Номер 28.12, страница 130 - гдз по алгебре 7-9 класс сборник задач Арефьева, Пирютко
Авторы: Арефьева И. Г., Пирютко О. Н.
Тип: Сборник задач
Издательство: Народная асвета
Год издания: 2020 - 2025
Цвет обложки: синий с графиками
Допущено Министерством образования Республики Беларусь
Популярные ГДЗ в 7 классе
8 класс. Параграф 28. Решение целых рациональных уравнений, сводящихся к квадратным уравнениям - номер 28.12, страница 130.
№28.12 (с. 130)
Условие. №28.12 (с. 130)
скриншот условия
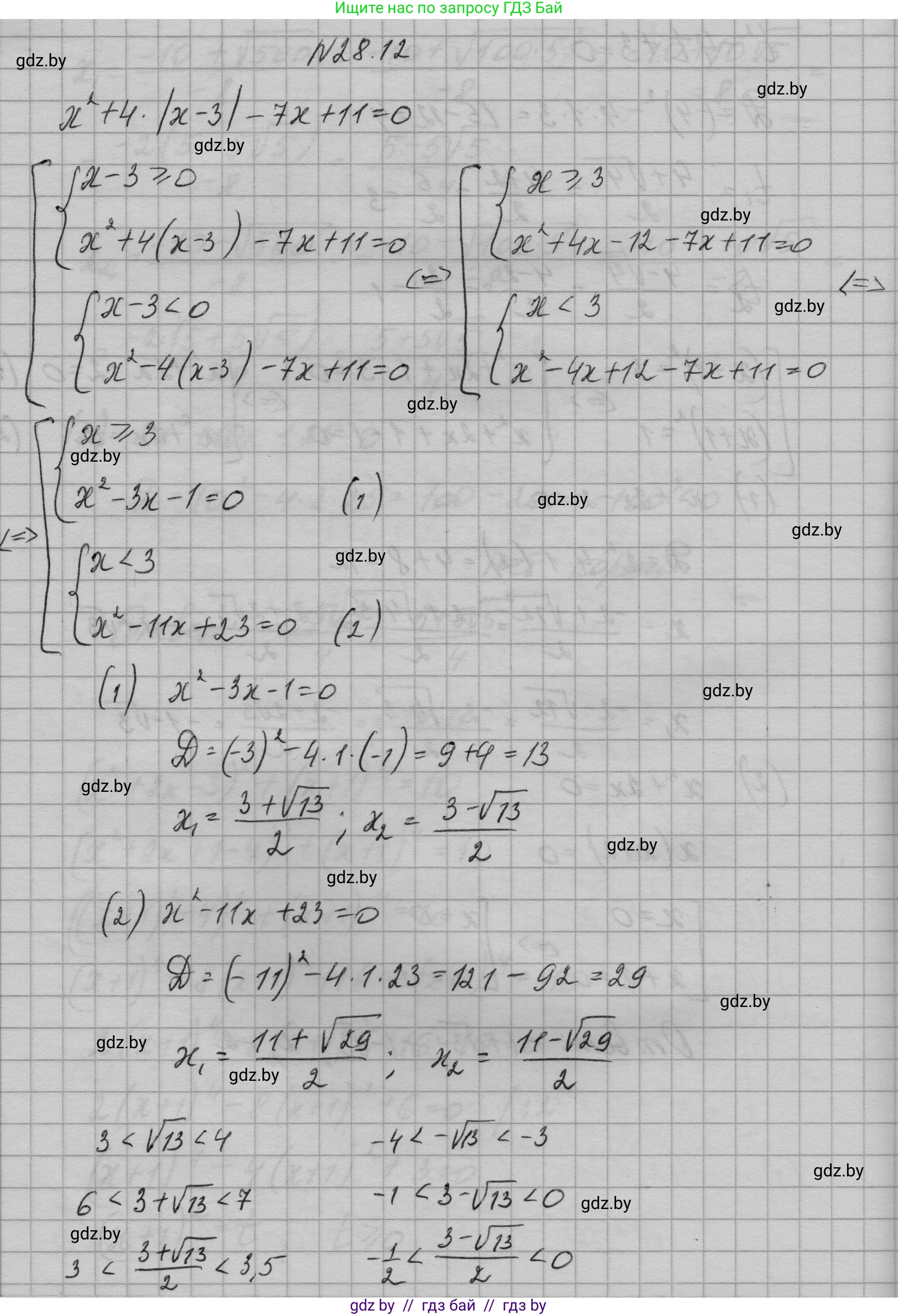
28.12*. Найдите корни уравнения $x^2 + 4 \cdot |x - 3| - 7x + 11 = 0$.
Решение. №28.12 (с. 130)
Решение 2. №28.12 (с. 130)
Для решения данного уравнения, содержащего модуль, необходимо рассмотреть два случая, в зависимости от знака выражения под модулем $x - 3$.
1. Случай, когда $x - 3 \ge 0$, то есть $x \ge 3$.
В этом случае модуль раскрывается со знаком плюс: $|x - 3| = x - 3$. Подставим это выражение в исходное уравнение:
$x^2 + 4(x - 3) - 7x + 11 = 0$
Раскроем скобки и приведем подобные слагаемые:
$x^2 + 4x - 12 - 7x + 11 = 0$
$x^2 - 3x - 1 = 0$
Получили квадратное уравнение. Найдем его корни с помощью дискриминанта.
$D = b^2 - 4ac = (-3)^2 - 4 \cdot 1 \cdot (-1) = 9 + 4 = 13$
Корни уравнения: $x_{1,2} = \frac{-b \pm \sqrt{D}}{2a} = \frac{3 \pm \sqrt{13}}{2}$.
Таким образом, получаем два потенциальных корня: $x_1 = \frac{3 + \sqrt{13}}{2}$ и $x_2 = \frac{3 - \sqrt{13}}{2}$.
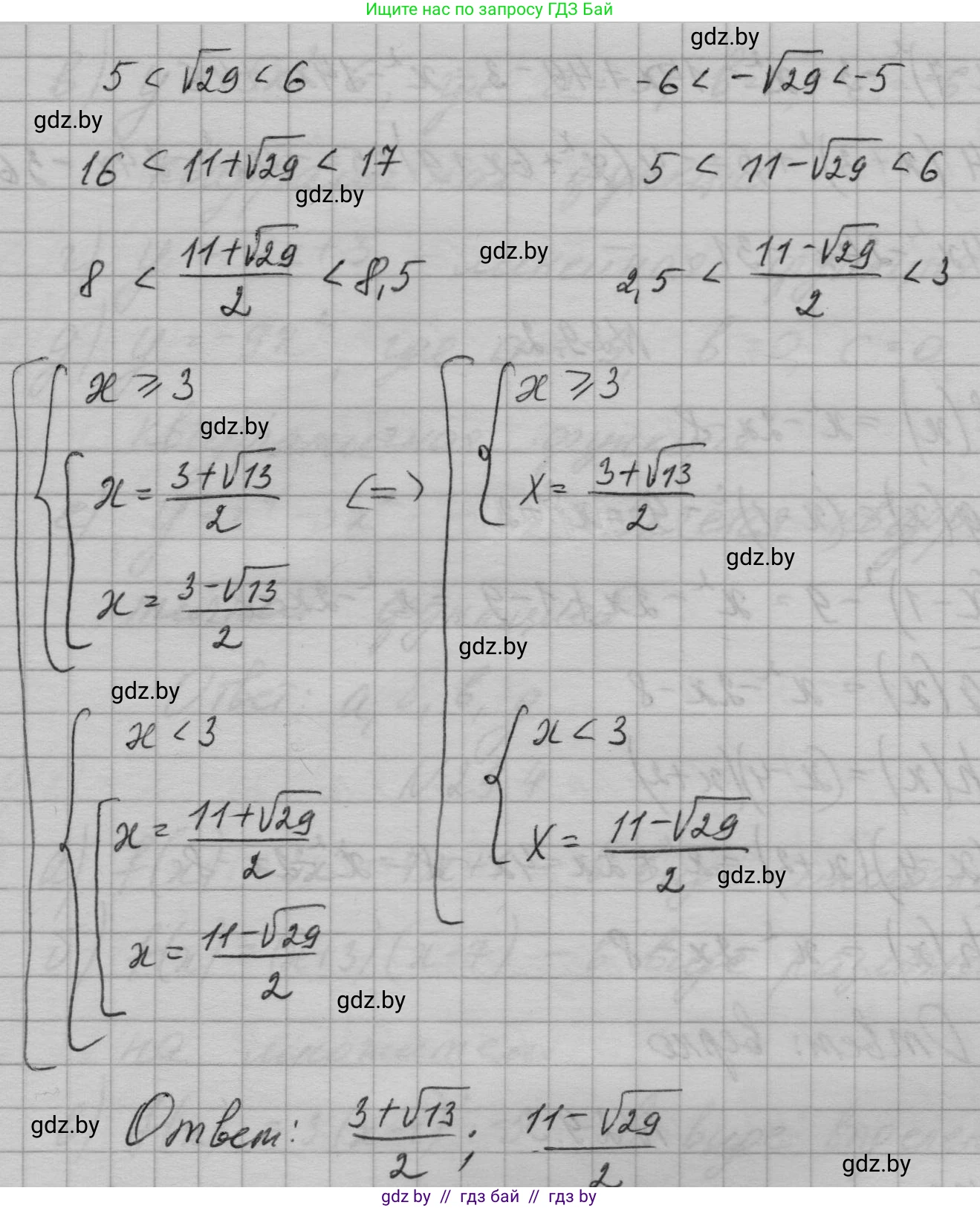
Теперь необходимо проверить, удовлетворяют ли эти корни условию $x \ge 3$.
Проверим корень $x_1 = \frac{3 + \sqrt{13}}{2}$. Сравним его с 3:
$\frac{3 + \sqrt{13}}{2} \ge 3 \iff 3 + \sqrt{13} \ge 6 \iff \sqrt{13} \ge 3 \iff 13 \ge 9$.
Неравенство верное, значит, корень $x_1 = \frac{3 + \sqrt{13}}{2}$ удовлетворяет условию.
Проверим корень $x_2 = \frac{3 - \sqrt{13}}{2}$. Сравним его с 3:
$\frac{3 - \sqrt{13}}{2} \ge 3 \iff 3 - \sqrt{13} \ge 6 \iff -\sqrt{13} \ge 3$.
Неравенство неверное, так как слева отрицательное число, а справа положительное. Значит, корень $x_2$ не удовлетворяет условию.
2. Случай, когда $x - 3 < 0$, то есть $x < 3$.
В этом случае модуль раскрывается со знаком минус: $|x - 3| = -(x - 3) = -x + 3$. Подставим это выражение в исходное уравнение:
$x^2 + 4(-x + 3) - 7x + 11 = 0$
Раскроем скобки и приведем подобные слагаемые:
$x^2 - 4x + 12 - 7x + 11 = 0$
$x^2 - 11x + 23 = 0$
Снова получили квадратное уравнение. Найдем его корни.
$D = b^2 - 4ac = (-11)^2 - 4 \cdot 1 \cdot 23 = 121 - 92 = 29$
Корни уравнения: $x_{3,4} = \frac{-b \pm \sqrt{D}}{2a} = \frac{11 \pm \sqrt{29}}{2}$.
Получаем два потенциальных корня: $x_3 = \frac{11 + \sqrt{29}}{2}$ и $x_4 = \frac{11 - \sqrt{29}}{2}$.
Проверим, удовлетворяют ли эти корни условию $x < 3$.
Проверим корень $x_3 = \frac{11 + \sqrt{29}}{2}$. Сравним его с 3:
$\frac{11 + \sqrt{29}}{2} < 3 \iff 11 + \sqrt{29} < 6 \iff \sqrt{29} < -5$.
Неравенство неверное. Значит, корень $x_3$ не удовлетворяет условию.
Проверим корень $x_4 = \frac{11 - \sqrt{29}}{2}$. Сравним его с 3:
$\frac{11 - \sqrt{29}}{2} < 3 \iff 11 - \sqrt{29} < 6 \iff 5 < \sqrt{29} \iff 25 < 29$.
Неравенство верное, значит, корень $x_4 = \frac{11 - \sqrt{29}}{2}$ удовлетворяет условию.
Объединив решения из двух случаев, получаем все корни исходного уравнения.
Ответ: $\frac{3 + \sqrt{13}}{2}; \frac{11 - \sqrt{29}}{2}$.
Другие задания:
Помогло решение? Оставьте отзыв в комментариях ниже.
Присоединяйтесь к Телеграм-группе @gdz_by_belarus
ПрисоединитьсяМы подготовили для вас ответ c подробным объяснением домашего задания по алгебре за 7-9 класс, для упражнения номер 28.12 расположенного на странице 130 к сборнику задач 2020 года издания для учащихся школ и гимназий.
Теперь на нашем сайте ГДЗ.ТОП вы всегда легко и бесплатно найдёте условие с правильным ответом на вопрос «Как решить ДЗ» и «Как сделать» задание по алгебре к упражнению №28.12 (с. 130), авторов: Арефьева (Ирина Глебовна), Пирютко (Ольга Николаевна), учебного пособия издательства Народная асвета.