Номер 2.20, страница 19 - гдз по алгебре 7-9 класс сборник задач Арефьева, Пирютко

Алгебра, 7-9 класс Сборник задач, авторы: Арефьева Ирина Глебовна, Пирютко Ольга Николаевна, издательство Народная асвета, Минск, 2020

Авторы: Арефьева И. Г., Пирютко О. Н.

Тип: Сборник задач

Издательство: Народная асвета

Год издания: 2020 - 2025

Цвет обложки: синий с графиками

Допущено Министерством образования Республики Беларусь

Популярные ГДЗ в 7 классе

7 класс. Параграф 2. Степень с целым показателем и ее свойства - номер 2.20, страница 19.

№2.20 (с. 19)
Условие. №2.20 (с. 19)
скриншот условия
Алгебра, 7-9 класс Сборник задач, авторы: Арефьева Ирина Глебовна, Пирютко Ольга Николаевна, издательство Народная асвета, Минск, 2020, страница 19, номер 2.20, Условие

2.20. Найдите значение выражения:

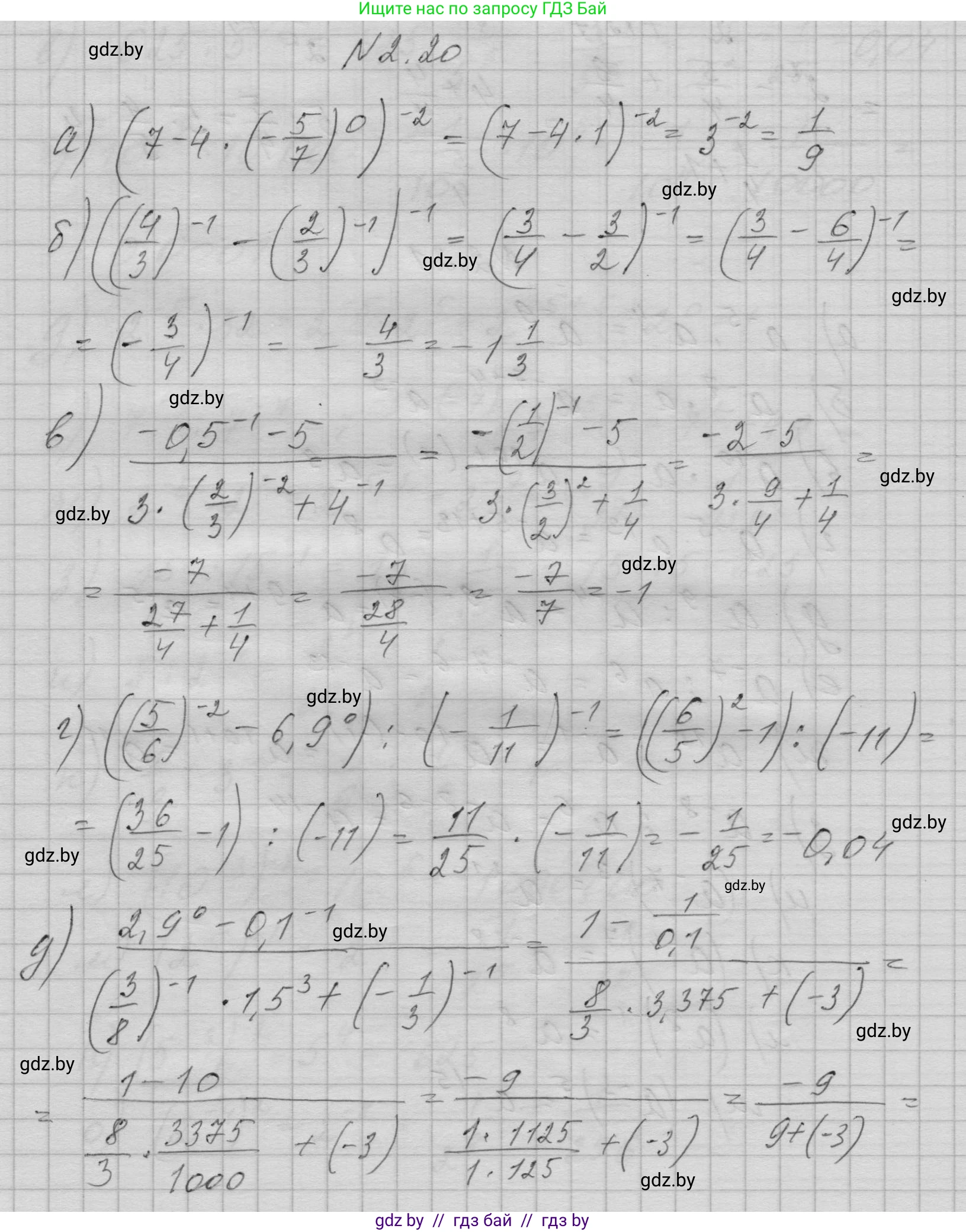
а) $(7 - 4 \cdot (-\frac{5}{7})^0)^{-2}$;

б) $((\frac{4}{3})^{-1} - (\frac{2}{3})^{-1})^{-1}$;

в) $\frac{-0,5^{-1} - 5}{3 \cdot (\frac{2}{3})^{-2} + 4^{-1}}$;

г) $((\frac{5}{6})^{-2} - 6,9^0) : (-\frac{1}{11})^{-1}$;

д) $\frac{2,9^0 - 0,1^{-1}}{(\frac{3}{8})^{-1} \cdot 1,5^3 + (-\frac{1}{3})^{-1}}$;

е) $\frac{0,5^{-2} - 5 \cdot (-2)^{-2} + (\frac{2}{3})^{-2}}{2^{-2} + 12,7^0}$.

Решение. №2.20 (с. 19)
Алгебра, 7-9 класс Сборник задач, авторы: Арефьева Ирина Глебовна, Пирютко Ольга Николаевна, издательство Народная асвета, Минск, 2020, страница 19, номер 2.20, Решение Алгебра, 7-9 класс Сборник задач, авторы: Арефьева Ирина Глебовна, Пирютко Ольга Николаевна, издательство Народная асвета, Минск, 2020, страница 19, номер 2.20, Решение (продолжение 2)
Решение 2. №2.20 (с. 19)

а) $(7 - 4 \cdot (-\frac{5}{7})^0)^{-2}$

Решим по действиям:
1. Сначала выполним действие в скобках. Любое ненулевое число в нулевой степени равно 1: $(-\frac{5}{7})^0 = 1$.
2. Подставим это значение в выражение в скобках: $7 - 4 \cdot 1 = 7 - 4 = 3$.
3. Теперь возведем полученный результат в степень -2. Отрицательная степень означает, что нужно взять обратное число, возведенное в соответствующую положительную степень: $3^{-2} = \frac{1}{3^2} = \frac{1}{9}$.
Ответ: $\frac{1}{9}$.

б) $((\frac{4}{3})^{-1} - (\frac{2}{3})^{-1})^{-1}$

Решим по действиям:
1. Вычислим значения в скобках, используя свойство $ (\frac{a}{b})^{-n} = (\frac{b}{a})^n $:
$(\frac{4}{3})^{-1} = \frac{3}{4}$
$(\frac{2}{3})^{-1} = \frac{3}{2}$
2. Выполним вычитание в скобках: $\frac{3}{4} - \frac{3}{2}$. Приведем к общему знаменателю: $\frac{3}{4} - \frac{3 \cdot 2}{2 \cdot 2} = \frac{3}{4} - \frac{6}{4} = -\frac{3}{4}$.
3. Возведем результат в степень -1: $(-\frac{3}{4})^{-1} = -\frac{4}{3}$.
Ответ: $-\frac{4}{3}$.

в) $\frac{-0,5^{-1} - 5}{3 \cdot (\frac{2}{3})^{-2} + 4^{-1}}$

1. Вычислим значение числителя:
Сначала преобразуем десятичную дробь в обыкновенную: $-0,5 = -\frac{1}{2}$.
$(-0,5)^{-1} = (-\frac{1}{2})^{-1} = -2$.
Числитель равен: $-2 - 5 = -7$.
2. Вычислим значение знаменателя:
$3 \cdot (\frac{2}{3})^{-2} = 3 \cdot (\frac{3}{2})^2 = 3 \cdot \frac{9}{4} = \frac{27}{4}$.
$4^{-1} = \frac{1}{4}$.
Знаменатель равен: $\frac{27}{4} + \frac{1}{4} = \frac{28}{4} = 7$.
3. Найдем значение всего выражения: $\frac{-7}{7} = -1$.
Ответ: $-1$.

г) $((\frac{5}{6})^{-2} - 6,9^0) : (-\frac{1}{11})^{-1}$

Решим по действиям:
1. Вычислим значение выражения в первых скобках:
$(\frac{5}{6})^{-2} = (\frac{6}{5})^2 = \frac{36}{25}$.
$6,9^0 = 1$.
Выражение в скобках равно: $\frac{36}{25} - 1 = \frac{36}{25} - \frac{25}{25} = \frac{11}{25}$.
2. Вычислим значение второго выражения: $(-\frac{1}{11})^{-1} = -11$.
3. Выполним деление: $\frac{11}{25} : (-11) = \frac{11}{25} \cdot (-\frac{1}{11}) = -\frac{1}{25}$.
Ответ: $-\frac{1}{25}$.

д) $\frac{2,9^0 - 0,1^{-1}}{(\frac{3}{8})^{-1} \cdot 1,5^3 + (-\frac{1}{3})^{-1}}$

1. Вычислим значение числителя:
$2,9^0 = 1$.
$0,1^{-1} = (\frac{1}{10})^{-1} = 10$.
Числитель равен: $1 - 10 = -9$.
2. Вычислим значение знаменателя:
$(\frac{3}{8})^{-1} = \frac{8}{3}$.
$1,5^3 = (\frac{3}{2})^3 = \frac{27}{8}$.
$(\frac{3}{8})^{-1} \cdot 1,5^3 = \frac{8}{3} \cdot \frac{27}{8} = \frac{27}{3} = 9$.
$(-\frac{1}{3})^{-1} = -3$.
Знаменатель равен: $9 + (-3) = 9 - 3 = 6$.
3. Найдем значение всего выражения: $\frac{-9}{6} = -\frac{3}{2} = -1,5$.
Ответ: $-1,5$.

е) $\frac{0,5^{-2} - 5 \cdot (-2)^{-2} + (\frac{2}{3})^{-2}}{2^{-2} + 12,7^0}$

1. Вычислим значение числителя:
$0,5^{-2} = (\frac{1}{2})^{-2} = 2^2 = 4$.
$(-2)^{-2} = \frac{1}{(-2)^2} = \frac{1}{4}$.
$(\frac{2}{3})^{-2} = (\frac{3}{2})^2 = \frac{9}{4}$.
Числитель равен: $4 - 5 \cdot \frac{1}{4} + \frac{9}{4} = 4 - \frac{5}{4} + \frac{9}{4} = \frac{16}{4} - \frac{5}{4} + \frac{9}{4} = \frac{16 - 5 + 9}{4} = \frac{20}{4} = 5$.
2. Вычислим значение знаменателя:
$2^{-2} = \frac{1}{2^2} = \frac{1}{4}$.
$12,7^0 = 1$.
Знаменатель равен: $\frac{1}{4} + 1 = \frac{1}{4} + \frac{4}{4} = \frac{5}{4}$.
3. Найдем значение всего выражения: $\frac{5}{\frac{5}{4}} = 5 \cdot \frac{4}{5} = 4$.
Ответ: $4$.

Помогло решение? Оставьте отзыв в комментариях ниже.

Присоединяйтесь к Телеграм-группе @gdz_by_belarus

Присоединиться

Мы подготовили для вас ответ c подробным объяснением домашего задания по алгебре за 7-9 класс, для упражнения номер 2.20 расположенного на странице 19 к сборнику задач 2020 года издания для учащихся школ и гимназий.

Теперь на нашем сайте ГДЗ.ТОП вы всегда легко и бесплатно найдёте условие с правильным ответом на вопрос «Как решить ДЗ» и «Как сделать» задание по алгебре к упражнению №2.20 (с. 19), авторов: Арефьева (Ирина Глебовна), Пирютко (Ольга Николаевна), учебного пособия издательства Народная асвета.