Номер 2.289, страница 112 - гдз по алгебре 7 класс учебник Арефьева, Пирютко

Алгебра, 7 класс Учебник, авторы: Арефьева Ирина Глебовна, Пирютко Ольга Николаевна, издательство Народная асвета, Минск, 2022, зелёного цвета

Авторы: Арефьева И. Г., Пирютко О. Н.

Тип: Учебник

Издательство: Народная асвета

Год издания: 2022 - 2025

Цвет обложки: зелёный с графиком

ISBN: ISBN 978-985-03-3770-2

Допущено Министерством образования Республики Беларусь

Популярные ГДЗ в 7 классе

Глава 2. Выражения и их преобразования. Параграф 12. Формулы сокращенного умножения: квадрат суммы и квадрат разности двух выражений - номер 2.289, страница 112.

№2.289 (с. 112)
Условие. №2.289 (с. 112)
скриншот условия
Алгебра, 7 класс Учебник, авторы: Арефьева Ирина Глебовна, Пирютко Ольга Николаевна, издательство Народная асвета, Минск, 2022, зелёного цвета, страница 112, номер 2.289, Условие

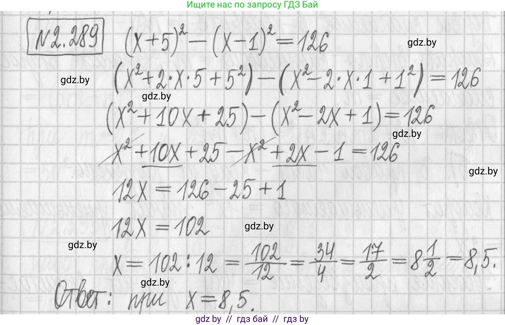
2.289. Найдите, при каком значении переменной квадрат двучлена $x + 5$ больше квадрата двучлена $x - 1$ на 126.

Решение. №2.289 (с. 112)
Алгебра, 7 класс Учебник, авторы: Арефьева Ирина Глебовна, Пирютко Ольга Николаевна, издательство Народная асвета, Минск, 2022, зелёного цвета, страница 112, номер 2.289, Решение
Решение 2. №2.289 (с. 112)

Согласно условию задачи, квадрат двучлена $(x+5)$ на 126 больше квадрата двучлена $(x-1)$. Это можно записать в виде уравнения:

$(x+5)^2 = (x-1)^2 + 126$

Перенесем $(x-1)^2$ в левую часть уравнения, чтобы использовать формулу разности квадратов:

$(x+5)^2 - (x-1)^2 = 126$

Воспользуемся формулой сокращенного умножения для разности квадратов: $a^2 - b^2 = (a-b)(a+b)$.

В нашем случае $a = x+5$ и $b = x-1$. Подставим эти выражения в формулу:

$((x+5) - (x-1)) \cdot ((x+5) + (x-1)) = 126$

Упростим выражения в каждой из скобок:

Первая скобка: $(x+5 - x+1) = 6$

Вторая скобка: $(x+5 + x-1) = 2x+4$

Теперь подставим упрощенные выражения обратно в уравнение:

$6 \cdot (2x+4) = 126$

Разделим обе части уравнения на 6:

$2x+4 = \frac{126}{6}$

$2x+4 = 21$

Теперь решим полученное линейное уравнение. Перенесем 4 в правую часть, изменив знак на противоположный:

$2x = 21 - 4$

$2x = 17$

Найдем $x$, разделив обе части на 2:

$x = \frac{17}{2}$

Преобразуем неправильную дробь в смешанное число, выделив целую часть:

$x = 8\frac{1}{2}$

Ответ: $8\frac{1}{2}$

Помогло решение? Оставьте отзыв в комментариях ниже.

Присоединяйтесь к Телеграм-группе @gdz_by_belarus

Присоединиться

Мы подготовили для вас ответ c подробным объяснением домашего задания по алгебре за 7 класс, для упражнения номер 2.289 расположенного на странице 112 к учебнику 2022 года издания для учащихся школ и гимназий.

Теперь на нашем сайте ГДЗ.ТОП вы всегда легко и бесплатно найдёте условие с правильным ответом на вопрос «Как решить ДЗ» и «Как сделать» задание по алгебре к упражнению №2.289 (с. 112), авторов: Арефьева (Ирина Глебовна), Пирютко (Ольга Николаевна), учебного пособия издательства Народная асвета.