Номер 28.7, страница 130 - гдз по алгебре 7-9 класс сборник задач Арефьева, Пирютко

Алгебра, 7-9 класс Сборник задач, авторы: Арефьева Ирина Глебовна, Пирютко Ольга Николаевна, издательство Народная асвета, Минск, 2020

Авторы: Арефьева И. Г., Пирютко О. Н.

Тип: Сборник задач

Издательство: Народная асвета

Год издания: 2020 - 2025

Цвет обложки: синий с графиками

Допущено Министерством образования Республики Беларусь

Популярные ГДЗ в 7 классе

8 класс. Параграф 28. Решение целых рациональных уравнений, сводящихся к квадратным уравнениям - номер 28.7, страница 130.

№28.7 (с. 130)
Условие. №28.7 (с. 130)
скриншот условия
Алгебра, 7-9 класс Сборник задач, авторы: Арефьева Ирина Глебовна, Пирютко Ольга Николаевна, издательство Народная асвета, Минск, 2020, страница 130, номер 28.7, Условие

28.7*. Решите уравнение:

a) $(x-3)(x-1)(x-5)(x-7) = -16;$

б) $(x-2)(x+1)(x+4)(x+7) = 19.$

Решение. №28.7 (с. 130)
Алгебра, 7-9 класс Сборник задач, авторы: Арефьева Ирина Глебовна, Пирютко Ольга Николаевна, издательство Народная асвета, Минск, 2020, страница 130, номер 28.7, Решение Алгебра, 7-9 класс Сборник задач, авторы: Арефьева Ирина Глебовна, Пирютко Ольга Николаевна, издательство Народная асвета, Минск, 2020, страница 130, номер 28.7, Решение (продолжение 2)
Решение 2. №28.7 (с. 130)

а) $(x-3)(x-1)(x-5)(x-7) = -16$

Это уравнение является уравнением четвертой степени. Для его решения сгруппируем множители таким образом, чтобы суммы свободных членов в парах скобок были равны. Заметим, что $(-3) + (-5) = -8$ и $(-1) + (-7) = -8$.

Перегруппируем множители в уравнении:

$((x-3)(x-5)) \cdot ((x-1)(x-7)) = -16$

Раскроем скобки в каждой паре:

$(x^2 - 5x - 3x + 15) \cdot (x^2 - 7x - x + 7) = -16$

$(x^2 - 8x + 15) \cdot (x^2 - 8x + 7) = -16$

Теперь можно ввести замену переменной. Пусть $t = x^2 - 8x$. Тогда уравнение примет вид:

$(t + 15)(t + 7) = -16$

Раскроем скобки и решим полученное квадратное уравнение относительно $t$:

$t^2 + 7t + 15t + 105 = -16$

$t^2 + 22t + 105 + 16 = 0$

$t^2 + 22t + 121 = 0$

Левая часть уравнения является полным квадратом:

$(t + 11)^2 = 0$

Отсюда находим значение $t$:

$t + 11 = 0 \Rightarrow t = -11$

Теперь выполним обратную замену, подставив найденное значение $t$ в выражение $t = x^2 - 8x$:

$x^2 - 8x = -11$

$x^2 - 8x + 11 = 0$

Решим это квадратное уравнение с помощью формулы корней через дискриминант $D = b^2 - 4ac$:

$D = (-8)^2 - 4 \cdot 1 \cdot 11 = 64 - 44 = 20$

Так как $D > 0$, уравнение имеет два действительных корня. Найдем их:

$x = \frac{-(-8) \pm \sqrt{20}}{2 \cdot 1} = \frac{8 \pm \sqrt{4 \cdot 5}}{2} = \frac{8 \pm 2\sqrt{5}}{2} = 4 \pm \sqrt{5}$

Таким образом, корни уравнения: $x_1 = 4 - \sqrt{5}$ и $x_2 = 4 + \sqrt{5}$.

Ответ: $4 - \sqrt{5}; 4 + \sqrt{5}$.

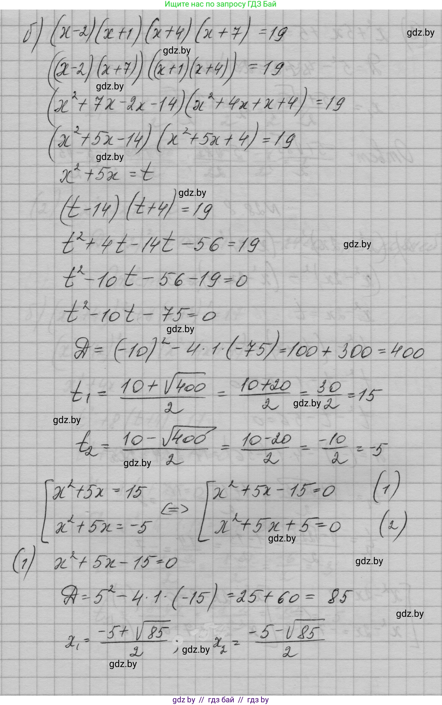
б) $(x-2)(x+1)(x+4)(x+7) = 19$

Как и в предыдущем случае, сгруппируем множители. Найдем пары с одинаковой суммой свободных членов: $(-2) + 7 = 5$ и $1 + 4 = 5$.

Перегруппируем множители:

$((x-2)(x+7)) \cdot ((x+1)(x+4)) = 19$

Раскроем скобки в каждой группе:

$(x^2 + 7x - 2x - 14) \cdot (x^2 + 4x + x + 4) = 19$

$(x^2 + 5x - 14) \cdot (x^2 + 5x + 4) = 19$

Введем замену переменной. Пусть $t = x^2 + 5x$. Уравнение преобразуется к виду:

$(t - 14)(t + 4) = 19$

Раскроем скобки и решим уравнение для $t$:

$t^2 + 4t - 14t - 56 = 19$

$t^2 - 10t - 56 - 19 = 0$

$t^2 - 10t - 75 = 0$

Решим это квадратное уравнение. Воспользуемся теоремой Виета: произведение корней равно -75, а их сумма равна 10. Этим условиям удовлетворяют числа 15 и -5.

$t_1 = 15$, $t_2 = -5$.

Теперь выполним обратную замену для каждого из найденных значений $t$.

1) Если $t = 15$:

$x^2 + 5x = 15$

$x^2 + 5x - 15 = 0$

Найдем дискриминант: $D_1 = 5^2 - 4 \cdot 1 \cdot (-15) = 25 + 60 = 85$.

Корни: $x_{1,2} = \frac{-5 \pm \sqrt{85}}{2}$.

2) Если $t = -5$:

$x^2 + 5x = -5$

$x^2 + 5x + 5 = 0$

Найдем дискриминант: $D_2 = 5^2 - 4 \cdot 1 \cdot 5 = 25 - 20 = 5$.

Корни: $x_{3,4} = \frac{-5 \pm \sqrt{5}}{2}$.

Уравнение имеет четыре действительных корня.

Ответ: $\frac{-5 - \sqrt{85}}{2}; \frac{-5 + \sqrt{85}}{2}; \frac{-5 - \sqrt{5}}{2}; \frac{-5 + \sqrt{5}}{2}$.

Помогло решение? Оставьте отзыв в комментариях ниже.

Присоединяйтесь к Телеграм-группе @gdz_by_belarus

Присоединиться

Мы подготовили для вас ответ c подробным объяснением домашего задания по алгебре за 7-9 класс, для упражнения номер 28.7 расположенного на странице 130 к сборнику задач 2020 года издания для учащихся школ и гимназий.

Теперь на нашем сайте ГДЗ.ТОП вы всегда легко и бесплатно найдёте условие с правильным ответом на вопрос «Как решить ДЗ» и «Как сделать» задание по алгебре к упражнению №28.7 (с. 130), авторов: Арефьева (Ирина Глебовна), Пирютко (Ольга Николаевна), учебного пособия издательства Народная асвета.