Номер 2.389, страница 135 - гдз по алгебре 7 класс учебник Арефьева, Пирютко

Алгебра, 7 класс Учебник, авторы: Арефьева Ирина Глебовна, Пирютко Ольга Николаевна, издательство Народная асвета, Минск, 2022, зелёного цвета

Авторы: Арефьева И. Г., Пирютко О. Н.

Тип: Учебник

Издательство: Народная асвета

Год издания: 2022 - 2025

Цвет обложки: зелёный с графиком

ISBN: ISBN 978-985-03-3770-2

Допущено Министерством образования Республики Беларусь

Популярные ГДЗ в 7 классе

Глава 2. Выражения и их преобразования. Параграф 14. Разложение многочлена на множители - номер 2.389, страница 135.

№2.389 (с. 135)
Условие. №2.389 (с. 135)
скриншот условия
Алгебра, 7 класс Учебник, авторы: Арефьева Ирина Глебовна, Пирютко Ольга Николаевна, издательство Народная асвета, Минск, 2022, зелёного цвета, страница 135, номер 2.389, Условие

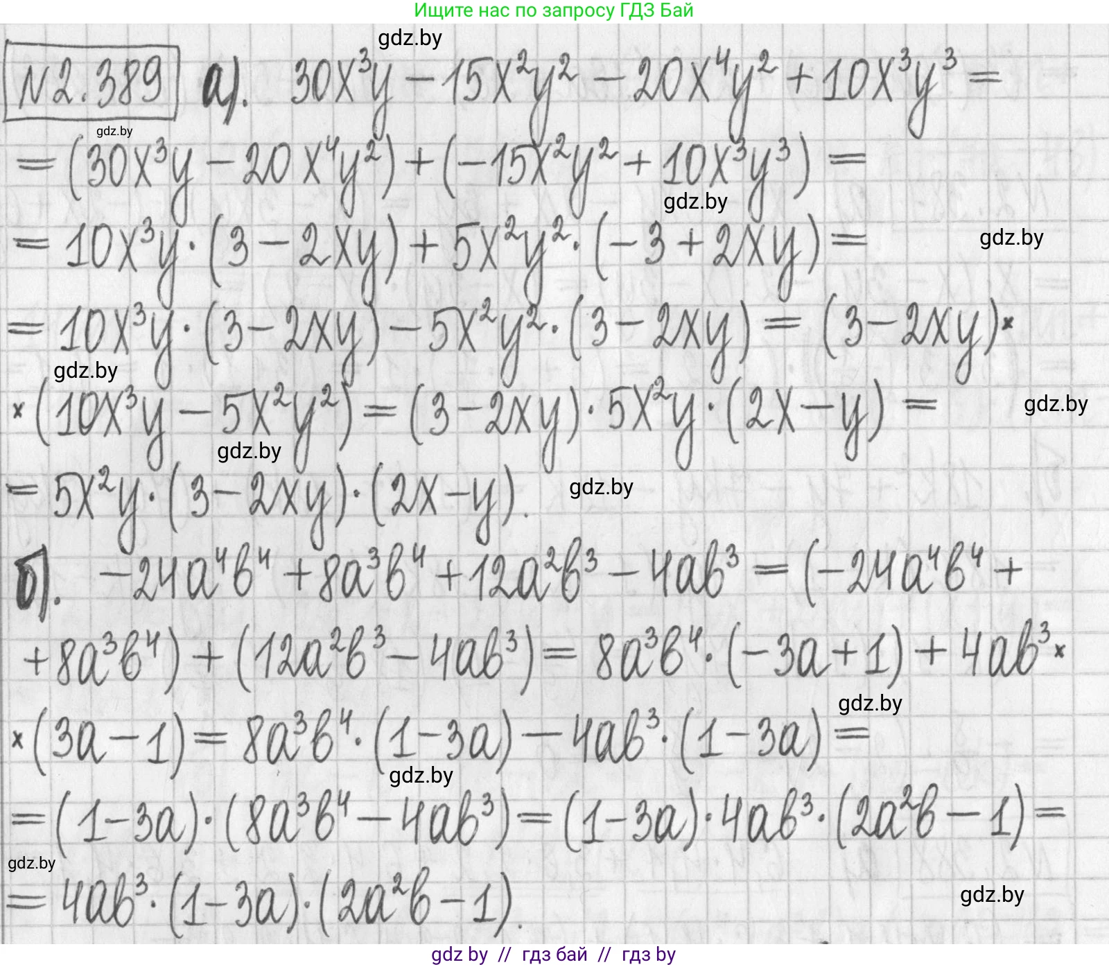
2.389. Разложите многочлен на множители:

а) $30x^3y - 15x^2y^2 - 20x^4y^2 + 10x^3y^3;$

б) $-24a^4b^4 + 8a^3b^4 + 12a^2b^3 - 4ab^3.$

Решение. №2.389 (с. 135)
Алгебра, 7 класс Учебник, авторы: Арефьева Ирина Глебовна, Пирютко Ольга Николаевна, издательство Народная асвета, Минск, 2022, зелёного цвета, страница 135, номер 2.389, Решение
Решение 2. №2.389 (с. 135)

а) $30x^3y - 15x^2y^2 - 20x^4y^2 + 10x^3y^3$

Для разложения многочлена на множители необходимо найти общий множитель для всех его членов и вынести его за скобки.

  1. Найдём наибольший общий делитель (НОД) для коэффициентов 30, -15, -20, 10.
    Абсолютные значения коэффициентов: 30, 15, 20, 10.
    НОД(30, 15, 20, 10) = 5.
  2. Найдём общую часть для переменных.
    Для переменной $x$ (в степенях $x^3, x^2, x^4, x^3$) наименьшая степень равна 2, поэтому общим множителем будет $x^2$.
    Для переменной $y$ (в степенях $y^1, y^2, y^2, y^3$) наименьшая степень равна 1, поэтому общим множителем будет $y$.
    Таким образом, общая переменная часть — это $x^2y$.
  3. Общий множитель для всего многочлена равен произведению НОД коэффициентов и общей переменной части: $5x^2y$. Вынесем его за скобки:
    $30x^3y - 15x^2y^2 - 20x^4y^2 + 10x^3y^3 = 5x^2y(\frac{30x^3y}{5x^2y} - \frac{15x^2y^2}{5x^2y} - \frac{20x^4y^2}{5x^2y} + \frac{10x^3y^3}{5x^2y})$
    $= 5x^2y(6x - 3y - 4x^2y + 2xy^2)$
  4. Теперь разложим на множители выражение в скобках $6x - 3y - 4x^2y + 2xy^2$ методом группировки. Сгруппируем первое со вторым и третье с четвертым слагаемым:
    $(6x - 3y) + (-4x^2y + 2xy^2)$
  5. Вынесем общие множители из каждой группы:
    Из первой группы $(6x - 3y)$ выносим 3: $3(2x - y)$.
    Из второй группы $(-4x^2y + 2xy^2)$ выносим $-2xy$: $-2xy(2x - y)$.
  6. Получаем выражение: $3(2x - y) - 2xy(2x - y)$.
    Теперь вынесем общий множитель $(2x - y)$:
    $(2x - y)(3 - 2xy)$
  7. Объединив результаты, получаем итоговое разложение исходного многочлена:
    $5x^2y(2x - y)(3 - 2xy)$

Ответ: $5x^2y(2x - y)(3 - 2xy)$.


б) $-24a^4b^4 + 8a^3b^4 + 12a^2b^3 - 4ab^3$

Разложим многочлен на множители, следуя тому же алгоритму.

  1. Найдём НОД для коэффициентов -24, 8, 12, -4.
    Абсолютные значения: 24, 8, 12, 4.
    НОД(24, 8, 12, 4) = 4. Так как старший член многочлена отрицательный, удобно вынести за скобки -4.
  2. Найдём общую часть для переменных.
    Для переменной $a$ (в степенях $a^4, a^3, a^2, a^1$) наименьшая степень равна 1, общий множитель — $a$.
    Для переменной $b$ (в степенях $b^4, b^4, b^3, b^3$) наименьшая степень равна 3, общий множитель — $b^3$.
    Общая переменная часть — $ab^3$.
  3. Общий множитель для всего многочлена: $-4ab^3$. Вынесем его за скобки:
    $-24a^4b^4 + 8a^3b^4 + 12a^2b^3 - 4ab^3 = -4ab^3(\frac{-24a^4b^4}{-4ab^3} + \frac{8a^3b^4}{-4ab^3} + \frac{12a^2b^3}{-4ab^3} - \frac{4ab^3}{-4ab^3})$
    $= -4ab^3(6a^3b - 2a^2b - 3a + 1)$
  4. Разложим на множители выражение в скобках $6a^3b - 2a^2b - 3a + 1$ методом группировки:
    $(6a^3b - 2a^2b) + (-3a + 1)$
  5. Вынесем общие множители из каждой группы:
    Из первой группы $(6a^3b - 2a^2b)$ выносим $2a^2b$: $2a^2b(3a - 1)$.
    Из второй группы $(-3a + 1)$ выносим -1: $-1(3a - 1)$.
  6. Получаем выражение: $2a^2b(3a - 1) - 1(3a - 1)$.
    Вынесем общий множитель $(3a - 1)$:
    $(3a - 1)(2a^2b - 1)$
  7. Итоговое разложение исходного многочлена:
    $-4ab^3(3a - 1)(2a^2b - 1)$

Ответ: $-4ab^3(3a - 1)(2a^2b - 1)$.

Помогло решение? Оставьте отзыв в комментариях ниже.

Присоединяйтесь к Телеграм-группе @gdz_by_belarus

Присоединиться

Мы подготовили для вас ответ c подробным объяснением домашего задания по алгебре за 7 класс, для упражнения номер 2.389 расположенного на странице 135 к учебнику 2022 года издания для учащихся школ и гимназий.

Теперь на нашем сайте ГДЗ.ТОП вы всегда легко и бесплатно найдёте условие с правильным ответом на вопрос «Как решить ДЗ» и «Как сделать» задание по алгебре к упражнению №2.389 (с. 135), авторов: Арефьева (Ирина Глебовна), Пирютко (Ольга Николаевна), учебного пособия издательства Народная асвета.