Номер 2.292, страница 113 - гдз по алгебре 7 класс учебник Арефьева, Пирютко

Алгебра, 7 класс Учебник, авторы: Арефьева Ирина Глебовна, Пирютко Ольга Николаевна, издательство Народная асвета, Минск, 2022, зелёного цвета

Авторы: Арефьева И. Г., Пирютко О. Н.

Тип: Учебник

Издательство: Народная асвета

Год издания: 2022 - 2025

Цвет обложки: зелёный с графиком

ISBN: ISBN 978-985-03-3770-2

Допущено Министерством образования Республики Беларусь

Популярные ГДЗ в 7 классе

Глава 2. Выражения и их преобразования. Параграф 12. Формулы сокращенного умножения: квадрат суммы и квадрат разности двух выражений - номер 2.292, страница 113.

№2.292 (с. 113)
Условие. №2.292 (с. 113)
скриншот условия
Алгебра, 7 класс Учебник, авторы: Арефьева Ирина Глебовна, Пирютко Ольга Николаевна, издательство Народная асвета, Минск, 2022, зелёного цвета, страница 113, номер 2.292, Условие

2.292. Упростите выражение и найдите его значение:

а) $x^2 - 2x + 1$ при $x = 10$; $0,1$; $-89$;

б) $25m^2 + n^2 + 10mn$ при $m = 0,2$, $n = 49$.

Решение. №2.292 (с. 113)
Алгебра, 7 класс Учебник, авторы: Арефьева Ирина Глебовна, Пирютко Ольга Николаевна, издательство Народная асвета, Минск, 2022, зелёного цвета, страница 113, номер 2.292, Решение
Решение 2. №2.292 (с. 113)

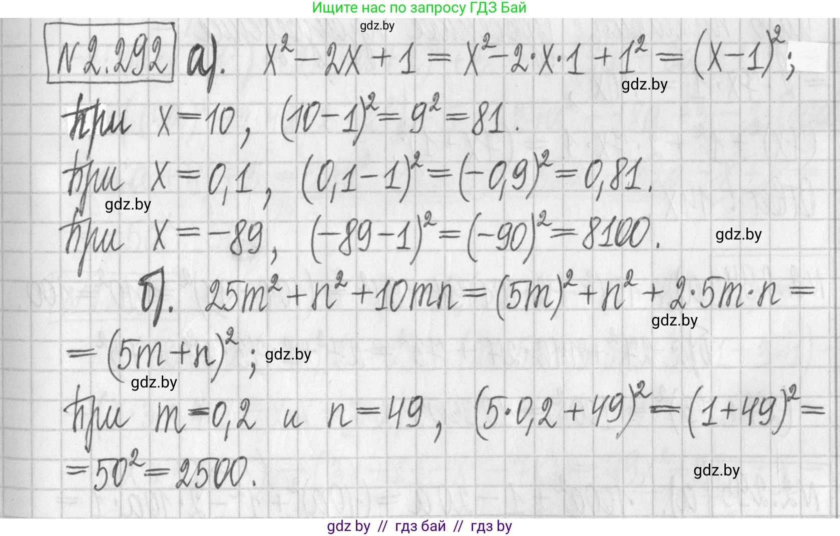
а) $x^2 - 2x + 1$ при $x = 10; 0,1; -89$

Сначала упростим выражение. Данное выражение представляет собой полный квадрат разности, который можно представить по формуле сокращенного умножения: $(a-b)^2 = a^2 - 2ab + b^2$.

В нашем случае $a = x$ и $b = 1$, поэтому:

$x^2 - 2x + 1 = (x-1)^2$

Теперь вычислим значение упрощенного выражения для каждого заданного значения $x$:

  • При $x = 10$:
    $(10 - 1)^2 = 9^2 = 81$
  • При $x = 0,1$:
    $(0,1 - 1)^2 = (-0,9)^2 = 0,81$
  • При $x = -89$:
    $(-89 - 1)^2 = (-90)^2 = 8100$

Ответ: $81$; $0,81$; $8100$.

б) $25m^2 + n^2 + 10mn$ при $m = 0,2, n = 49$

Сначала переставим слагаемые для наглядности: $25m^2 + 10mn + n^2$.

Это выражение является полным квадратом суммы, который можно свернуть по формуле: $(a+b)^2 = a^2 + 2ab + b^2$.

В данном случае $a^2 = 25m^2$, значит $a = 5m$. А $b^2=n^2$, значит $b=n$. Проверим удвоенное произведение: $2ab = 2 \cdot (5m) \cdot n = 10mn$, что соответствует нашему выражению.

Таким образом, упрощенное выражение выглядит так:

$25m^2 + 10mn + n^2 = (5m + n)^2$

Теперь подставим значения $m = 0,2$ и $n = 49$:

$(5 \cdot 0,2 + 49)^2 = (1 + 49)^2 = 50^2 = 2500$

Ответ: $2500$.

Помогло решение? Оставьте отзыв в комментариях ниже.

Присоединяйтесь к Телеграм-группе @gdz_by_belarus

Присоединиться

Мы подготовили для вас ответ c подробным объяснением домашего задания по алгебре за 7 класс, для упражнения номер 2.292 расположенного на странице 113 к учебнику 2022 года издания для учащихся школ и гимназий.

Теперь на нашем сайте ГДЗ.ТОП вы всегда легко и бесплатно найдёте условие с правильным ответом на вопрос «Как решить ДЗ» и «Как сделать» задание по алгебре к упражнению №2.292 (с. 113), авторов: Арефьева (Ирина Глебовна), Пирютко (Ольга Николаевна), учебного пособия издательства Народная асвета.