Номер 3.234, страница 201 - гдз по алгебре 7 класс учебник Арефьева, Пирютко

Алгебра, 7 класс Учебник, авторы: Арефьева Ирина Глебовна, Пирютко Ольга Николаевна, издательство Народная асвета, Минск, 2022, зелёного цвета

Авторы: Арефьева И. Г., Пирютко О. Н.

Тип: Учебник

Издательство: Народная асвета

Год издания: 2022 - 2025

Цвет обложки: зелёный с графиком

ISBN: ISBN 978-985-03-3770-2

Допущено Министерством образования Республики Беларусь

Популярные ГДЗ в 7 классе

Глава 3. Линейные уравнения. Линейные неравенства. Линейная функция. Параграф 18. Линейные неравенства с одной переменной - номер 3.234, страница 201.

№3.234 (с. 201)
Условие. №3.234 (с. 201)
скриншот условия
Алгебра, 7 класс Учебник, авторы: Арефьева Ирина Глебовна, Пирютко Ольга Николаевна, издательство Народная асвета, Минск, 2022, зелёного цвета, страница 201, номер 3.234, Условие

3.234. Найдите наибольшее целое решение неравенства:

а) $(1,2x + 1,5) - 2(1 - 1,4x) < 7,5;$

б) $\frac{x + 1}{2} - \frac{2x + 5}{6} \le 0;$

в) $(x + 1)(x - 3) \ge x(x + 3);$

г) $(x + 4)^2 - (x - 10)^2 < 140.$

Решение. №3.234 (с. 201)
Алгебра, 7 класс Учебник, авторы: Арефьева Ирина Глебовна, Пирютко Ольга Николаевна, издательство Народная асвета, Минск, 2022, зелёного цвета, страница 201, номер 3.234, Решение Алгебра, 7 класс Учебник, авторы: Арефьева Ирина Глебовна, Пирютко Ольга Николаевна, издательство Народная асвета, Минск, 2022, зелёного цвета, страница 201, номер 3.234, Решение (продолжение 2)
Решение 2. №3.234 (с. 201)

Найдите наибольшее целое решение неравенства:

а) $(1,2x + 1,5) - 2(1 - 1,4x) < 7,5$

Раскроем скобки в левой части неравенства:
$1,2x + 1,5 - 2 \cdot 1 - 2 \cdot (-1,4x) < 7,5$
$1,2x + 1,5 - 2 + 2,8x < 7,5$

Приведем подобные слагаемые:
$(1,2x + 2,8x) + (1,5 - 2) < 7,5$
$4x - 0,5 < 7,5$

Перенесем свободный член в правую часть:
$4x < 7,5 + 0,5$
$4x < 8$

Разделим обе части неравенства на 4:
$x < \frac{8}{4}$
$x < 2$

Наибольшее целое число, удовлетворяющее неравенству $x < 2$, это 1.

Ответ: 1


б) $\frac{x+1}{2} - \frac{2x+5}{6} \le 0$

Приведем дроби к общему знаменателю 6:
$\frac{3 \cdot (x+1)}{6} - \frac{2x+5}{6} \le 0$

Запишем все под одной дробной чертой:
$\frac{3(x+1) - (2x+5)}{6} \le 0$

Раскроем скобки в числителе:
$\frac{3x + 3 - 2x - 5}{6} \le 0$

Приведем подобные слагаемые в числителе:
$\frac{x - 2}{6} \le 0$

Так как знаменатель (6) - положительное число, знак дроби зависит от знака числителя. Следовательно:
$x - 2 \le 0$
$x \le 2$

Наибольшее целое число, удовлетворяющее неравенству $x \le 2$, это 2.

Ответ: 2


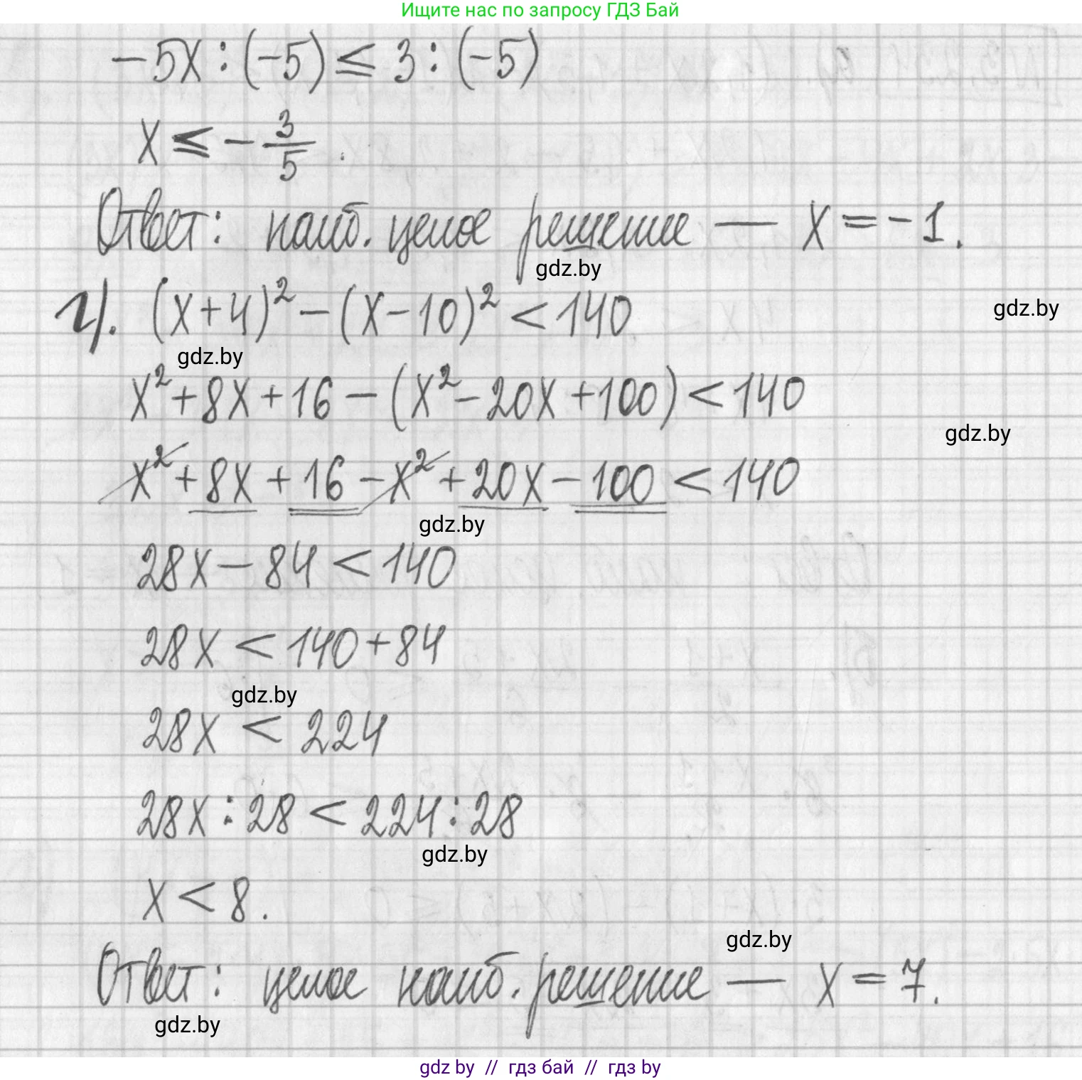
в) $(x+1)(x-3) \ge x(x+3)$

Раскроем скобки в обеих частях неравенства:
$x^2 - 3x + x - 3 \ge x^2 + 3x$
$x^2 - 2x - 3 \ge x^2 + 3x$

Перенесем все члены с переменной в левую часть, а свободные члены - в правую:
$x^2 - 2x - x^2 - 3x \ge 3$
$-5x \ge 3$

Разделим обе части на -5, при этом знак неравенства меняется на противоположный:
$x \le -\frac{3}{5}$

Наибольшее целое число, удовлетворяющее неравенству $x \le -0,6$, это -1.

Ответ: -1


г) $(x+4)^2 - (x-10)^2 < 140$

Воспользуемся формулой разности квадратов $a^2 - b^2 = (a-b)(a+b)$:
$((x+4) - (x-10)) \cdot ((x+4) + (x-10)) < 140$

Упростим выражения в каждой скобке:
$(x+4-x+10) \cdot (x+4+x-10) < 140$
$14 \cdot (2x - 6) < 140$

Разделим обе части неравенства на 14:
$2x - 6 < \frac{140}{14}$
$2x - 6 < 10$

Решим полученное линейное неравенство:
$2x < 10 + 6$
$2x < 16$
$x < \frac{16}{2}$
$x < 8$

Наибольшее целое число, удовлетворяющее неравенству $x < 8$, это 7.

Ответ: 7

Помогло решение? Оставьте отзыв в комментариях ниже.

Присоединяйтесь к Телеграм-группе @gdz_by_belarus

Присоединиться

Мы подготовили для вас ответ c подробным объяснением домашего задания по алгебре за 7 класс, для упражнения номер 3.234 расположенного на странице 201 к учебнику 2022 года издания для учащихся школ и гимназий.

Теперь на нашем сайте ГДЗ.ТОП вы всегда легко и бесплатно найдёте условие с правильным ответом на вопрос «Как решить ДЗ» и «Как сделать» задание по алгебре к упражнению №3.234 (с. 201), авторов: Арефьева (Ирина Глебовна), Пирютко (Ольга Николаевна), учебного пособия издательства Народная асвета.