Номер 3.79, страница 167 - гдз по алгебре 7 класс учебник Арефьева, Пирютко

Алгебра, 7 класс Учебник, авторы: Арефьева Ирина Глебовна, Пирютко Ольга Николаевна, издательство Народная асвета, Минск, 2022, зелёного цвета

Авторы: Арефьева И. Г., Пирютко О. Н.

Тип: Учебник

Издательство: Народная асвета

Год издания: 2022 - 2025

Цвет обложки: зелёный с графиком

ISBN: ISBN 978-985-03-3770-2

Допущено Министерством образования Республики Беларусь

Популярные ГДЗ в 7 классе

Глава 3. Линейные уравнения. Линейные неравенства. Линейная функция. Параграф 16. Решение текстовых задач с помощью линейных уравнений - номер 3.79, страница 167.

№3.79 (с. 167)
Условие. №3.79 (с. 167)
скриншот условия
Алгебра, 7 класс Учебник, авторы: Арефьева Ирина Глебовна, Пирютко Ольга Николаевна, издательство Народная асвета, Минск, 2022, зелёного цвета, страница 167, номер 3.79, Условие

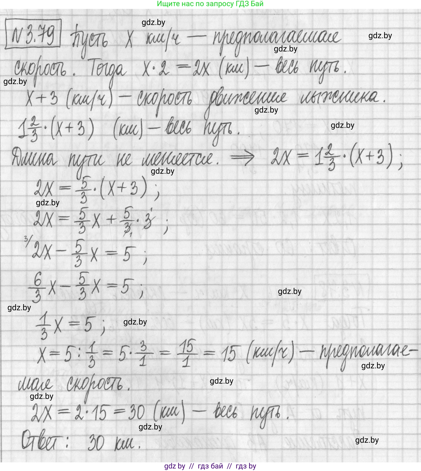
3.79. Лыжник предполагал преодолеть путь за 2 ч, но увеличил намеченную скорость на $3 \frac{\text{КМ}}{\text{ч}}$ и затратил на этот путь $1 \frac{2}{3}$ ч. Найдите длину пути.

Решение. №3.79 (с. 167)
Алгебра, 7 класс Учебник, авторы: Арефьева Ирина Глебовна, Пирютко Ольга Николаевна, издательство Народная асвета, Минск, 2022, зелёного цвета, страница 167, номер 3.79, Решение
Решение 2. №3.79 (с. 167)

Обозначим искомую длину пути за $S$ (в км), а намеченную скорость лыжника — за $v$ (в км/ч).

Из условия задачи известно, что лыжник предполагал преодолеть путь $S$ за 2 часа. Используя формулу пути $S = \text{скорость} \times \text{время}$, составим первое уравнение:

$S = v \cdot 2$

Из этого уравнения можно выразить намеченную скорость $v$ через расстояние $S$:

$v = \frac{S}{2}$

По условию, лыжник увеличил свою намеченную скорость на 3 км/ч, следовательно, его фактическая скорость стала $v_{факт} = v + 3$ км/ч. Время, затраченное на путь с новой скоростью, составило $1\frac{2}{3}$ часа. Для удобства вычислений переведем это смешанное число в неправильную дробь:

$1\frac{2}{3} \text{ ч} = \frac{1 \cdot 3 + 2}{3} \text{ ч} = \frac{5}{3} \text{ ч}$

Теперь составим второе уравнение для того же пути $S$, используя фактическую скорость и фактическое время:

$S = (v + 3) \cdot \frac{5}{3}$

У нас есть система из двух уравнений с двумя неизвестными. Подставим выражение для $v$ ($v = \frac{S}{2}$) из первого уравнения во второе:

$S = \left(\frac{S}{2} + 3\right) \cdot \frac{5}{3}$

Теперь решим полученное уравнение относительно $S$. Сначала раскроем скобки:

$S = \frac{S}{2} \cdot \frac{5}{3} + 3 \cdot \frac{5}{3}$

$S = \frac{5S}{6} + \frac{15}{3}$

$S = \frac{5S}{6} + 5$

Перенесем все слагаемые, содержащие $S$, в левую часть уравнения:

$S - \frac{5S}{6} = 5$

Приведем левую часть к общему знаменателю:

$\frac{6S}{6} - \frac{5S}{6} = 5$

$\frac{S}{6} = 5$

Чтобы найти $S$, умножим обе части уравнения на 6:

$S = 5 \cdot 6$

$S = 30$

Таким образом, длина пути составляет 30 км.

Найдите длину пути.
Расчеты показали, что длина пути, который преодолел лыжник, составляет 30 км.
Ответ: 30 км.

Помогло решение? Оставьте отзыв в комментариях ниже.

Присоединяйтесь к Телеграм-группе @gdz_by_belarus

Присоединиться

Мы подготовили для вас ответ c подробным объяснением домашего задания по алгебре за 7 класс, для упражнения номер 3.79 расположенного на странице 167 к учебнику 2022 года издания для учащихся школ и гимназий.

Теперь на нашем сайте ГДЗ.ТОП вы всегда легко и бесплатно найдёте условие с правильным ответом на вопрос «Как решить ДЗ» и «Как сделать» задание по алгебре к упражнению №3.79 (с. 167), авторов: Арефьева (Ирина Глебовна), Пирютко (Ольга Николаевна), учебного пособия издательства Народная асвета.