Номер 24.27, страница 118 - гдз по алгебре 7-9 класс сборник задач Арефьева, Пирютко

Алгебра, 7-9 класс Сборник задач, авторы: Арефьева Ирина Глебовна, Пирютко Ольга Николаевна, издательство Народная асвета, Минск, 2020

Авторы: Арефьева И. Г., Пирютко О. Н.

Тип: Сборник задач

Издательство: Народная асвета

Год издания: 2020 - 2025

Цвет обложки: синий с графиками

Допущено Министерством образования Республики Беларусь

Популярные ГДЗ в 7 классе

8 класс. Параграф 24. Системы и совокупности линейных неравенств с одной переменной. Решение двойных неравенств. Числовые промежутки - номер 24.27, страница 118.

№24.27 (с. 118)
Условие. №24.27 (с. 118)
скриншот условия
Алгебра, 7-9 класс Сборник задач, авторы: Арефьева Ирина Глебовна, Пирютко Ольга Николаевна, издательство Народная асвета, Минск, 2020, страница 118, номер 24.27, Условие

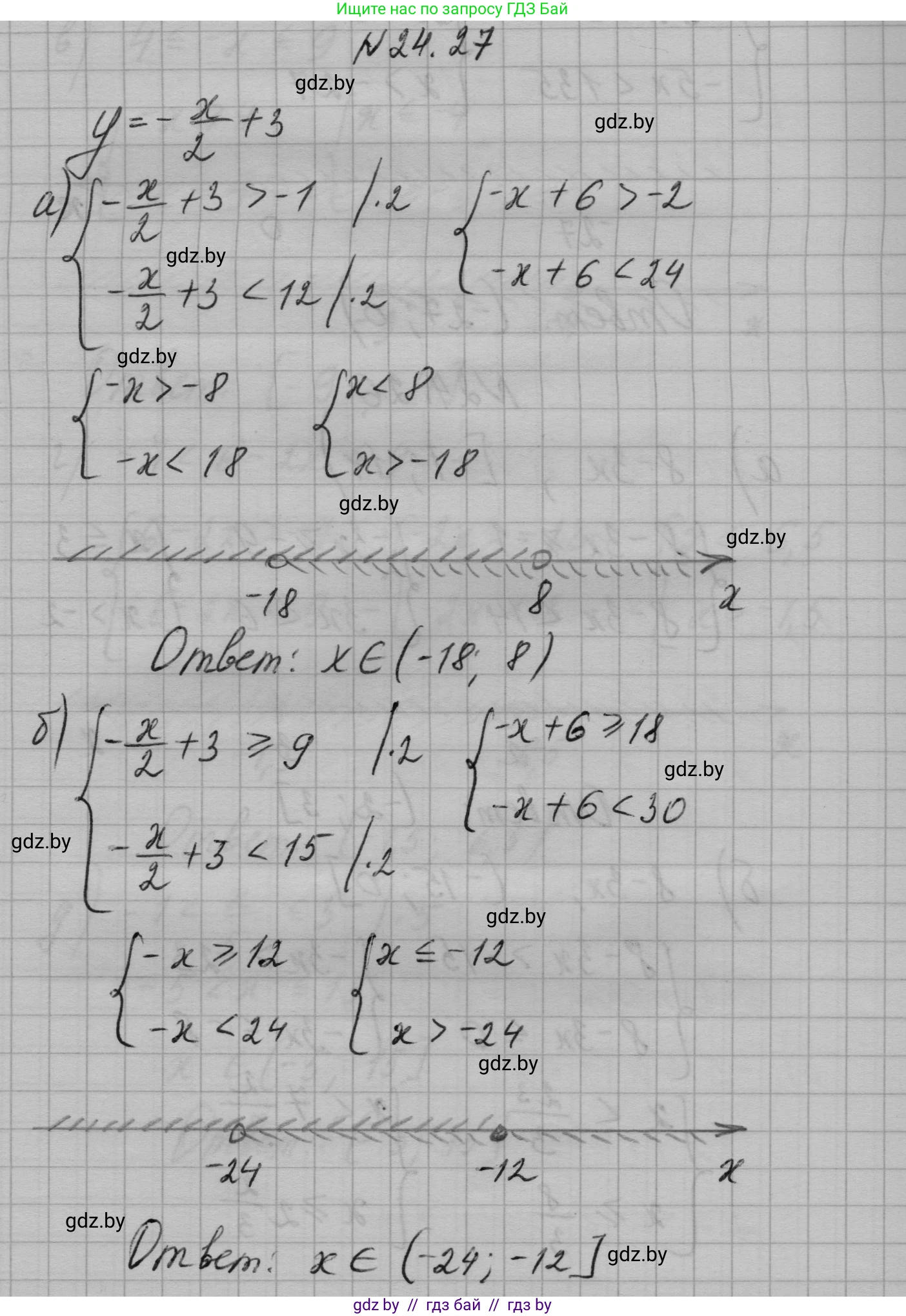
24.27. Найдите, при каких значениях аргумента функция

$y = -\frac{x}{2} + 3$ принимает значения:

а) больше -1, но меньше 12;

б) не меньше 9, но меньше 15.

Решение. №24.27 (с. 118)
Алгебра, 7-9 класс Сборник задач, авторы: Арефьева Ирина Глебовна, Пирютко Ольга Николаевна, издательство Народная асвета, Минск, 2020, страница 118, номер 24.27, Решение
Решение 2. №24.27 (с. 118)

а) Нам нужно найти значения аргумента $x$, для которых значения функции $y$ больше $-1$, но меньше $12$. Это условие можно записать в виде двойного неравенства: $-1 < y < 12$.
Подставим в него заданное выражение для функции $y = -\frac{x}{2} + 3$:
$-1 < -\frac{x}{2} + 3 < 12$
Теперь решим это неравенство относительно $x$. Сначала вычтем $3$ из всех трех частей неравенства:
$-1 - 3 < -\frac{x}{2} + 3 - 3 < 12 - 3$
$-4 < -\frac{x}{2} < 9$
Далее, умножим все части на $-2$. При умножении неравенства на отрицательное число знаки неравенства необходимо поменять на противоположные:
$-4 \cdot (-2) > -\frac{x}{2} \cdot (-2) > 9 \cdot (-2)$
$8 > x > -18$
Запишем результат в стандартном виде, от меньшего числа к большему:
$-18 < x < 8$
Ответ: $-18 < x < 8$.

б) Нам нужно найти значения аргумента $x$, для которых значения функции $y$ не меньше $9$, но меньше $15$. Условие "не меньше 9" означает $y \ge 9$, а "меньше 15" означает $y < 15$. Запишем это в виде двойного неравенства: $9 \le y < 15$.
Подставим выражение для функции $y = -\frac{x}{2} + 3$:
$9 \le -\frac{x}{2} + 3 < 15$
Решим это неравенство. Сначала вычтем $3$ из всех частей:
$9 - 3 \le -\frac{x}{2} + 3 - 3 < 15 - 3$
$6 \le -\frac{x}{2} < 12$
Теперь умножим все части на $-2$, не забывая изменить знаки неравенства на противоположные:
$6 \cdot (-2) \ge -\frac{x}{2} \cdot (-2) > 12 \cdot (-2)$
$-12 \ge x > -24$
Запишем результат в стандартном виде:
$-24 < x \le -12$
Ответ: $-24 < x \le -12$.

Помогло решение? Оставьте отзыв в комментариях ниже.

Присоединяйтесь к Телеграм-группе @gdz_by_belarus

Присоединиться

Мы подготовили для вас ответ c подробным объяснением домашего задания по алгебре за 7-9 класс, для упражнения номер 24.27 расположенного на странице 118 к сборнику задач 2020 года издания для учащихся школ и гимназий.

Теперь на нашем сайте ГДЗ.ТОП вы всегда легко и бесплатно найдёте условие с правильным ответом на вопрос «Как решить ДЗ» и «Как сделать» задание по алгебре к упражнению №24.27 (с. 118), авторов: Арефьева (Ирина Глебовна), Пирютко (Ольга Николаевна), учебного пособия издательства Народная асвета.