Номер 24.34, страница 118 - гдз по алгебре 7-9 класс сборник задач Арефьева, Пирютко

Алгебра, 7-9 класс Сборник задач, авторы: Арефьева Ирина Глебовна, Пирютко Ольга Николаевна, издательство Народная асвета, Минск, 2020

Авторы: Арефьева И. Г., Пирютко О. Н.

Тип: Сборник задач

Издательство: Народная асвета

Год издания: 2020 - 2025

Цвет обложки: синий с графиками

Допущено Министерством образования Республики Беларусь

Популярные ГДЗ в 7 классе

8 класс. Параграф 24. Системы и совокупности линейных неравенств с одной переменной. Решение двойных неравенств. Числовые промежутки - номер 24.34, страница 118.

№24.34 (с. 118)
Условие. №24.34 (с. 118)
скриншот условия
Алгебра, 7-9 класс Сборник задач, авторы: Арефьева Ирина Глебовна, Пирютко Ольга Николаевна, издательство Народная асвета, Минск, 2020, страница 118, номер 24.34, Условие

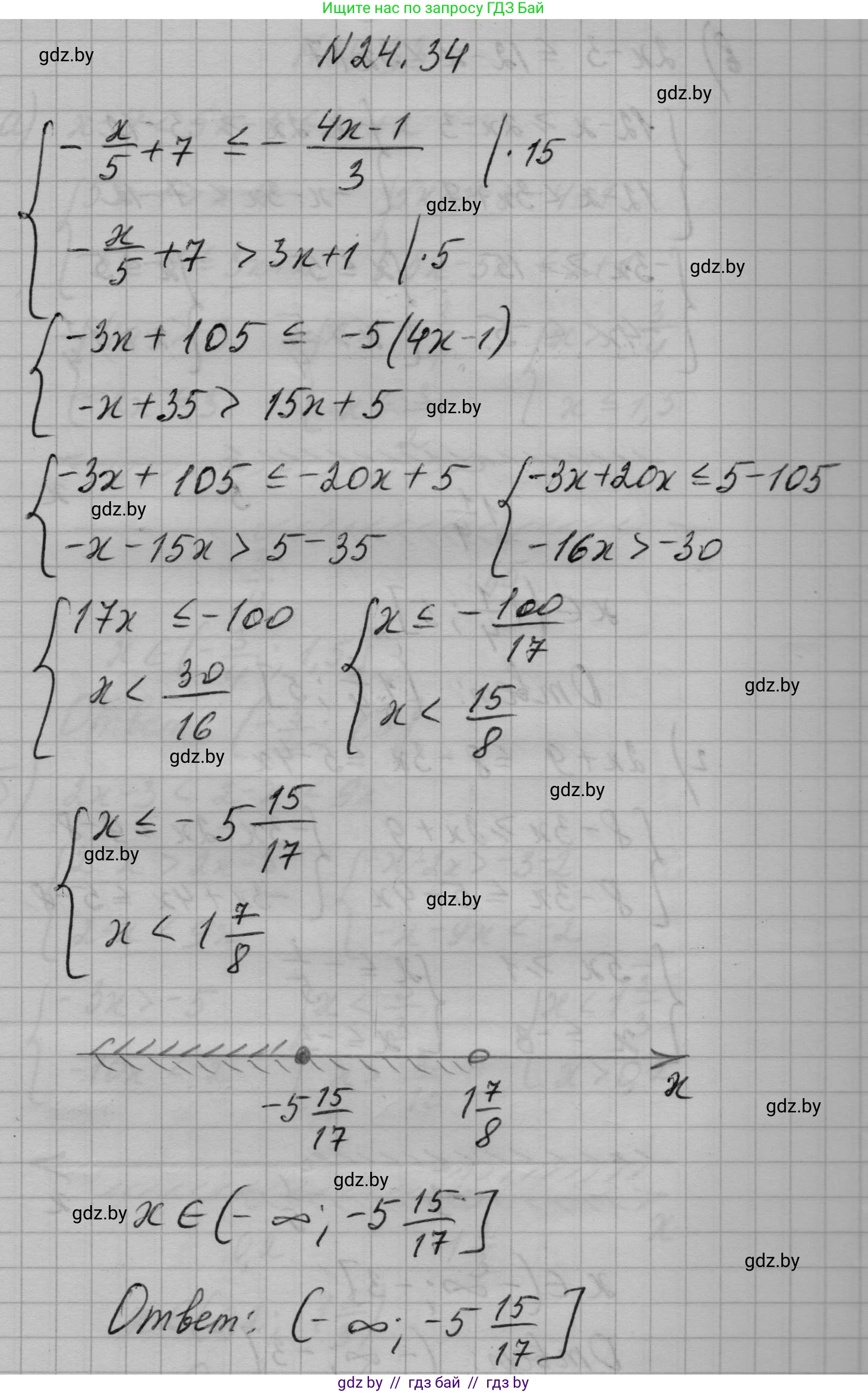
24.34. Найдите все значения аргумента, при которых график функции $y = -\frac{x}{5} + 7$ расположен не выше графика функции $y = -\frac{4x - 1}{3}$, но выше графика функции $y = 3x + 1$.

Решение. №24.34 (с. 118)
Алгебра, 7-9 класс Сборник задач, авторы: Арефьева Ирина Глебовна, Пирютко Ольга Николаевна, издательство Народная асвета, Минск, 2020, страница 118, номер 24.34, Решение
Решение 2. №24.34 (с. 118)

Условие задачи можно представить в виде системы двух линейных неравенств.

1. "График функции $y = -\frac{x}{5} + 7$ расположен не выше графика функции $y = -\frac{4x-1}{3}$". Это означает, что значение первой функции меньше или равно значению второй:

$-\frac{x}{5} + 7 \le -\frac{4x-1}{3}$

2. "...но выше графика функции $y = 3x + 1$". Это означает, что значение первой функции строго больше значения третьей:

$-\frac{x}{5} + 7 > 3x + 1$

Таким образом, необходимо найти все значения $x$, удовлетворяющие системе:

$ \begin{cases} -\frac{x}{5} + 7 \le -\frac{4x-1}{3} \\ -\frac{x}{5} + 7 > 3x + 1 \end{cases} $

Решим каждое неравенство по отдельности.

Решение первого неравенства:

$-\frac{x}{5} + 7 \le -\frac{4x-1}{3}$

Умножим обе части неравенства на наименьшее общее кратное знаменателей 5 и 3, то есть на 15, чтобы избавиться от дробей. Знак неравенства при этом не меняется.

$15 \cdot \left(-\frac{x}{5} + 7\right) \le 15 \cdot \left(-\frac{4x-1}{3}\right)$

$-3x + 105 \le -5(4x-1)$

$-3x + 105 \le -20x + 5$

Перенесём слагаемые, содержащие $x$, в левую часть, а свободные члены — в правую:

$20x - 3x \le 5 - 105$

$17x \le -100$

$x \le -\frac{100}{17}$

Решение второго неравенства:

$-\frac{x}{5} + 7 > 3x + 1$

Перенесём слагаемые с $x$ в правую часть, а свободные члены — в левую:

$7 - 1 > 3x + \frac{x}{5}$

$6 > \frac{15x}{5} + \frac{x}{5}$

$6 > \frac{16x}{5}$

Умножим обе части на 5:

$30 > 16x$

Разделим на 16:

$\frac{30}{16} > x$

Сократим дробь:

$x < \frac{15}{8}$

Нахождение решения системы:

Мы получили два условия для $x$: $x \le -\frac{100}{17}$ и $x < \frac{15}{8}$.

Для нахождения итогового решения нужно найти пересечение этих двух множеств. Сравним граничные значения:

$-\frac{100}{17} = -5\frac{15}{17}$

$\frac{15}{8} = 1\frac{7}{8}$

Поскольку $-5\frac{15}{17} < 1\frac{7}{8}$, то условие $x \le -\frac{100}{17}$ является более строгим. Любое число, которое меньше или равно $-\frac{100}{17}$, автоматически будет меньше $\frac{15}{8}$.

Следовательно, решением системы является $x \le -\frac{100}{17}$.

Ответ: $x \in (-\infty; -\frac{100}{17}]$

Помогло решение? Оставьте отзыв в комментариях ниже.

Присоединяйтесь к Телеграм-группе @gdz_by_belarus

Присоединиться

Мы подготовили для вас ответ c подробным объяснением домашего задания по алгебре за 7-9 класс, для упражнения номер 24.34 расположенного на странице 118 к сборнику задач 2020 года издания для учащихся школ и гимназий.

Теперь на нашем сайте ГДЗ.ТОП вы всегда легко и бесплатно найдёте условие с правильным ответом на вопрос «Как решить ДЗ» и «Как сделать» задание по алгебре к упражнению №24.34 (с. 118), авторов: Арефьева (Ирина Глебовна), Пирютко (Ольга Николаевна), учебного пособия издательства Народная асвета.