Номер 25.14, страница 121 - гдз по алгебре 7-9 класс сборник задач Арефьева, Пирютко

Алгебра, 7-9 класс Сборник задач, авторы: Арефьева Ирина Глебовна, Пирютко Ольга Николаевна, издательство Народная асвета, Минск, 2020

Авторы: Арефьева И. Г., Пирютко О. Н.

Тип: Сборник задач

Издательство: Народная асвета

Год издания: 2020 - 2025

Цвет обложки: синий с графиками

Допущено Министерством образования Республики Беларусь

Популярные ГДЗ в 7 классе

8 класс. Параграф 25. Квадратные уравнения. Решение неполных квадратных уравнений. Формулы корней квадратного уравнения. Решение текстовых задач с помощью квадратных уравнений - номер 25.14, страница 121.

№25.14 (с. 121)
Условие. №25.14 (с. 121)
скриншот условия
Алгебра, 7-9 класс Сборник задач, авторы: Арефьева Ирина Глебовна, Пирютко Ольга Николаевна, издательство Народная асвета, Минск, 2020, страница 121, номер 25.14, Условие

25.14. Решите уравнение:

а) $6x^2 + x = 2;$

б) $3x^2 + 2 = 5x;$

в) $x^2 = 10x - 9;$

г) $5 - 8x = 3x^2;$

д) $5x^2 - 3x = 3x^2 + 2;$

е) $7x^2 + 1 = 6x - 2x^2;$

ж) $8x - 3 = 3x^2 - 2x;$

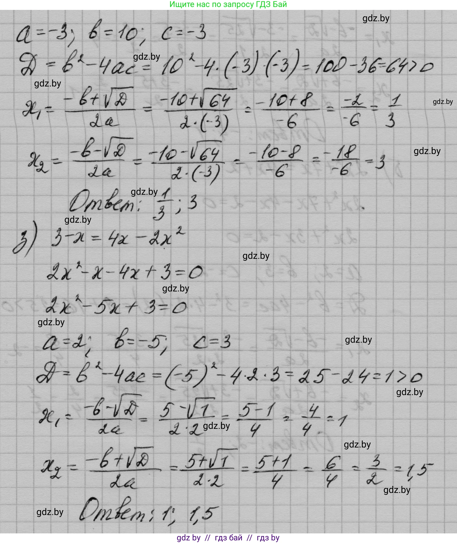
з) $3 - x = 4x - 2x^2.$

Решение. №25.14 (с. 121)
Алгебра, 7-9 класс Сборник задач, авторы: Арефьева Ирина Глебовна, Пирютко Ольга Николаевна, издательство Народная асвета, Минск, 2020, страница 121, номер 25.14, Решение Алгебра, 7-9 класс Сборник задач, авторы: Арефьева Ирина Глебовна, Пирютко Ольга Николаевна, издательство Народная асвета, Минск, 2020, страница 121, номер 25.14, Решение (продолжение 2)
Решение 2. №25.14 (с. 121)

а) $6x^2 + x = 2$

Перенесем все члены уравнения в левую часть, чтобы привести его к стандартному виду $ax^2+bx+c=0$:

$6x^2 + x - 2 = 0$

Это квадратное уравнение с коэффициентами $a=6$, $b=1$, $c=-2$.

Найдем дискриминант по формуле $D = b^2 - 4ac$:

$D = 1^2 - 4 \cdot 6 \cdot (-2) = 1 + 48 = 49$

Так как $D > 0$, уравнение имеет два различных корня. $\sqrt{D} = \sqrt{49} = 7$.

Найдем корни по формуле $x_{1,2} = \frac{-b \pm \sqrt{D}}{2a}$:

$x_1 = \frac{-1 - 7}{2 \cdot 6} = \frac{-8}{12} = -\frac{2}{3}$

$x_2 = \frac{-1 + 7}{2 \cdot 6} = \frac{6}{12} = \frac{1}{2}$

Ответ: $x_1 = -\frac{2}{3}$, $x_2 = \frac{1}{2}$.

б) $3x^2 + 2 = 5x$

Приведем уравнение к стандартному виду:

$3x^2 - 5x + 2 = 0$

Коэффициенты: $a=3$, $b=-5$, $c=2$.

Найдем дискриминант:

$D = (-5)^2 - 4 \cdot 3 \cdot 2 = 25 - 24 = 1$

Так как $D > 0$, уравнение имеет два различных корня. $\sqrt{D} = \sqrt{1} = 1$.

Найдем корни:

$x_1 = \frac{-(-5) - 1}{2 \cdot 3} = \frac{5 - 1}{6} = \frac{4}{6} = \frac{2}{3}$

$x_2 = \frac{-(-5) + 1}{2 \cdot 3} = \frac{5 + 1}{6} = \frac{6}{6} = 1$

Ответ: $x_1 = \frac{2}{3}$, $x_2 = 1$.

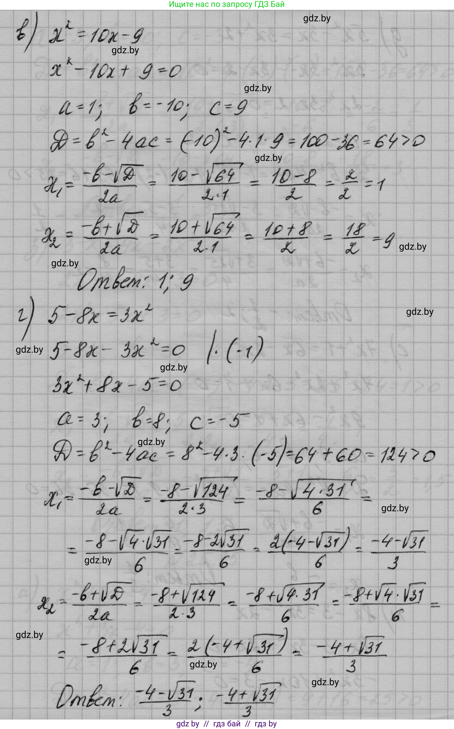
в) $x^2 = 10x - 9$

Приведем уравнение к стандартному виду:

$x^2 - 10x + 9 = 0$

Коэффициенты: $a=1$, $b=-10$, $c=9$.

Найдем дискриминант:

$D = (-10)^2 - 4 \cdot 1 \cdot 9 = 100 - 36 = 64$

Так как $D > 0$, уравнение имеет два различных корня. $\sqrt{D} = \sqrt{64} = 8$.

Найдем корни:

$x_1 = \frac{-(-10) - 8}{2 \cdot 1} = \frac{10 - 8}{2} = \frac{2}{2} = 1$

$x_2 = \frac{-(-10) + 8}{2 \cdot 1} = \frac{10 + 8}{2} = \frac{18}{2} = 9$

Ответ: $x_1 = 1$, $x_2 = 9$.

г) $5 - 8x = 3x^2$

Приведем уравнение к стандартному виду:

$3x^2 + 8x - 5 = 0$

Коэффициенты: $a=3$, $b=8$, $c=-5$.

Найдем дискриминант:

$D = 8^2 - 4 \cdot 3 \cdot (-5) = 64 + 60 = 124$

Так как $D > 0$, уравнение имеет два различных корня. $\sqrt{D} = \sqrt{124} = \sqrt{4 \cdot 31} = 2\sqrt{31}$.

Найдем корни:

$x_1 = \frac{-8 - 2\sqrt{31}}{2 \cdot 3} = \frac{2(-4 - \sqrt{31})}{6} = \frac{-4 - \sqrt{31}}{3}$

$x_2 = \frac{-8 + 2\sqrt{31}}{2 \cdot 3} = \frac{2(-4 + \sqrt{31})}{6} = \frac{-4 + \sqrt{31}}{3}$

Ответ: $x_1 = \frac{-4 - \sqrt{31}}{3}$, $x_2 = \frac{-4 + \sqrt{31}}{3}$.

д) $5x^2 - 3x = 3x^2 + 2$

Сгруппируем все члены в левой части:

$5x^2 - 3x^2 - 3x - 2 = 0$

$2x^2 - 3x - 2 = 0$

Коэффициенты: $a=2$, $b=-3$, $c=-2$.

Найдем дискриминант:

$D = (-3)^2 - 4 \cdot 2 \cdot (-2) = 9 + 16 = 25$

Так как $D > 0$, уравнение имеет два различных корня. $\sqrt{D} = \sqrt{25} = 5$.

Найдем корни:

$x_1 = \frac{-(-3) - 5}{2 \cdot 2} = \frac{3 - 5}{4} = \frac{-2}{4} = -0.5$

$x_2 = \frac{-(-3) + 5}{2 \cdot 2} = \frac{3 + 5}{4} = \frac{8}{4} = 2$

Ответ: $x_1 = -0.5$, $x_2 = 2$.

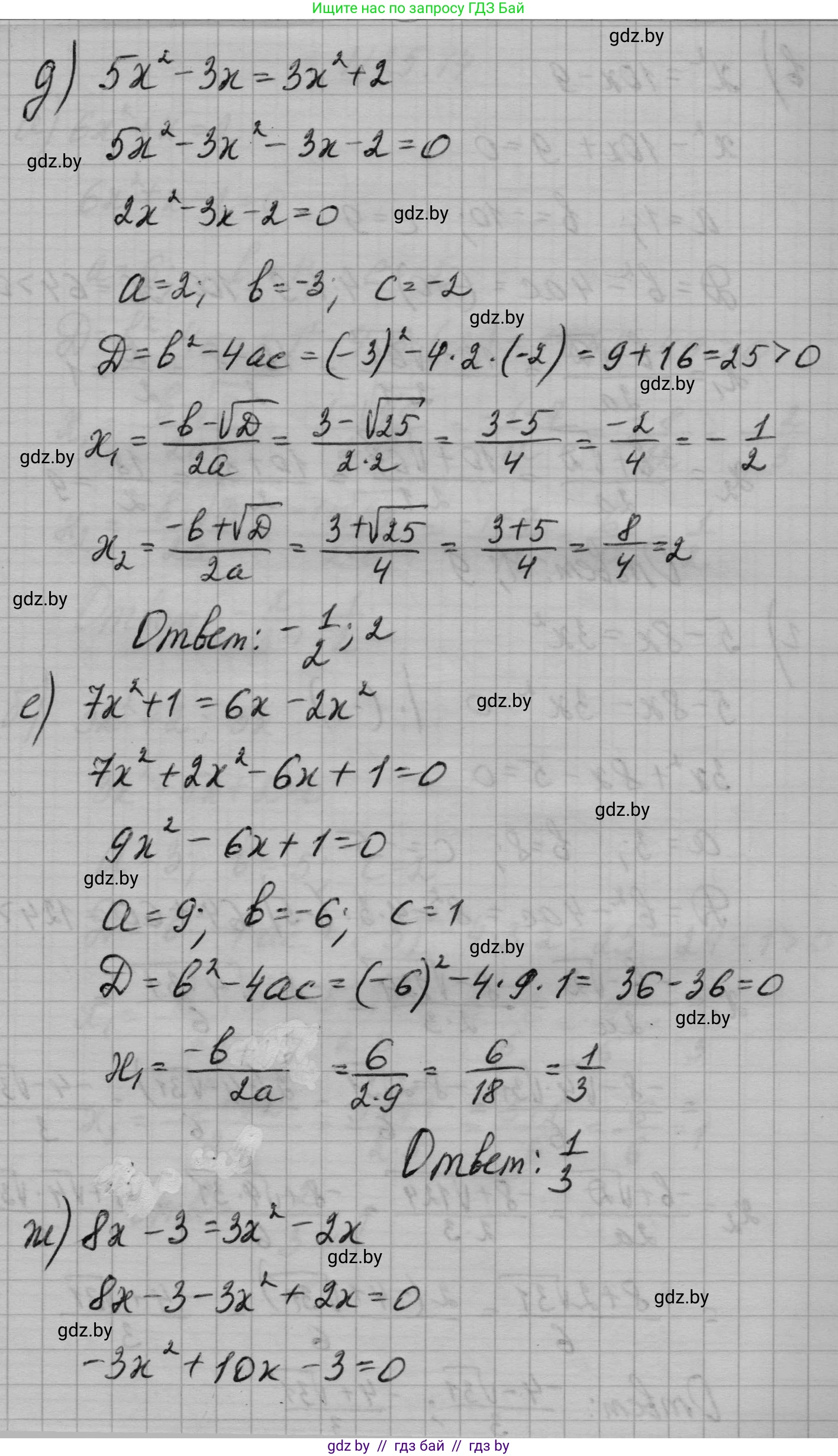
е) $7x^2 + 1 = 6x - 2x^2$

Сгруппируем все члены в левой части:

$7x^2 + 2x^2 - 6x + 1 = 0$

$9x^2 - 6x + 1 = 0$

Заметим, что левая часть является полным квадратом: $(3x-1)^2 = 0$.

Решим это уравнение:

$3x - 1 = 0$

$3x = 1$

$x = \frac{1}{3}$

Также можно решить через дискриминант. Коэффициенты: $a=9$, $b=-6$, $c=1$.

$D = (-6)^2 - 4 \cdot 9 \cdot 1 = 36 - 36 = 0$

Так как $D=0$, уравнение имеет один корень: $x = \frac{-b}{2a} = \frac{-(-6)}{2 \cdot 9} = \frac{6}{18} = \frac{1}{3}$.

Ответ: $x = \frac{1}{3}$.

ж) $8x - 3 = 3x^2 - 2x$

Перенесем все члены в одну часть, чтобы получить стандартный вид:

$0 = 3x^2 - 2x - 8x + 3$

$3x^2 - 10x + 3 = 0$

Коэффициенты: $a=3$, $b=-10$, $c=3$.

Найдем дискриминант:

$D = (-10)^2 - 4 \cdot 3 \cdot 3 = 100 - 36 = 64$

Так как $D > 0$, уравнение имеет два различных корня. $\sqrt{D} = \sqrt{64} = 8$.

Найдем корни:

$x_1 = \frac{-(-10) - 8}{2 \cdot 3} = \frac{10 - 8}{6} = \frac{2}{6} = \frac{1}{3}$

$x_2 = \frac{-(-10) + 8}{2 \cdot 3} = \frac{10 + 8}{6} = \frac{18}{6} = 3$

Ответ: $x_1 = \frac{1}{3}$, $x_2 = 3$.

з) $3 - x = 4x - 2x^2$

Перенесем все члены в левую часть:

$2x^2 - 4x - x + 3 = 0$

$2x^2 - 5x + 3 = 0$

Коэффициенты: $a=2$, $b=-5$, $c=3$.

Найдем дискриминант:

$D = (-5)^2 - 4 \cdot 2 \cdot 3 = 25 - 24 = 1$

Так как $D > 0$, уравнение имеет два различных корня. $\sqrt{D} = \sqrt{1} = 1$.

Найдем корни:

$x_1 = \frac{-(-5) - 1}{2 \cdot 2} = \frac{5 - 1}{4} = \frac{4}{4} = 1$

$x_2 = \frac{-(-5) + 1}{2 \cdot 2} = \frac{5 + 1}{4} = \frac{6}{4} = \frac{3}{2} = 1.5$

Ответ: $x_1 = 1$, $x_2 = 1.5$.

Помогло решение? Оставьте отзыв в комментариях ниже.

Присоединяйтесь к Телеграм-группе @gdz_by_belarus

Присоединиться

Мы подготовили для вас ответ c подробным объяснением домашего задания по алгебре за 7-9 класс, для упражнения номер 25.14 расположенного на странице 121 к сборнику задач 2020 года издания для учащихся школ и гимназий.

Теперь на нашем сайте ГДЗ.ТОП вы всегда легко и бесплатно найдёте условие с правильным ответом на вопрос «Как решить ДЗ» и «Как сделать» задание по алгебре к упражнению №25.14 (с. 121), авторов: Арефьева (Ирина Глебовна), Пирютко (Ольга Николаевна), учебного пособия издательства Народная асвета.