Номер 23.10, страница 106 - гдз по алгебре 7-9 класс сборник задач Арефьева, Пирютко
Авторы: Арефьева И. Г., Пирютко О. Н.
Тип: Сборник задач
Издательство: Народная асвета
Год издания: 2020 - 2025
Цвет обложки: синий с графиками
Допущено Министерством образования Республики Беларусь
Популярные ГДЗ в 7 классе
8 класс. Параграф 23. Применение свойств квадратных корней - номер 23.10, страница 106.
№23.10 (с. 106)
Условие. №23.10 (с. 106)
скриншот условия
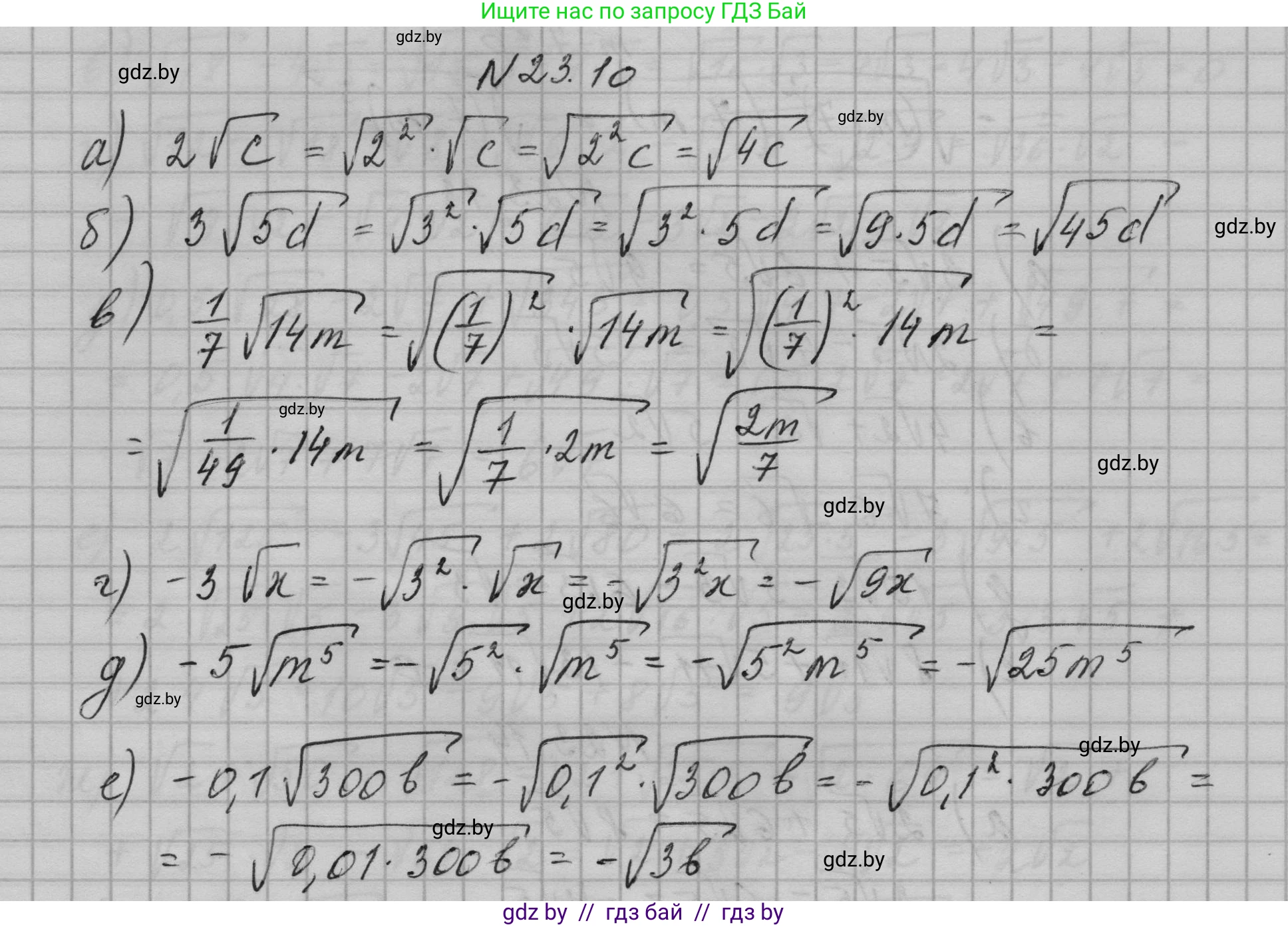
23.10. Внесите множитель под знак корня:
a) $2\sqrt{c}$;
б) $3\sqrt{5d}$;
в) $\frac{1}{7}\sqrt{14m}$;
г) $-3\sqrt{x}$;
д) $-5\sqrt{m^5}$;
е) $-0,1\sqrt{300b}$.
Решение. №23.10 (с. 106)
Решение 2. №23.10 (с. 106)
а) Чтобы внести положительный множитель $2$ под знак корня, его нужно возвести в квадрат и умножить на подкоренное выражение. Выражение имеет смысл при $c \ge 0$.
$2\sqrt{c} = \sqrt{2^2 \cdot c} = \sqrt{4c}$
Ответ: $\sqrt{4c}$.
б) Множитель $3$ является положительным, поэтому возводим его в квадрат и вносим под корень. Выражение имеет смысл при $d \ge 0$.
$3\sqrt{5d} = \sqrt{3^2 \cdot 5d} = \sqrt{9 \cdot 5d} = \sqrt{45d}$
Ответ: $\sqrt{45d}$.
в) Множитель $\frac{1}{7}$ является положительным. Вносим его под знак корня, возведя в квадрат, и затем упрощаем полученное выражение. Выражение имеет смысл при $m \ge 0$.
$\frac{1}{7}\sqrt{14m} = \sqrt{(\frac{1}{7})^2 \cdot 14m} = \sqrt{\frac{1}{49} \cdot 14m} = \sqrt{\frac{14m}{49}} = \sqrt{\frac{2m}{7}}$
Ответ: $\sqrt{\frac{2m}{7}}$.
г) Так как множитель $-3$ отрицательный, знак "минус" остается перед корнем, а под корень вносится положительное число $3$, возведенное в квадрат. Выражение имеет смысл при $x \ge 0$.
$-3\sqrt{x} = -\sqrt{3^2 \cdot x} = -\sqrt{9x}$
Ответ: $-\sqrt{9x}$.
д) Множитель $-5$ отрицательный. Поступаем аналогично предыдущему пункту: знак "минус" оставляем перед корнем, а под корень вносим $5^2$. Выражение имеет смысл при $m^5 \ge 0$, то есть $m \ge 0$.
$-5\sqrt{m^5} = -\sqrt{5^2 \cdot m^5} = -\sqrt{25m^5}$
Ответ: $-\sqrt{25m^5}$.
е) Множитель $-0,1$ отрицательный. Оставляем "минус" перед корнем, а $0,1$ вносим под корень, возведя в квадрат. Выражение имеет смысл при $b \ge 0$.
$-0,1\sqrt{300b} = -\sqrt{(0,1)^2 \cdot 300b} = -\sqrt{0,01 \cdot 300b} = -\sqrt{3b}$
Ответ: $-\sqrt{3b}$.
Другие задания:
Помогло решение? Оставьте отзыв в комментариях ниже.
Присоединяйтесь к Телеграм-группе @gdz_by_belarus
ПрисоединитьсяМы подготовили для вас ответ c подробным объяснением домашего задания по алгебре за 7-9 класс, для упражнения номер 23.10 расположенного на странице 106 к сборнику задач 2020 года издания для учащихся школ и гимназий.
Теперь на нашем сайте ГДЗ.ТОП вы всегда легко и бесплатно найдёте условие с правильным ответом на вопрос «Как решить ДЗ» и «Как сделать» задание по алгебре к упражнению №23.10 (с. 106), авторов: Арефьева (Ирина Глебовна), Пирютко (Ольга Николаевна), учебного пособия издательства Народная асвета.