Номер 23.14, страница 106 - гдз по алгебре 7-9 класс сборник задач Арефьева, Пирютко
Авторы: Арефьева И. Г., Пирютко О. Н.
Тип: Сборник задач
Издательство: Народная асвета
Год издания: 2020 - 2025
Цвет обложки: синий с графиками
Допущено Министерством образования Республики Беларусь
Популярные ГДЗ в 7 классе
8 класс. Параграф 23. Применение свойств квадратных корней - номер 23.14, страница 106.
№23.14 (с. 106)
Условие. №23.14 (с. 106)
скриншот условия
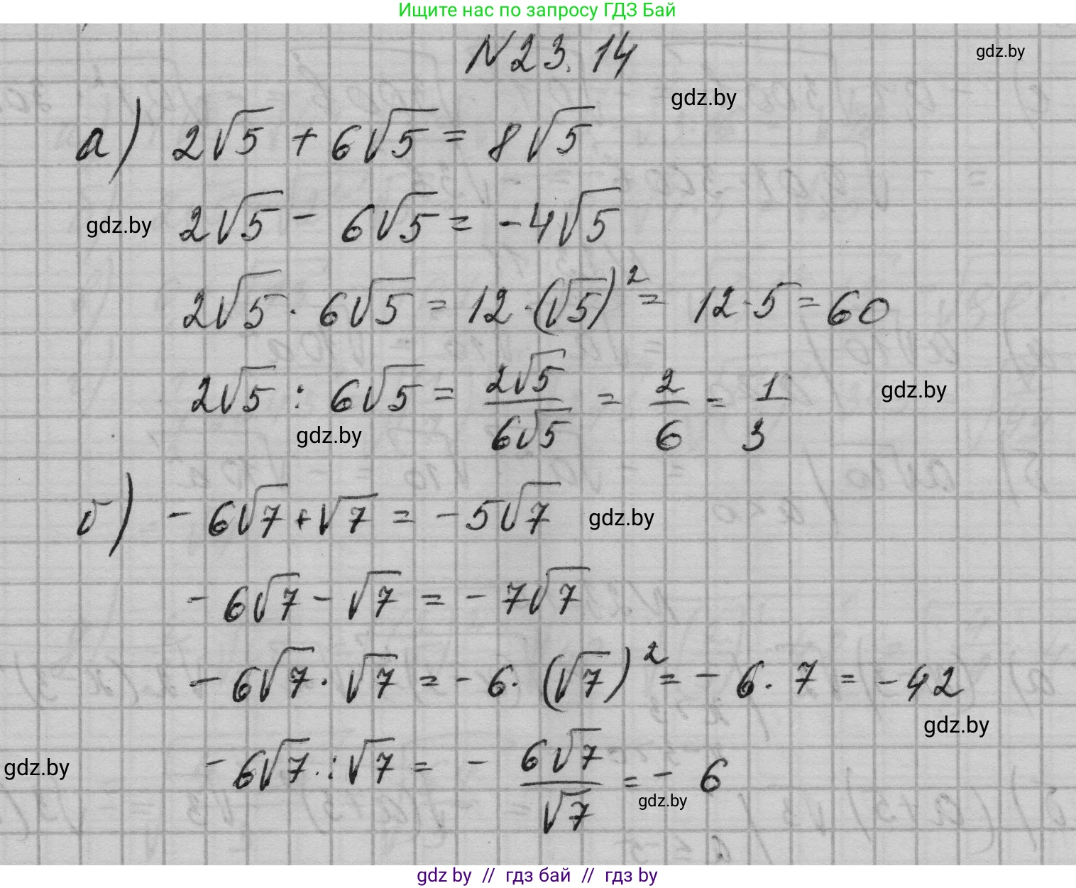
23.14. Найдите сумму, разность, произведение и частное чисел:
а) $2\sqrt{5}$ и $6\sqrt{5}$;
б) $-6\sqrt{7}$ и $\sqrt{7}$;
в) $-5\sqrt{3}$ и $5\sqrt{3}$.
Решение. №23.14 (с. 106)
Решение 2. №23.14 (с. 106)
а) Даны числа $2\sqrt{5}$ и $6\sqrt{5}$.
1. Сумма: Складываем коэффициенты при одинаковом подкоренном выражении.
$2\sqrt{5} + 6\sqrt{5} = (2+6)\sqrt{5} = 8\sqrt{5}$.
2. Разность: Вычитаем коэффициенты при одинаковом подкоренном выражении.
$2\sqrt{5} - 6\sqrt{5} = (2-6)\sqrt{5} = -4\sqrt{5}$.
3. Произведение: Перемножаем коэффициенты и подкоренные выражения отдельно.
$2\sqrt{5} \cdot 6\sqrt{5} = (2 \cdot 6) \cdot (\sqrt{5} \cdot \sqrt{5}) = 12 \cdot 5 = 60$.
4. Частное: Делим коэффициенты и подкоренные выражения отдельно.
$\frac{2\sqrt{5}}{6\sqrt{5}} = \frac{2}{6} = \frac{1}{3}$.
Ответ: сумма $8\sqrt{5}$, разность $-4\sqrt{5}$, произведение $60$, частное $\frac{1}{3}$.
б) Даны числа $-6\sqrt{7}$ и $\sqrt{7}$.
1. Сумма: Складываем коэффициенты ($\sqrt{7}$ имеет коэффициент 1).
$-6\sqrt{7} + \sqrt{7} = (-6+1)\sqrt{7} = -5\sqrt{7}$.
2. Разность: Вычитаем коэффициенты.
$-6\sqrt{7} - \sqrt{7} = (-6-1)\sqrt{7} = -7\sqrt{7}$.
3. Произведение: Перемножаем числа.
$-6\sqrt{7} \cdot \sqrt{7} = -6 \cdot (\sqrt{7})^2 = -6 \cdot 7 = -42$.
4. Частное: Делим одно число на другое.
$\frac{-6\sqrt{7}}{\sqrt{7}} = -6$.
Ответ: сумма $-5\sqrt{7}$, разность $-7\sqrt{7}$, произведение $-42$, частное $-6$.
в) Даны числа $-5\sqrt{3}$ и $5\sqrt{3}$.
1. Сумма: Складываем числа, являющиеся противоположными.
$-5\sqrt{3} + 5\sqrt{3} = (-5+5)\sqrt{3} = 0 \cdot \sqrt{3} = 0$.
2. Разность: Вычитаем одно число из другого.
$-5\sqrt{3} - 5\sqrt{3} = (-5-5)\sqrt{3} = -10\sqrt{3}$.
3. Произведение: Перемножаем числа.
$-5\sqrt{3} \cdot 5\sqrt{3} = (-5 \cdot 5) \cdot (\sqrt{3} \cdot \sqrt{3}) = -25 \cdot 3 = -75$.
4. Частное: Делим одно число на другое.
$\frac{-5\sqrt{3}}{5\sqrt{3}} = \frac{-5}{5} = -1$.
Ответ: сумма $0$, разность $-10\sqrt{3}$, произведение $-75$, частное $-1$.
Другие задания:
Помогло решение? Оставьте отзыв в комментариях ниже.
Присоединяйтесь к Телеграм-группе @gdz_by_belarus
ПрисоединитьсяМы подготовили для вас ответ c подробным объяснением домашего задания по алгебре за 7-9 класс, для упражнения номер 23.14 расположенного на странице 106 к сборнику задач 2020 года издания для учащихся школ и гимназий.
Теперь на нашем сайте ГДЗ.ТОП вы всегда легко и бесплатно найдёте условие с правильным ответом на вопрос «Как решить ДЗ» и «Как сделать» задание по алгебре к упражнению №23.14 (с. 106), авторов: Арефьева (Ирина Глебовна), Пирютко (Ольга Николаевна), учебного пособия издательства Народная асвета.