Номер 2.384, страница 134 - гдз по алгебре 7 класс учебник Арефьева, Пирютко

Алгебра, 7 класс Учебник, авторы: Арефьева Ирина Глебовна, Пирютко Ольга Николаевна, издательство Народная асвета, Минск, 2022, зелёного цвета

Авторы: Арефьева И. Г., Пирютко О. Н.

Тип: Учебник

Издательство: Народная асвета

Год издания: 2022 - 2025

Цвет обложки: зелёный с графиком

ISBN: ISBN 978-985-03-3770-2

Допущено Министерством образования Республики Беларусь

Популярные ГДЗ в 7 классе

Глава 2. Выражения и их преобразования. Параграф 14. Разложение многочлена на множители - номер 2.384, страница 134.

№2.384 (с. 134)
Условие. №2.384 (с. 134)
скриншот условия
Алгебра, 7 класс Учебник, авторы: Арефьева Ирина Глебовна, Пирютко Ольга Николаевна, издательство Народная асвета, Минск, 2022, зелёного цвета, страница 134, номер 2.384, Условие

2.384. Используя способ группировки, разложите многочлен на множители:

а) $ac + bc + 2ad + 2bd;$

б) $xy + xn - 3mn - 3my;$

в) $3ax - 4ay + 3bx - 4by;$

г) $2ax - bx - 4a + 2b;$

д) $5ay - 3bx + ax - 15by;$

е) $6ad - 8ab - 12bc + 9cd.$

Решение. №2.384 (с. 134)
Алгебра, 7 класс Учебник, авторы: Арефьева Ирина Глебовна, Пирютко Ольга Николаевна, издательство Народная асвета, Минск, 2022, зелёного цвета, страница 134, номер 2.384, Решение Алгебра, 7 класс Учебник, авторы: Арефьева Ирина Глебовна, Пирютко Ольга Николаевна, издательство Народная асвета, Минск, 2022, зелёного цвета, страница 134, номер 2.384, Решение (продолжение 2)
Решение 2. №2.384 (с. 134)

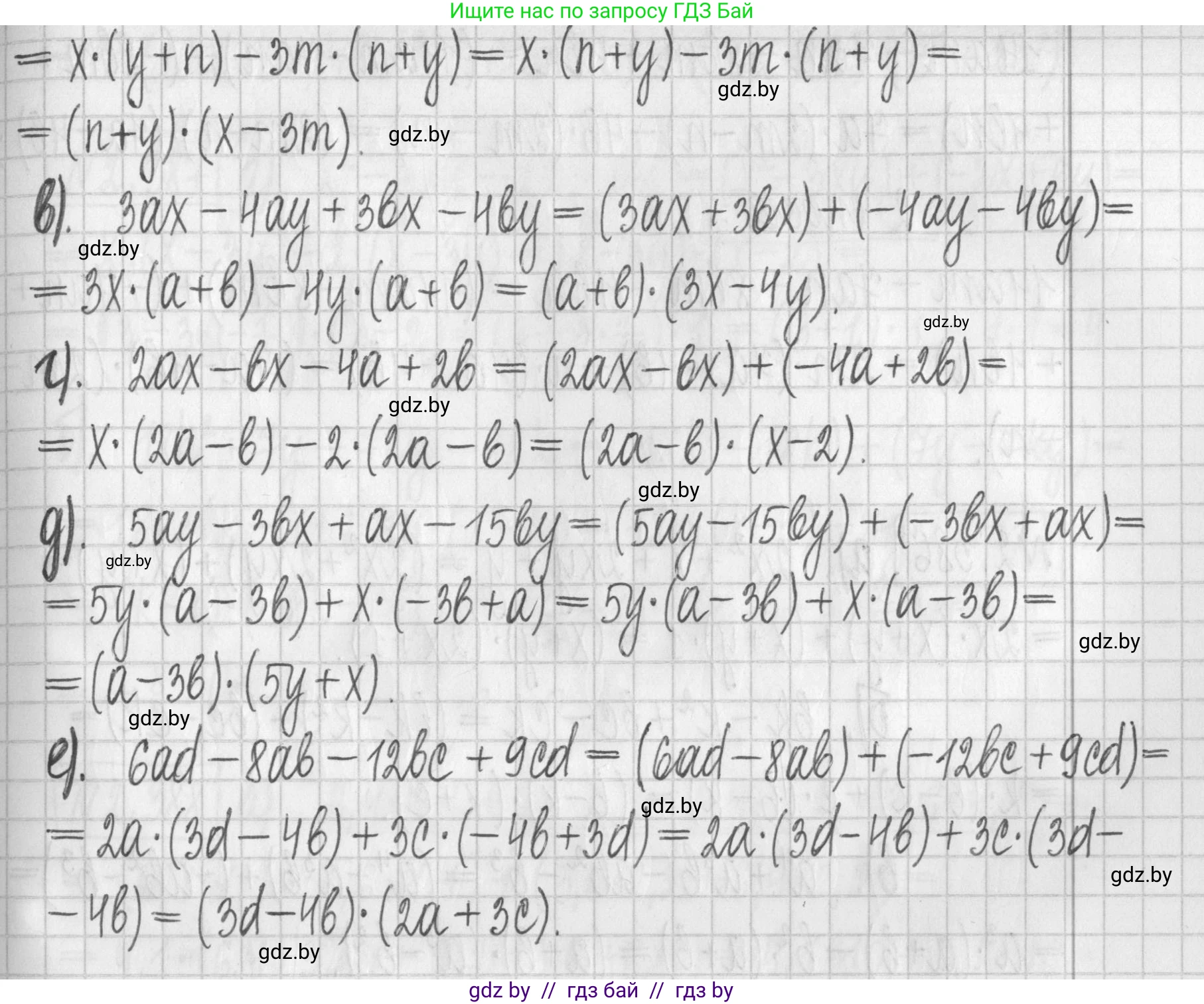
а) $ac + bc + 2ad + 2bd$

Сгруппируем первое и второе слагаемые, а также третье и четвертое:

$(ac + bc) + (2ad + 2bd)$

Вынесем общий множитель из каждой скобки. Из первой скобки вынесем $c$, из второй – $2d$:

$c(a + b) + 2d(a + b)$

Теперь вынесем общий множитель $(a + b)$ за скобки:

$(a + b)(c + 2d)$

Ответ: $(a + b)(c + 2d)$


б) $xy + xn - 3mn - 3my$

Сгруппируем первое и второе слагаемые, а также третье и четвертое:

$(xy + xn) + (-3mn - 3my)$

Вынесем общий множитель из каждой скобки. Из первой скобки вынесем $x$, из второй – $-3m$:

$x(y + n) - 3m(n + y)$

Поскольку $y+n = n+y$, вынесем общий множитель $(y + n)$ за скобки:

$(y + n)(x - 3m)$

Ответ: $(y + n)(x - 3m)$


в) $3ax - 4ay + 3bx - 4by$

Сгруппируем первое и второе слагаемые, а также третье и четвертое:

$(3ax - 4ay) + (3bx - 4by)$

Вынесем общий множитель из каждой скобки. Из первой скобки вынесем $a$, из второй – $b$:

$a(3x - 4y) + b(3x - 4y)$

Теперь вынесем общий множитель $(3x - 4y)$ за скобки:

$(3x - 4y)(a + b)$

Ответ: $(3x - 4y)(a + b)$


г) $2ax - bx - 4a + 2b$

Сгруппируем первое и второе слагаемые, а также третье и четвертое:

$(2ax - bx) + (-4a + 2b)$

Вынесем общий множитель из каждой скобки. Из первой скобки вынесем $x$, из второй – $-2$:

$x(2a - b) - 2(2a - b)$

Теперь вынесем общий множитель $(2a - b)$ за скобки:

$(2a - b)(x - 2)$

Ответ: $(2a - b)(x - 2)$


д) $5ay - 3bx + ax - 15by$

Перегруппируем слагаемые для удобства: сгруппируем слагаемые с переменной $a$ и с переменной $b$:

$(5ay + ax) - (3bx + 15by)$ - этот вариант не подходит. Попробуем сгруппировать слагаемые с переменными $x$ и $y$.

$(ax - 3bx) + (5ay - 15by)$

Вынесем общий множитель из каждой скобки. Из первой скобки вынесем $x$, из второй – $5y$:

$x(a - 3b) + 5y(a - 3b)$

Теперь вынесем общий множитель $(a - 3b)$ за скобки:

$(a - 3b)(x + 5y)$

Ответ: $(a - 3b)(x + 5y)$


е) $6ad - 8ab - 12bc + 9cd$

Сгруппируем первое и второе слагаемые, а также третье и четвертое:

$(6ad - 8ab) + (9cd - 12bc)$

Вынесем общий множитель из каждой скобки. Из первой скобки вынесем $2a$, из второй – $3c$:

$2a(3d - 4b) + 3c(3d - 4b)$

Теперь вынесем общий множитель $(3d - 4b)$ за скобки:

$(3d - 4b)(2a + 3c)$

Ответ: $(3d - 4b)(2a + 3c)$

Помогло решение? Оставьте отзыв в комментариях ниже.

Присоединяйтесь к Телеграм-группе @gdz_by_belarus

Присоединиться

Мы подготовили для вас ответ c подробным объяснением домашего задания по алгебре за 7 класс, для упражнения номер 2.384 расположенного на странице 134 к учебнику 2022 года издания для учащихся школ и гимназий.

Теперь на нашем сайте ГДЗ.ТОП вы всегда легко и бесплатно найдёте условие с правильным ответом на вопрос «Как решить ДЗ» и «Как сделать» задание по алгебре к упражнению №2.384 (с. 134), авторов: Арефьева (Ирина Глебовна), Пирютко (Ольга Николаевна), учебного пособия издательства Народная асвета.