$ имело смысл, подкоренное выражение $7 - m$ должно быть неотрицательным: $7 - m \ge 0$, что означает $m \le 7$.
При этом условии множитель $(m - 7)$ будет неположительным ($m - 7 \le 0$).
При внесении неположительного множителя под знак корня, перед корнем ставится знак «минус»:
$(m - 7)\sqrt{7 - m} = - \sqrt{(m - 7)^2 \cdot (7 - m)}$.
Так как $(m - 7)^2 = (-(7 - m))^2 = (7 - m)^2$, то выражение можно преобразовать:
$- \sqrt{(m - 7)^2 \cdot (7 - m)} = - \sqrt{(7 - m)^2 \cdot (7 - m)} = - \sqrt{(7 - m)^3}$.
Ответ: $-\sqrt{(7 - m)^3}$.

Помогло решение? Оставьте отзыв в комментариях ниже.

Присоединяйтесь к Телеграм-группе @gdz_by_belarus

Присоединиться

Мы подготовили для вас ответ c подробным объяснением домашего задания по алгебре за 7-9 класс, для упражнения номер 23.12 расположенного на странице 106 к сборнику задач 2020 года издания для учащихся школ и гимназий.

Теперь на нашем сайте ГДЗ.ТОП вы всегда легко и бесплатно найдёте условие с правильным ответом на вопрос «Как решить ДЗ» и «Как сделать» задание по алгебре к упражнению №23.12 (с. 106), авторов: Арефьева (Ирина Глебовна), Пирютко (Ольга Николаевна), учебного пособия издательства Народная асвета.