Номер 3.73, страница 166 - гдз по алгебре 7 класс учебник Арефьева, Пирютко

Алгебра, 7 класс Учебник, авторы: Арефьева Ирина Глебовна, Пирютко Ольга Николаевна, издательство Народная асвета, Минск, 2022, зелёного цвета

Авторы: Арефьева И. Г., Пирютко О. Н.

Тип: Учебник

Издательство: Народная асвета

Год издания: 2022 - 2025

Цвет обложки: зелёный с графиком

ISBN: ISBN 978-985-03-3770-2

Допущено Министерством образования Республики Беларусь

Популярные ГДЗ в 7 классе

Глава 3. Линейные уравнения. Линейные неравенства. Линейная функция. Параграф 16. Решение текстовых задач с помощью линейных уравнений - номер 3.73, страница 166.

№3.73 (с. 166)
Условие. №3.73 (с. 166)
скриншот условия
Алгебра, 7 класс Учебник, авторы: Арефьева Ирина Глебовна, Пирютко Ольга Николаевна, издательство Народная асвета, Минск, 2022, зелёного цвета, страница 166, номер 3.73, Условие

3.73. В двух амбарах сложено зерно. Во втором зерна в 3 раза меньше, чем в первом. После того как из первого амбара взяли 20 т зерна, а во второй добавили 20 т, оказалось, что масса зерна во втором амбаре равна $ \frac{5}{7} $ массы зерна, оставшегося в первом. Сколько тонн зерна было первоначально во втором амбаре?

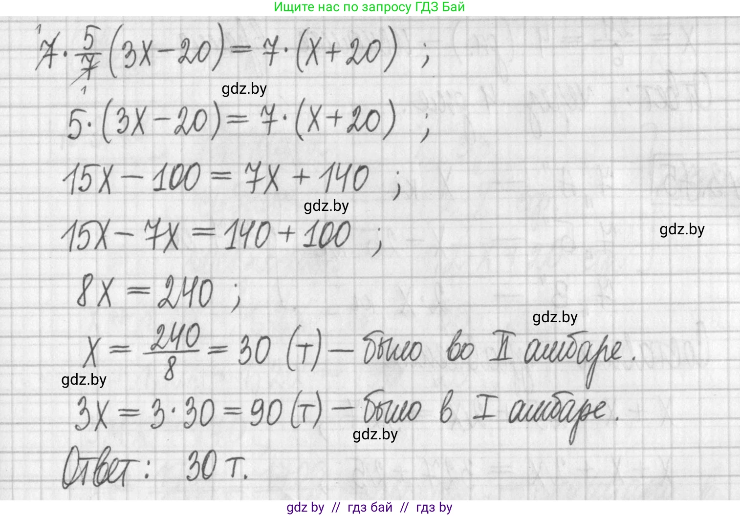
Решение. №3.73 (с. 166)
Алгебра, 7 класс Учебник, авторы: Арефьева Ирина Глебовна, Пирютко Ольга Николаевна, издательство Народная асвета, Минск, 2022, зелёного цвета, страница 166, номер 3.73, Решение Алгебра, 7 класс Учебник, авторы: Арефьева Ирина Глебовна, Пирютко Ольга Николаевна, издательство Народная асвета, Минск, 2022, зелёного цвета, страница 166, номер 3.73, Решение (продолжение 2)
Решение 2. №3.73 (с. 166)

Для решения этой задачи необходимо составить уравнение, основанное на условиях, и решить его относительно неизвестной величины.

1. Введение переменных и составление уравнения

Пусть $x$ тонн — это первоначальное количество зерна во втором амбаре.
По условию, во втором амбаре было в 3 раза меньше зерна, чем в первом. Значит, в первом амбаре первоначально было $3x$ тонн зерна.

После того как из первого амбара взяли 20 тонн, в нем осталось:
$(3x - 20)$ тонн.

После того как во второй амбар добавили 20 тонн, в нем стало:
$(x + 20)$ тонн.

В задаче сказано, что новая масса зерна во втором амбаре стала равна $\frac{5}{7}$ от новой массы зерна в первом. На основе этого составим уравнение.

Ответ: Математическая модель задачи выглядит как уравнение $x + 20 = \frac{5}{7}(3x - 20)$. 2. Решение уравнения

Теперь решим полученное уравнение, чтобы найти значение $x$.

Умножим обе части уравнения на 7, чтобы избавиться от дроби:
$7 \cdot (x + 20) = 5 \cdot (3x - 20)$

Раскроем скобки в обеих частях:
$7x + 140 = 15x - 100$

Сгруппируем слагаемые с переменной $x$ в одной стороне, а числовые значения — в другой. Перенесем $7x$ вправо, а $-100$ влево:
$140 + 100 = 15x - 7x$

Выполним вычисления:
$240 = 8x$

Найдем $x$, разделив 240 на 8:
$x = \frac{240}{8}$

Ответ: $x = 30$. Сколько тонн зерна было первоначально во втором амбаре?

Поскольку за $x$ мы изначально приняли количество тонн зерна во втором амбаре, то найденное значение $x = 30$ и является ответом на вопрос задачи.

Ответ: Первоначально во втором амбаре было 30 тонн зерна.

Помогло решение? Оставьте отзыв в комментариях ниже.

Присоединяйтесь к Телеграм-группе @gdz_by_belarus

Присоединиться

Мы подготовили для вас ответ c подробным объяснением домашего задания по алгебре за 7 класс, для упражнения номер 3.73 расположенного на странице 166 к учебнику 2022 года издания для учащихся школ и гимназий.

Теперь на нашем сайте ГДЗ.ТОП вы всегда легко и бесплатно найдёте условие с правильным ответом на вопрос «Как решить ДЗ» и «Как сделать» задание по алгебре к упражнению №3.73 (с. 166), авторов: Арефьева (Ирина Глебовна), Пирютко (Ольга Николаевна), учебного пособия издательства Народная асвета.