Номер 2.5, страница 16 - гдз по алгебре 7-9 класс сборник задач Арефьева, Пирютко

Алгебра, 7-9 класс Сборник задач, авторы: Арефьева Ирина Глебовна, Пирютко Ольга Николаевна, издательство Народная асвета, Минск, 2020

Авторы: Арефьева И. Г., Пирютко О. Н.

Тип: Сборник задач

Издательство: Народная асвета

Год издания: 2020 - 2025

Цвет обложки: синий с графиками

Допущено Министерством образования Республики Беларусь

Популярные ГДЗ в 7 классе

7 класс. Параграф 2. Степень с целым показателем и ее свойства - номер 2.5, страница 16.

№2.5 (с. 16)
Условие. №2.5 (с. 16)
скриншот условия
Алгебра, 7-9 класс Сборник задач, авторы: Арефьева Ирина Глебовна, Пирютко Ольга Николаевна, издательство Народная асвета, Минск, 2020, страница 16, номер 2.5, Условие

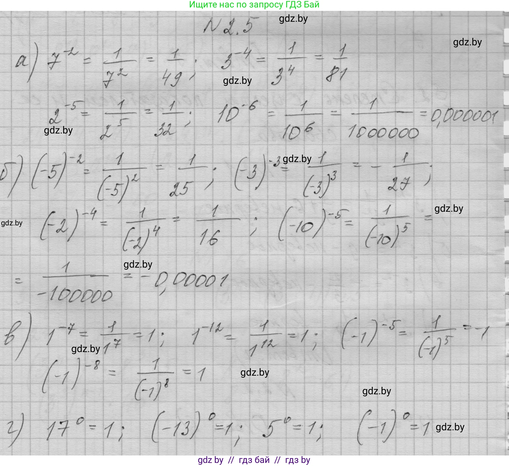
2.5. Используйте определение степени с целым отрицательным показателем и вычислите:

а) $7^{-2}; 3^{-4}; 2^{-5}; 10^{-6};$

б) $(-5)^{-2}; (-3)^{-3}; (-2)^{-4}; (-10)^{-5};$

в) $1^{-7}; 1^{-12}; (-1)^{-5}; (-1)^{-8};$

г) $17^0; (-13)^0; 5^0; (-1)^0.$

Решение. №2.5 (с. 16)
Алгебра, 7-9 класс Сборник задач, авторы: Арефьева Ирина Глебовна, Пирютко Ольга Николаевна, издательство Народная асвета, Минск, 2020, страница 16, номер 2.5, Решение
Решение 2. №2.5 (с. 16)

а)

Используем определение степени с целым отрицательным показателем $a^{-n} = \frac{1}{a^n}$, где $a \neq 0$.
$7^{-2} = \frac{1}{7^2} = \frac{1}{49}$.
$3^{-4} = \frac{1}{3^4} = \frac{1}{81}$.
$2^{-5} = \frac{1}{2^5} = \frac{1}{32}$.
$10^{-6} = \frac{1}{10^6} = \frac{1}{1000000} = 0.000001$.

Ответ: $\frac{1}{49}$; $\frac{1}{81}$; $\frac{1}{32}$; $0.000001$.

б)

При возведении отрицательного основания в степень с отрицательным показателем, мы также используем правило $a^{-n} = \frac{1}{a^n}$. Знак результата зависит от четности показателя степени в знаменателе: если показатель в знаменателе ($n$) четный, результат будет положительным, если нечетный — отрицательным.
$(-5)^{-2} = \frac{1}{(-5)^2} = \frac{1}{25}$ (показатель $2$ — четный).
$(-3)^{-3} = \frac{1}{(-3)^3} = \frac{1}{-27} = -\frac{1}{27}$ (показатель $3$ — нечетный).
$(-2)^{-4} = \frac{1}{(-2)^4} = \frac{1}{16}$ (показатель $4$ — четный).
$(-10)^{-5} = \frac{1}{(-10)^5} = -\frac{1}{100000} = -0.00001$ (показатель $5$ — нечетный).

Ответ: $\frac{1}{25}$; $-\frac{1}{27}$; $\frac{1}{16}$; $-0.00001$.

в)

Для оснований $1$ и $-1$ применяются те же правила. Единица в любой степени равна единице. Для $-1$ знак результата зависит от четности показателя степени.
$1^{-7} = \frac{1}{1^7} = \frac{1}{1} = 1$.
$1^{-12} = \frac{1}{1^{12}} = \frac{1}{1} = 1$.
$(-1)^{-5} = \frac{1}{(-1)^5} = \frac{1}{-1} = -1$ (показатель $5$ — нечетный).
$(-1)^{-8} = \frac{1}{(-1)^8} = \frac{1}{1} = 1$ (показатель $8$ — четный).

Ответ: $1$; $1$; $-1$; $1$.

г)

По определению, любое ненулевое число, возведенное в степень ноль, равно единице: $a^0 = 1$ для $a \neq 0$.
$17^0 = 1$.
$(-13)^0 = 1$.
$5^0 = 1$.
$(-1)^0 = 1$.

Ответ: $1$; $1$; $1$; $1$.

Помогло решение? Оставьте отзыв в комментариях ниже.

Присоединяйтесь к Телеграм-группе @gdz_by_belarus

Присоединиться

Мы подготовили для вас ответ c подробным объяснением домашего задания по алгебре за 7-9 класс, для упражнения номер 2.5 расположенного на странице 16 к сборнику задач 2020 года издания для учащихся школ и гимназий.

Теперь на нашем сайте ГДЗ.ТОП вы всегда легко и бесплатно найдёте условие с правильным ответом на вопрос «Как решить ДЗ» и «Как сделать» задание по алгебре к упражнению №2.5 (с. 16), авторов: Арефьева (Ирина Глебовна), Пирютко (Ольга Николаевна), учебного пособия издательства Народная асвета.