Номер 24.25, страница 117 - гдз по алгебре 7-9 класс сборник задач Арефьева, Пирютко

Алгебра, 7-9 класс Сборник задач, авторы: Арефьева Ирина Глебовна, Пирютко Ольга Николаевна, издательство Народная асвета, Минск, 2020

Авторы: Арефьева И. Г., Пирютко О. Н.

Тип: Сборник задач

Издательство: Народная асвета

Год издания: 2020 - 2025

Цвет обложки: синий с графиками

Допущено Министерством образования Республики Беларусь

Популярные ГДЗ в 7 классе

8 класс. Параграф 24. Системы и совокупности линейных неравенств с одной переменной. Решение двойных неравенств. Числовые промежутки - номер 24.25, страница 117.

№24.25 (с. 117)
Условие. №24.25 (с. 117)
скриншот условия
Алгебра, 7-9 класс Сборник задач, авторы: Арефьева Ирина Глебовна, Пирютко Ольга Николаевна, издательство Народная асвета, Минск, 2020, страница 117, номер 24.25, Условие

24.25. Решите двойное неравенство:

a) $-6 < 2x \le 7;$

б) $-5 \le x + 1 < 8;$

в) $4 \le -x \le 9;$

г) $-7 < 6 - 2x < 9;$

д) $-1 < \frac{x}{5} \le 3;$

е) $0 < \frac{-5x}{9} < 15.$

Решение. №24.25 (с. 117)
Алгебра, 7-9 класс Сборник задач, авторы: Арефьева Ирина Глебовна, Пирютко Ольга Николаевна, издательство Народная асвета, Минск, 2020, страница 117, номер 24.25, Решение Алгебра, 7-9 класс Сборник задач, авторы: Арефьева Ирина Глебовна, Пирютко Ольга Николаевна, издательство Народная асвета, Минск, 2020, страница 117, номер 24.25, Решение (продолжение 2)
Решение 2. №24.25 (с. 117)

а) Дано двойное неравенство $-6 < 2x \le 7$. Чтобы найти $x$, нужно изолировать его в центральной части неравенства. Для этого разделим все три части неравенства на 2. Так как мы делим на положительное число, знаки неравенства сохраняются.

$\frac{-6}{2} < \frac{2x}{2} \le \frac{7}{2}$

Выполняем деление:

$-3 < x \le 3,5$

Решение можно записать в виде числового промежутка: $(-3; 3,5]$.

Ответ: $x \in (-3; 3,5]$.

б) Дано двойное неравенство $-5 \le x + 1 < 8$. Чтобы найти $x$, вычтем 1 из всех трёх частей неравенства. Это действие не меняет знаки неравенства.

$-5 - 1 \le x + 1 - 1 < 8 - 1$

Выполняем вычитание:

$-6 \le x < 7$

Решение в виде числового промежутка: $[-6; 7)$.

Ответ: $x \in [-6; 7)$.

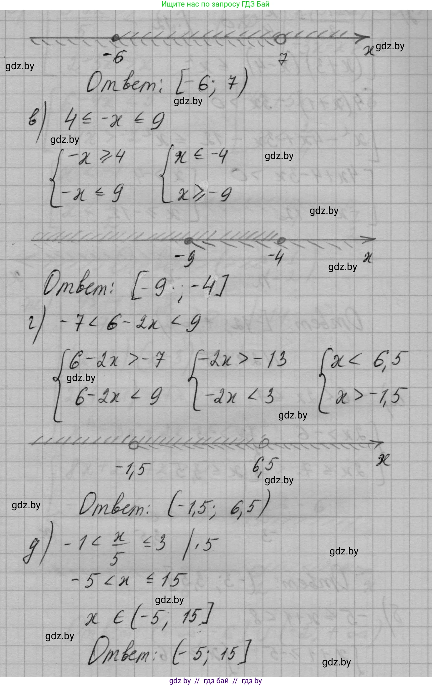
в) Дано двойное неравенство $4 \le -x \le 9$. Чтобы найти $x$, нужно умножить все три части неравенства на -1. При умножении на отрицательное число знаки неравенства меняются на противоположные.

$4 \cdot (-1) \ge -x \cdot (-1) \ge 9 \cdot (-1)$

Выполняем умножение:

$-4 \ge x \ge -9$

Для удобства записи перепишем неравенство, расположив числа в порядке возрастания (слева направо):

$-9 \le x \le -4$

Решение в виде числового промежутка: $[-9; -4]$.

Ответ: $x \in [-9; -4]$.

г) Дано двойное неравенство $-7 < 6 - 2x < 9$. Сначала вычтем 6 из всех частей неравенства.

$-7 - 6 < 6 - 2x - 6 < 9 - 6$

$-13 < -2x < 3$

Теперь разделим все части неравенства на -2. При делении на отрицательное число знаки неравенства меняются на противоположные.

$\frac{-13}{-2} > \frac{-2x}{-2} > \frac{3}{-2}$

$6,5 > x > -1,5$

Перепишем неравенство в стандартном виде (от меньшего к большему):

$-1,5 < x < 6,5$

Решение в виде числового промежутка: $(-1,5; 6,5)$.

Ответ: $x \in (-1,5; 6,5)$.

д) Дано двойное неравенство $-1 < \frac{x}{5} \le 3$. Чтобы найти $x$, умножим все три части неравенства на 5. Так как 5 - положительное число, знаки неравенства сохраняются.

$-1 \cdot 5 < \frac{x}{5} \cdot 5 \le 3 \cdot 5$

$-5 < x \le 15$

Решение в виде числового промежутка: $(-5; 15]$.

Ответ: $x \in (-5; 15]$.

е) Дано двойное неравенство $0 < \frac{-5x}{9} < 15$. Сначала умножим все части неравенства на 9, чтобы избавиться от знаменателя. Знак неравенства не изменится.

$0 \cdot 9 < \frac{-5x}{9} \cdot 9 < 15 \cdot 9$

$0 < -5x < 135$

Теперь разделим все части на -5. При делении на отрицательное число знаки неравенства меняются на противоположные.

$\frac{0}{-5} > \frac{-5x}{-5} > \frac{135}{-5}$

$0 > x > -27$

Перепишем неравенство в стандартном виде (от меньшего к большему):

$-27 < x < 0$

Решение в виде числового промежутка: $(-27; 0)$.

Ответ: $x \in (-27; 0)$.

Помогло решение? Оставьте отзыв в комментариях ниже.

Присоединяйтесь к Телеграм-группе @gdz_by_belarus

Присоединиться

Мы подготовили для вас ответ c подробным объяснением домашего задания по алгебре за 7-9 класс, для упражнения номер 24.25 расположенного на странице 117 к сборнику задач 2020 года издания для учащихся школ и гимназий.

Теперь на нашем сайте ГДЗ.ТОП вы всегда легко и бесплатно найдёте условие с правильным ответом на вопрос «Как решить ДЗ» и «Как сделать» задание по алгебре к упражнению №24.25 (с. 117), авторов: Арефьева (Ирина Глебовна), Пирютко (Ольга Николаевна), учебного пособия издательства Народная асвета.