Номер 2.19, страница 18 - гдз по алгебре 7-9 класс сборник задач Арефьева, Пирютко

Алгебра, 7-9 класс Сборник задач, авторы: Арефьева Ирина Глебовна, Пирютко Ольга Николаевна, издательство Народная асвета, Минск, 2020

Авторы: Арефьева И. Г., Пирютко О. Н.

Тип: Сборник задач

Издательство: Народная асвета

Год издания: 2020 - 2025

Цвет обложки: синий с графиками

Допущено Министерством образования Республики Беларусь

Популярные ГДЗ в 7 классе

7 класс. Параграф 2. Степень с целым показателем и ее свойства - номер 2.19, страница 18.

№2.19 (с. 18)
Условие. №2.19 (с. 18)
скриншот условия
Алгебра, 7-9 класс Сборник задач, авторы: Арефьева Ирина Глебовна, Пирютко Ольга Николаевна, издательство Народная асвета, Минск, 2020, страница 18, номер 2.19, Условие

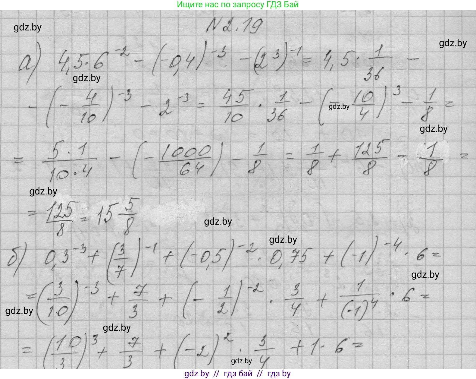
2.19. Установите порядок действий и вычислите:

a) $4.5 \cdot 6^{-2} - (-0.4)^{-3} - (2^3)^{-1};$

б) $0.3^{-3} + \left(\frac{3}{7}\right)^{-1} + (-0.5)^{-2} \cdot 0.75 + (-1)^{-4} \cdot 6.$

Решение. №2.19 (с. 18)
Алгебра, 7-9 класс Сборник задач, авторы: Арефьева Ирина Глебовна, Пирютко Ольга Николаевна, издательство Народная асвета, Минск, 2020, страница 18, номер 2.19, Решение Алгебра, 7-9 класс Сборник задач, авторы: Арефьева Ирина Глебовна, Пирютко Ольга Николаевна, издательство Народная асвета, Минск, 2020, страница 18, номер 2.19, Решение (продолжение 2)
Решение 2. №2.19 (с. 18)

а) $4,5 \cdot 6^{-2} - (-0,4)^{-3} - (2^3)^{-1}$

Порядок действий: сначала выполняем возведение в степень, затем умножение, и в последнюю очередь вычитание. Для удобства вычислений переведем десятичные дроби в обыкновенные.

1. Вычислим значения выражений со степенями:

$6^{-2} = \frac{1}{6^2} = \frac{1}{36}$

$(-0,4)^{-3} = (-\frac{4}{10})^{-3} = (-\frac{2}{5})^{-3} = (-\frac{5}{2})^3 = -\frac{5^3}{2^3} = -\frac{125}{8}$

$(2^3)^{-1} = 8^{-1} = \frac{1}{8}$

2. Выполним умножение:

$4,5 \cdot 6^{-2} = \frac{45}{10} \cdot \frac{1}{36} = \frac{9}{2} \cdot \frac{1}{36} = \frac{9}{2 \cdot 36} = \frac{1}{2 \cdot 4} = \frac{1}{8}$

3. Подставим полученные значения в исходное выражение и выполним вычитание:

$\frac{1}{8} - (-\frac{125}{8}) - \frac{1}{8} = \frac{1}{8} + \frac{125}{8} - \frac{1}{8} = \frac{1 + 125 - 1}{8} = \frac{125}{8}$

Результат можно представить в виде десятичной дроби: $\frac{125}{8} = 15,625$.

Ответ: $15,625$.

б) $0,3^{-3} + (\frac{3}{7})^{-1} + (-0,5)^{-2} \cdot 0,75 + (-1)^{-4} \cdot 6$

Порядок действий: сначала возведение в степень, затем умножение, и в конце сложение. Для удобства вычислений переведем десятичные дроби в обыкновенные.

1. Вычислим значения выражений со степенями:

$0,3^{-3} = (\frac{3}{10})^{-3} = (\frac{10}{3})^3 = \frac{1000}{27}$

$(\frac{3}{7})^{-1} = \frac{7}{3}$

$(-0,5)^{-2} = (-\frac{1}{2})^{-2} = (-2)^2 = 4$

$(-1)^{-4} = \frac{1}{(-1)^4} = \frac{1}{1} = 1$

2. Выполним умножения:

$(-0,5)^{-2} \cdot 0,75 = 4 \cdot \frac{75}{100} = 4 \cdot \frac{3}{4} = 3$

$(-1)^{-4} \cdot 6 = 1 \cdot 6 = 6$

3. Подставим полученные значения в исходное выражение и выполним сложение:

$\frac{1000}{27} + \frac{7}{3} + 3 + 6 = \frac{1000}{27} + \frac{7}{3} + 9$

Приведем дроби к общему знаменателю $27$:

$\frac{1000}{27} + \frac{7 \cdot 9}{3 \cdot 9} + \frac{9 \cdot 27}{27} = \frac{1000}{27} + \frac{63}{27} + \frac{243}{27} = \frac{1000 + 63 + 243}{27} = \frac{1306}{27}$

Выделим целую часть, чтобы представить результат в виде смешанного числа:

$\frac{1306}{27} = 48\frac{10}{27}$

Ответ: $48\frac{10}{27}$.

Помогло решение? Оставьте отзыв в комментариях ниже.

Присоединяйтесь к Телеграм-группе @gdz_by_belarus

Присоединиться

Мы подготовили для вас ответ c подробным объяснением домашего задания по алгебре за 7-9 класс, для упражнения номер 2.19 расположенного на странице 18 к сборнику задач 2020 года издания для учащихся школ и гимназий.

Теперь на нашем сайте ГДЗ.ТОП вы всегда легко и бесплатно найдёте условие с правильным ответом на вопрос «Как решить ДЗ» и «Как сделать» задание по алгебре к упражнению №2.19 (с. 18), авторов: Арефьева (Ирина Глебовна), Пирютко (Ольга Николаевна), учебного пособия издательства Народная асвета.