Номер 25.5, страница 120 - гдз по алгебре 7-9 класс сборник задач Арефьева, Пирютко
Авторы: Арефьева И. Г., Пирютко О. Н.
Тип: Сборник задач
Издательство: Народная асвета
Год издания: 2020 - 2025
Цвет обложки: синий с графиками
Допущено Министерством образования Республики Беларусь
Популярные ГДЗ в 7 классе
8 класс. Параграф 25. Квадратные уравнения. Решение неполных квадратных уравнений. Формулы корней квадратного уравнения. Решение текстовых задач с помощью квадратных уравнений - номер 25.5, страница 120.
№25.5 (с. 120)
Условие. №25.5 (с. 120)
скриншот условия
25.5. Решите неполное квадратное уравнение:
а) $x^2 - 7x = 0;$
б) $3x^2 + 2x = 0;$
в) $-x^2 + 5x = 0;$
г) $0,1x^2 - 1,9x = 0;$
д) $x^2 - \sqrt{5}x = 0;$
е) $x^2 = -7x;$
ж) $7x^2 - x = 4x;$
з) $8x = x - x^2;$
и) $5x^2 = 2x^2 - x.$
Решение. №25.5 (с. 120)
Решение 2. №25.5 (с. 120)
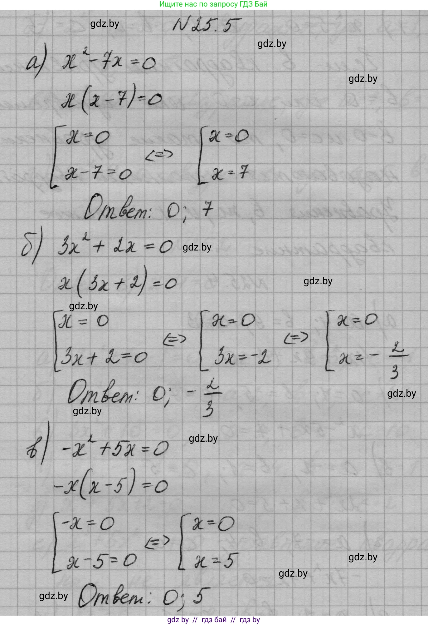
а) $x^2 - 7x = 0$
Это неполное квадратное уравнение, в котором свободный член $c=0$. Для решения таких уравнений выносим общий множитель $x$ за скобки.
$x(x - 7) = 0$
Произведение равно нулю тогда и только тогда, когда хотя бы один из множителей равен нулю. Следовательно, мы имеем два случая:
$x_1 = 0$
или
$x - 7 = 0 \implies x_2 = 7$
Ответ: 0; 7.
б) $3x^2 + 2x = 0$
Вынесем общий множитель $x$ за скобки:
$x(3x + 2) = 0$
Приравниваем каждый множитель к нулю:
$x_1 = 0$
или
$3x + 2 = 0 \implies 3x = -2 \implies x_2 = -\frac{2}{3}$
Ответ: 0; $-\frac{2}{3}$.
в) $-x^2 + 5x = 0$
Вынесем общий множитель $x$ за скобки:
$x(-x + 5) = 0$
Приравниваем каждый множитель к нулю:
$x_1 = 0$
или
$-x + 5 = 0 \implies -x = -5 \implies x_2 = 5$
Ответ: 0; 5.
г) $0,1x^2 - 1,9x = 0$
Вынесем общий множитель $x$ за скобки:
$x(0,1x - 1,9) = 0$
Приравниваем каждый множитель к нулю:
$x_1 = 0$
или
$0,1x - 1,9 = 0 \implies 0,1x = 1,9 \implies x_2 = \frac{1,9}{0,1} = 19$
Ответ: 0; 19.
д) $x^2 - \sqrt{5}x = 0$
Вынесем общий множитель $x$ за скобки:
$x(x - \sqrt{5}) = 0$
Приравниваем каждый множитель к нулю:
$x_1 = 0$
или
$x - \sqrt{5} = 0 \implies x_2 = \sqrt{5}$
Ответ: 0; $\sqrt{5}$.
е) $x^2 = -7x$
Сначала перенесем все члены уравнения в левую часть, чтобы привести его к стандартному виду $ax^2+bx=0$:
$x^2 + 7x = 0$
Теперь вынесем $x$ за скобки:
$x(x + 7) = 0$
Приравниваем каждый множитель к нулю:
$x_1 = 0$
или
$x + 7 = 0 \implies x_2 = -7$
Ответ: 0; -7.
ж) $7x^2 - x = 4x$
Перенесем все члены в левую часть и приведем подобные слагаемые:
$7x^2 - x - 4x = 0$
$7x^2 - 5x = 0$
Вынесем $x$ за скобки:
$x(7x - 5) = 0$
Приравниваем каждый множитель к нулю:
$x_1 = 0$
или
$7x - 5 = 0 \implies 7x = 5 \implies x_2 = \frac{5}{7}$
Ответ: 0; $\frac{5}{7}$.
з) $8x = x - x^2$
Перенесем все члены в левую часть и приведем подобные слагаемые:
$x^2 + 8x - x = 0$
$x^2 + 7x = 0$
Вынесем $x$ за скобки:
$x(x + 7) = 0$
Приравниваем каждый множитель к нулю:
$x_1 = 0$
или
$x + 7 = 0 \implies x_2 = -7$
Ответ: 0; -7.
и) $5x^2 = 2x^2 - x$
Перенесем все члены в левую часть и приведем подобные слагаемые:
$5x^2 - 2x^2 + x = 0$
$3x^2 + x = 0$
Вынесем $x$ за скобки:
$x(3x + 1) = 0$
Приравниваем каждый множитель к нулю:
$x_1 = 0$
или
$3x + 1 = 0 \implies 3x = -1 \implies x_2 = -\frac{1}{3}$
Ответ: 0; $-\frac{1}{3}$.
Другие задания:
Помогло решение? Оставьте отзыв в комментариях ниже.
Присоединяйтесь к Телеграм-группе @gdz_by_belarus
ПрисоединитьсяМы подготовили для вас ответ c подробным объяснением домашего задания по алгебре за 7-9 класс, для упражнения номер 25.5 расположенного на странице 120 к сборнику задач 2020 года издания для учащихся школ и гимназий.
Теперь на нашем сайте ГДЗ.ТОП вы всегда легко и бесплатно найдёте условие с правильным ответом на вопрос «Как решить ДЗ» и «Как сделать» задание по алгебре к упражнению №25.5 (с. 120), авторов: Арефьева (Ирина Глебовна), Пирютко (Ольга Николаевна), учебного пособия издательства Народная асвета.