Номер 25.10, страница 120 - гдз по алгебре 7-9 класс сборник задач Арефьева, Пирютко

Алгебра, 7-9 класс Сборник задач, авторы: Арефьева Ирина Глебовна, Пирютко Ольга Николаевна, издательство Народная асвета, Минск, 2020

Авторы: Арефьева И. Г., Пирютко О. Н.

Тип: Сборник задач

Издательство: Народная асвета

Год издания: 2020 - 2025

Цвет обложки: синий с графиками

Допущено Министерством образования Республики Беларусь

Популярные ГДЗ в 7 классе

8 класс. Параграф 25. Квадратные уравнения. Решение неполных квадратных уравнений. Формулы корней квадратного уравнения. Решение текстовых задач с помощью квадратных уравнений - номер 25.10, страница 120.

№25.10 (с. 120)
Условие. №25.10 (с. 120)
скриншот условия
Алгебра, 7-9 класс Сборник задач, авторы: Арефьева Ирина Глебовна, Пирютко Ольга Николаевна, издательство Народная асвета, Минск, 2020, страница 120, номер 25.10, Условие

25.10. Составьте квадратное уравнение, корнями которого являются числа:

а) -5 и 5;

б) -8 и 0;

в) $-\sqrt{7}$ и $\sqrt{7}$;

г) 0 и 3,4.

Решение. №25.10 (с. 120)
Алгебра, 7-9 класс Сборник задач, авторы: Арефьева Ирина Глебовна, Пирютко Ольга Николаевна, издательство Народная асвета, Минск, 2020, страница 120, номер 25.10, Решение
Решение 2. №25.10 (с. 120)

Чтобы составить квадратное уравнение по известным корням $x_1$ и $x_2$, можно воспользоваться теоремой, обратной теореме Виета. Согласно этой теореме, числа $x_1$ и $x_2$ являются корнями приведённого квадратного уравнения вида $x^2 + px + q = 0$, где коэффициенты $p$ и $q$ связаны с корнями следующими соотношениями:

  • $p = -(x_1 + x_2)$
  • $q = x_1 \cdot x_2$

Таким образом, искомое квадратное уравнение можно записать в виде: $x^2 - (x_1 + x_2)x + x_1 \cdot x_2 = 0$.

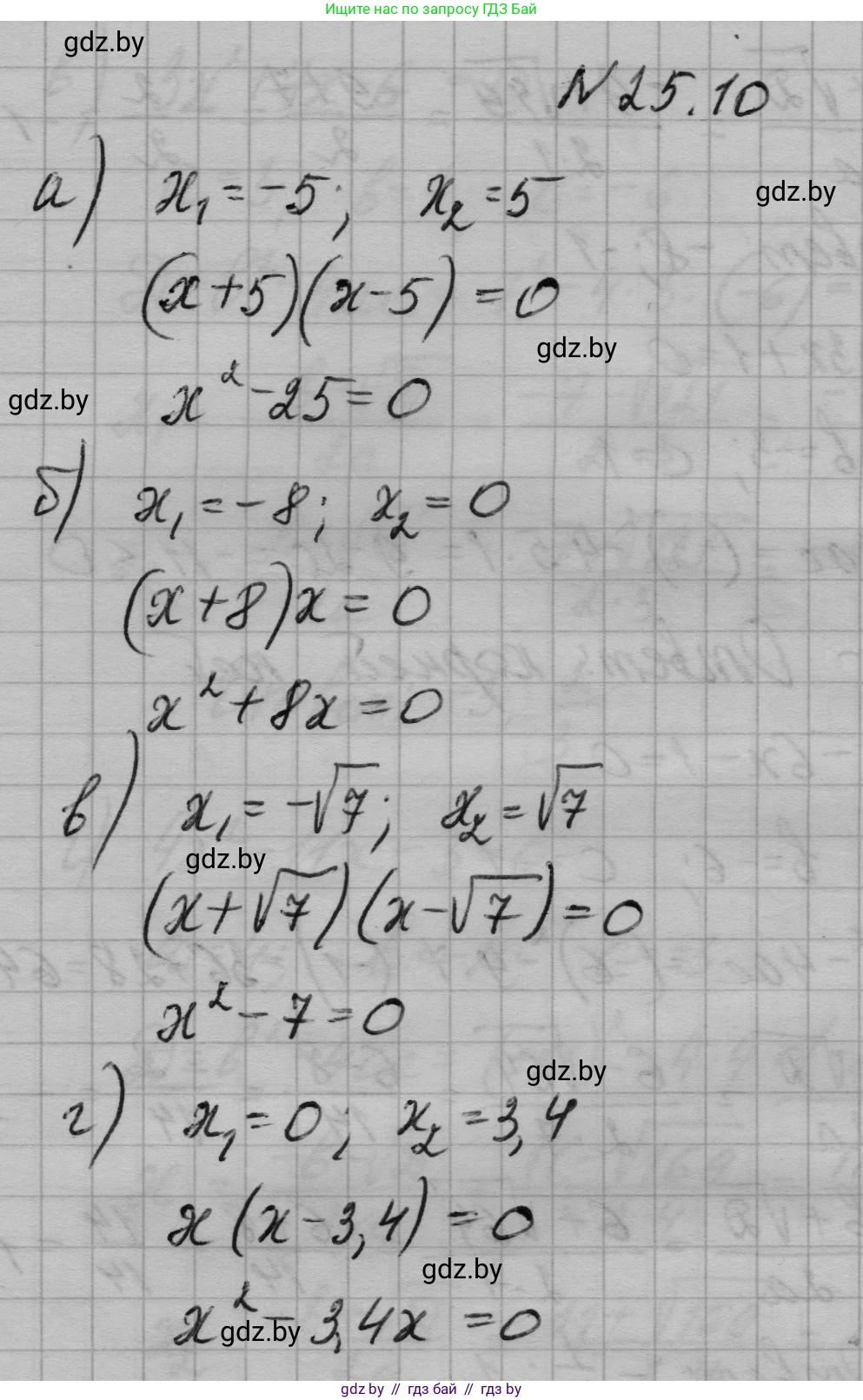
а) Корни: $x_1 = -5$ и $x_2 = 5$.

1. Найдём сумму корней: $x_1 + x_2 = -5 + 5 = 0$.

2. Найдём произведение корней: $x_1 \cdot x_2 = (-5) \cdot 5 = -25$.

3. Подставим полученные значения в формулу:

$x^2 - (0) \cdot x + (-25) = 0$

Упростив, получаем уравнение: $x^2 - 25 = 0$.

Ответ: $x^2 - 25 = 0$.

б) Корни: $x_1 = -8$ и $x_2 = 0$.

1. Найдём сумму корней: $x_1 + x_2 = -8 + 0 = -8$.

2. Найдём произведение корней: $x_1 \cdot x_2 = (-8) \cdot 0 = 0$.

3. Подставим полученные значения в формулу:

$x^2 - (-8) \cdot x + 0 = 0$

Упростив, получаем уравнение: $x^2 + 8x = 0$.

Ответ: $x^2 + 8x = 0$.

в) Корни: $x_1 = -\sqrt{7}$ и $x_2 = \sqrt{7}$.

1. Найдём сумму корней: $x_1 + x_2 = -\sqrt{7} + \sqrt{7} = 0$.

2. Найдём произведение корней: $x_1 \cdot x_2 = (-\sqrt{7}) \cdot (\sqrt{7}) = -(\sqrt{7})^2 = -7$.

3. Подставим полученные значения в формулу:

$x^2 - (0) \cdot x + (-7) = 0$

Упростив, получаем уравнение: $x^2 - 7 = 0$.

Ответ: $x^2 - 7 = 0$.

г) Корни: $x_1 = 0$ и $x_2 = 3,4$.

1. Найдём сумму корней: $x_1 + x_2 = 0 + 3,4 = 3,4$.

2. Найдём произведение корней: $x_1 \cdot x_2 = 0 \cdot 3,4 = 0$.

3. Подставим полученные значения в формулу:

$x^2 - (3,4) \cdot x + 0 = 0$

Упростив, получаем уравнение: $x^2 - 3,4x = 0$.

Примечание: данное уравнение можно привести к виду с целыми коэффициентами, умножив обе части на 10 и разделив на 2, что даст $5x^2 - 17x = 0$. Оба варианта являются верными.

Ответ: $x^2 - 3,4x = 0$.

Помогло решение? Оставьте отзыв в комментариях ниже.

Присоединяйтесь к Телеграм-группе @gdz_by_belarus

Присоединиться

Мы подготовили для вас ответ c подробным объяснением домашего задания по алгебре за 7-9 класс, для упражнения номер 25.10 расположенного на странице 120 к сборнику задач 2020 года издания для учащихся школ и гимназий.

Теперь на нашем сайте ГДЗ.ТОП вы всегда легко и бесплатно найдёте условие с правильным ответом на вопрос «Как решить ДЗ» и «Как сделать» задание по алгебре к упражнению №25.10 (с. 120), авторов: Арефьева (Ирина Глебовна), Пирютко (Ольга Николаевна), учебного пособия издательства Народная асвета.