Номер 3.227, страница 200 - гдз по алгебре 7 класс учебник Арефьева, Пирютко

Алгебра, 7 класс Учебник, авторы: Арефьева Ирина Глебовна, Пирютко Ольга Николаевна, издательство Народная асвета, Минск, 2022, зелёного цвета

Авторы: Арефьева И. Г., Пирютко О. Н.

Тип: Учебник

Издательство: Народная асвета

Год издания: 2022 - 2025

Цвет обложки: зелёный с графиком

ISBN: ISBN 978-985-03-3770-2

Допущено Министерством образования Республики Беларусь

Популярные ГДЗ в 7 классе

Глава 3. Линейные уравнения. Линейные неравенства. Линейная функция. Параграф 18. Линейные неравенства с одной переменной - номер 3.227, страница 200.

№3.227 (с. 200)
Условие. №3.227 (с. 200)
скриншот условия
Алгебра, 7 класс Учебник, авторы: Арефьева Ирина Глебовна, Пирютко Ольга Николаевна, издательство Народная асвета, Минск, 2022, зелёного цвета, страница 200, номер 3.227, Условие

3

3.227. Решите неравенство:

a) $\frac{4 + 3x}{3} - 1 \leq \frac{x}{6}$;

б) $\frac{3x + 1}{5} - \frac{1 - 2x}{2} \geq x$;

В) $\frac{2 - 3x}{4} \leq \frac{6 - 5x}{8} + \frac{1}{5}$;

Г) $\frac{x}{2} - \frac{x - 3}{4} - \frac{x + 1}{8} \leq \frac{1}{2}$;

Д) $x - \frac{3x - 1}{3} + \frac{x + 1}{2} \geq 1$;

е) $x - \frac{10x + 2}{15} > \frac{x - 2}{3}$.

Решение. №3.227 (с. 200)
Алгебра, 7 класс Учебник, авторы: Арефьева Ирина Глебовна, Пирютко Ольга Николаевна, издательство Народная асвета, Минск, 2022, зелёного цвета, страница 200, номер 3.227, Решение Алгебра, 7 класс Учебник, авторы: Арефьева Ирина Глебовна, Пирютко Ольга Николаевна, издательство Народная асвета, Минск, 2022, зелёного цвета, страница 200, номер 3.227, Решение (продолжение 2)
Решение 2. №3.227 (с. 200)

а) Дано неравенство:

$$ \frac{4+3x}{3} - 1 \le \frac{x}{6} $$

Чтобы избавиться от дробей, умножим обе части неравенства на наименьший общий знаменатель, который равен 6:

$$ 6 \cdot \left( \frac{4+3x}{3} - 1 \right) \le 6 \cdot \frac{x}{6} $$

$$ 2(4+3x) - 6 \le x $$

Раскроем скобки и приведем подобные слагаемые:

$$ 8 + 6x - 6 \le x $$

$$ 2 + 6x \le x $$

Перенесем слагаемые с $x$ в левую часть, а числа — в правую:

$$ 6x - x \le -2 $$

$$ 5x \le -2 $$

$$ x \le -\frac{2}{5} $$

Ответ: $x \le -\frac{2}{5}$.


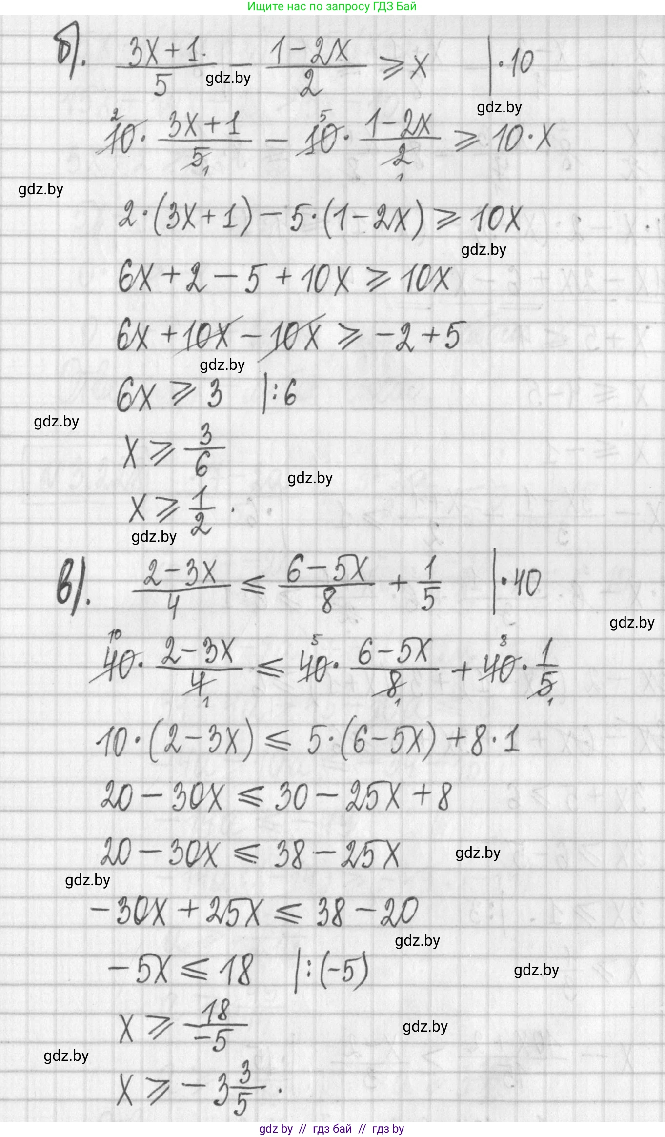
б) Дано неравенство:

$$ \frac{3x+1}{5} - \frac{1-2x}{2} \ge x $$

Умножим обе части неравенства на наименьший общий знаменатель, который равен 10:

$$ 10 \cdot \left( \frac{3x+1}{5} - \frac{1-2x}{2} \right) \ge 10 \cdot x $$

$$ 2(3x+1) - 5(1-2x) \ge 10x $$

Раскроем скобки, обращая внимание на знак "минус" перед второй дробью:

$$ 6x + 2 - 5 + 10x \ge 10x $$

$$ 16x - 3 \ge 10x $$

Перенесем слагаемые с $x$ в левую часть, а числа — в правую:

$$ 16x - 10x \ge 3 $$

$$ 6x \ge 3 $$

$$ x \ge \frac{3}{6} $$

$$ x \ge \frac{1}{2} $$

Ответ: $x \ge \frac{1}{2}$.


в) Дано неравенство:

$$ \frac{2-3x}{4} \le \frac{6-5x}{8} + \frac{1}{5} $$

Наименьший общий знаменатель для 4, 8 и 5 равен 40. Умножим обе части на 40:

$$ 40 \cdot \frac{2-3x}{4} \le 40 \cdot \frac{6-5x}{8} + 40 \cdot \frac{1}{5} $$

$$ 10(2-3x) \le 5(6-5x) + 8 $$

Раскроем скобки:

$$ 20 - 30x \le 30 - 25x + 8 $$

$$ 20 - 30x \le 38 - 25x $$

Перенесем слагаемые с $x$ в правую часть, а числа — в левую, чтобы коэффициент при $x$ был положительным:

$$ 20 - 38 \le 30x - 25x $$

$$ -18 \le 5x $$

$$ x \ge -\frac{18}{5} $$

Выделим целую часть из неправильной дроби:

$$ -\frac{18}{5} = -3\frac{3}{5} $$

Ответ: $x \ge -3\frac{3}{5}$.


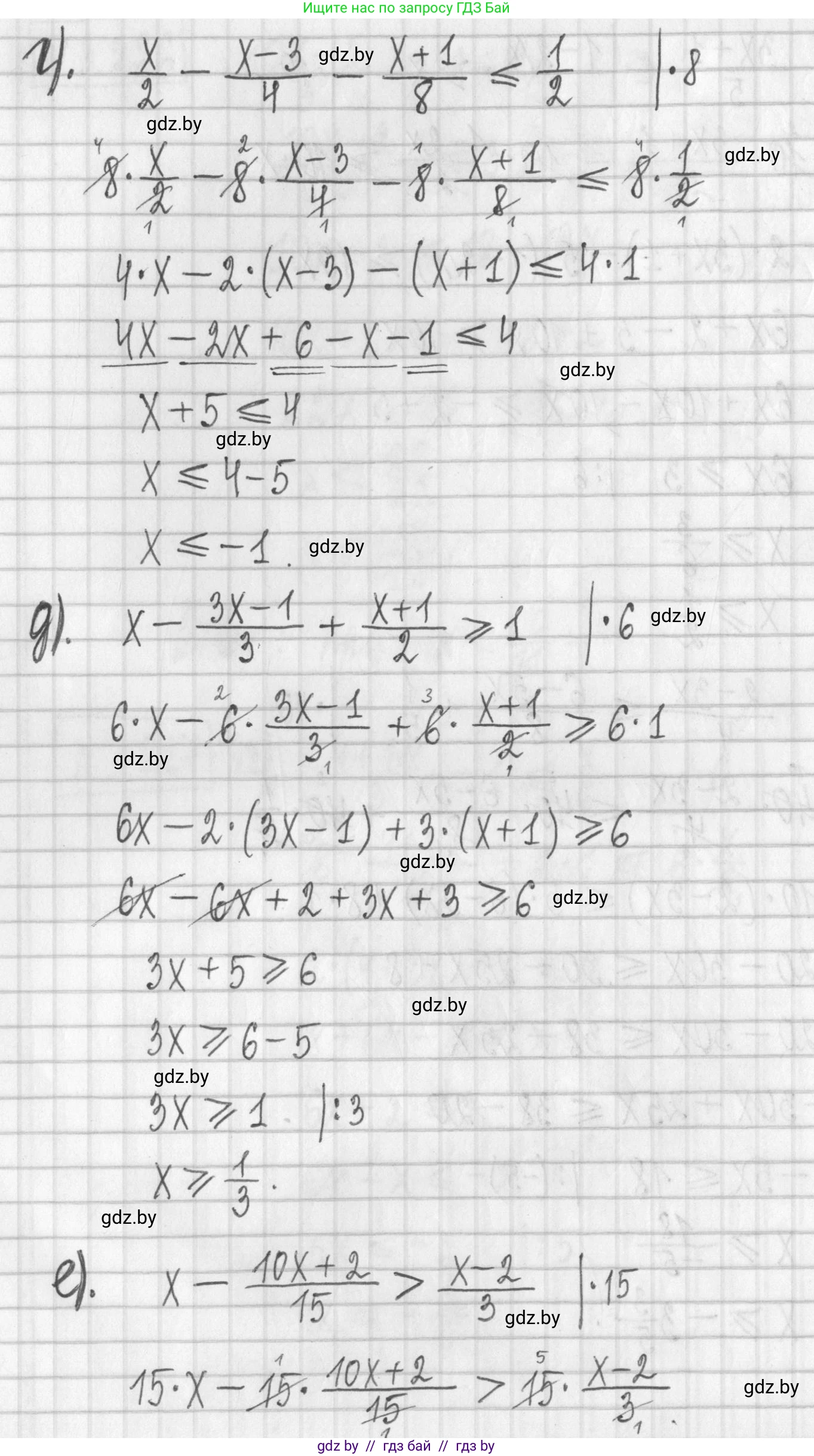
г) Дано неравенство:

$$ \frac{x}{2} - \frac{x-3}{4} - \frac{x+1}{8} \le \frac{1}{2} $$

Наименьший общий знаменатель равен 8. Умножим обе части на 8:

$$ 8 \cdot \left( \frac{x}{2} - \frac{x-3}{4} - \frac{x+1}{8} \right) \le 8 \cdot \frac{1}{2} $$

$$ 4x - 2(x-3) - (x+1) \le 4 $$

Раскроем скобки:

$$ 4x - 2x + 6 - x - 1 \le 4 $$

$$ x + 5 \le 4 $$

Перенесем 5 в правую часть:

$$ x \le 4 - 5 $$

$$ x \le -1 $$

Ответ: $x \le -1$.


д) Дано неравенство:

$$ x - \frac{3x-1}{3} + \frac{x+1}{2} \ge 1 $$

Наименьший общий знаменатель равен 6. Умножим обе части на 6:

$$ 6x - 6 \cdot \frac{3x-1}{3} + 6 \cdot \frac{x+1}{2} \ge 6 \cdot 1 $$

$$ 6x - 2(3x-1) + 3(x+1) \ge 6 $$

Раскроем скобки:

$$ 6x - 6x + 2 + 3x + 3 \ge 6 $$

$$ 3x + 5 \ge 6 $$

Перенесем 5 в правую часть:

$$ 3x \ge 6 - 5 $$

$$ 3x \ge 1 $$

$$ x \ge \frac{1}{3} $$

Ответ: $x \ge \frac{1}{3}$.


е) Дано неравенство:

$$ x - \frac{10x+2}{15} > \frac{x-2}{3} $$

Наименьший общий знаменатель равен 15. Умножим обе части на 15:

$$ 15x - 15 \cdot \frac{10x+2}{15} > 15 \cdot \frac{x-2}{3} $$

$$ 15x - (10x+2) > 5(x-2) $$

Раскроем скобки:

$$ 15x - 10x - 2 > 5x - 10 $$

$$ 5x - 2 > 5x - 10 $$

Перенесем слагаемые с $x$ в левую часть, а числа — в правую:

$$ 5x - 5x > -10 + 2 $$

$$ 0 > -8 $$

Мы получили верное числовое неравенство, которое не зависит от $x$. Это означает, что исходное неравенство выполняется для любого действительного значения $x$.

Ответ: $x$ - любое число, или $x \in (-\infty; +\infty)$.

Помогло решение? Оставьте отзыв в комментариях ниже.

Присоединяйтесь к Телеграм-группе @gdz_by_belarus

Присоединиться

Мы подготовили для вас ответ c подробным объяснением домашего задания по алгебре за 7 класс, для упражнения номер 3.227 расположенного на странице 200 к учебнику 2022 года издания для учащихся школ и гимназий.

Теперь на нашем сайте ГДЗ.ТОП вы всегда легко и бесплатно найдёте условие с правильным ответом на вопрос «Как решить ДЗ» и «Как сделать» задание по алгебре к упражнению №3.227 (с. 200), авторов: Арефьева (Ирина Глебовна), Пирютко (Ольга Николаевна), учебного пособия издательства Народная асвета.