Номер 24.26, страница 118 - гдз по алгебре 7-9 класс сборник задач Арефьева, Пирютко

Алгебра, 7-9 класс Сборник задач, авторы: Арефьева Ирина Глебовна, Пирютко Ольга Николаевна, издательство Народная асвета, Минск, 2020

Авторы: Арефьева И. Г., Пирютко О. Н.

Тип: Сборник задач

Издательство: Народная асвета

Год издания: 2020 - 2025

Цвет обложки: синий с графиками

Допущено Министерством образования Республики Беларусь

Популярные ГДЗ в 7 классе

8 класс. Параграф 24. Системы и совокупности линейных неравенств с одной переменной. Решение двойных неравенств. Числовые промежутки - номер 24.26, страница 118.

№24.26 (с. 118)
Условие. №24.26 (с. 118)
скриншот условия
Алгебра, 7-9 класс Сборник задач, авторы: Арефьева Ирина Глебовна, Пирютко Ольга Николаевна, издательство Народная асвета, Минск, 2020, страница 118, номер 24.26, Условие

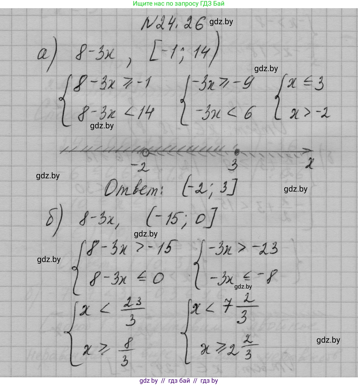
24.26. Найдите, при каких значениях переменной значения двучлена $8 - 3x$ принадлежат промежутку:

а) $[-1; 14)$;

б) $(-15; 0]$.

Решение. №24.26 (с. 118)
Алгебра, 7-9 класс Сборник задач, авторы: Арефьева Ирина Глебовна, Пирютко Ольга Николаевна, издательство Народная асвета, Минск, 2020, страница 118, номер 24.26, Решение Алгебра, 7-9 класс Сборник задач, авторы: Арефьева Ирина Глебовна, Пирютко Ольга Николаевна, издательство Народная асвета, Минск, 2020, страница 118, номер 24.26, Решение (продолжение 2)
Решение 2. №24.26 (с. 118)

а) Значение двучлена $8 - 3x$ должно принадлежать промежутку $[-1; 14]$. Это можно записать в виде двойного неравенства:

$-1 \le 8 - 3x \le 14$

Для решения этого неравенства сначала вычтем 8 из всех его частей:

$-1 - 8 \le 8 - 3x - 8 \le 14 - 8$

$-9 \le -3x \le 6$

Теперь разделим все части неравенства на -3. При делении на отрицательное число знаки неравенства меняются на противоположные:

$\frac{-9}{-3} \ge \frac{-3x}{-3} \ge \frac{6}{-3}$

$3 \ge x \ge -2$

Запишем полученный промежуток в стандартном виде (от меньшего числа к большему):

$-2 \le x \le 3$

Следовательно, переменная $x$ принадлежит промежутку $[-2; 3]$.

Ответ: $x \in [-2; 3]$.

б) Значение двучлена $8 - 3x$ должно принадлежать промежутку $(-15; 0]$. Запишем это в виде двойного неравенства:

$-15 < 8 - 3x \le 0$

Вычтем 8 из всех частей неравенства:

$-15 - 8 < 8 - 3x - 8 \le 0 - 8$

$-23 < -3x \le -8$

Разделим все части неравенства на -3, при этом поменяв знаки неравенства на противоположные:

$\frac{-23}{-3} > \frac{-3x}{-3} \ge \frac{-8}{-3}$

$\frac{23}{3} > x \ge \frac{8}{3}$

Запишем полученный промежуток в стандартном виде:

$\frac{8}{3} \le x < \frac{23}{3}$

Следовательно, переменная $x$ принадлежит промежутку $[\frac{8}{3}; \frac{23}{3})$.

Ответ: $x \in [\frac{8}{3}; \frac{23}{3})$.

Помогло решение? Оставьте отзыв в комментариях ниже.

Присоединяйтесь к Телеграм-группе @gdz_by_belarus

Присоединиться

Мы подготовили для вас ответ c подробным объяснением домашего задания по алгебре за 7-9 класс, для упражнения номер 24.26 расположенного на странице 118 к сборнику задач 2020 года издания для учащихся школ и гимназий.

Теперь на нашем сайте ГДЗ.ТОП вы всегда легко и бесплатно найдёте условие с правильным ответом на вопрос «Как решить ДЗ» и «Как сделать» задание по алгебре к упражнению №24.26 (с. 118), авторов: Арефьева (Ирина Глебовна), Пирютко (Ольга Николаевна), учебного пособия издательства Народная асвета.