Номер 6, страница 144 - гдз по алгебре 7 класс учебник Арефьева, Пирютко

Алгебра, 7 класс Учебник, авторы: Арефьева Ирина Глебовна, Пирютко Ольга Николаевна, издательство Народная асвета, Минск, 2022, зелёного цвета

Авторы: Арефьева И. Г., Пирютко О. Н.

Тип: Учебник

Издательство: Народная асвета

Год издания: 2022 - 2025

Цвет обложки: зелёный с графиком

ISBN: ISBN 978-985-03-3770-2

Допущено Министерством образования Республики Беларусь

Популярные ГДЗ в 7 классе

Глава 2. Выражения и их преобразования. Я проверяю свои знания - номер 6, страница 144.

№6 (с. 144)
Условие. №6 (с. 144)
скриншот условия
Алгебра, 7 класс Учебник, авторы: Арефьева Ирина Глебовна, Пирютко Ольга Николаевна, издательство Народная асвета, Минск, 2022, зелёного цвета, страница 144, номер 6, Условие

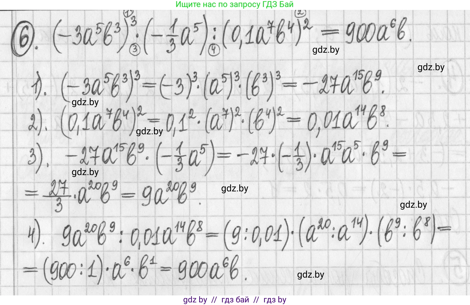
6. Определите порядок выполнения действий в выражении $(-3a^5b^3)^3 \cdot (-\frac{1}{3}a^5) : (0,1a^7b^4)^2$. Выполните действия и представьте полученный результат в виде одночлена стандартного вида.

Решение. №6 (с. 144)
Алгебра, 7 класс Учебник, авторы: Арефьева Ирина Глебовна, Пирютко Ольга Николаевна, издательство Народная асвета, Минск, 2022, зелёного цвета, страница 144, номер 6, Решение
Решение 2. №6 (с. 144)

Дано выражение: $ (-3a^5b^3)^3 \cdot (-\frac{1}{3}a^5) : (0,1a^7b^4)^2 $

Определите порядок выполнения действий в выражении $(-3a^5b^3)^3 \cdot (-\frac{1}{3}a^5) : (0,1a^7b^4)^2$.

Согласно правилам приоритета математических операций, действия в данном выражении выполняются в следующей последовательности:

  1. Возведение в степень. Первым делом выполняются операции возведения в степень. В выражении их две, и их можно выполнять в любом порядке относительно друг друга:
    • $(-3a^5b^3)^3$
    • $(0,1a^7b^4)^2$
  2. Умножение и деление. Эти операции имеют одинаковый приоритет и выполняются строго слева направо после возведения в степень.
    • Сначала выполняется умножение: результат первого возведения в степень умножается на $(-\frac{1}{3}a^5)$.
    • Затем выполняется деление: полученное произведение делится на результат второго возведения в степень.

Ответ: Порядок действий следующий: 1) возведение в степень $(-3a^5b^3)^3$; 2) возведение в степень $(0,1a^7b^4)^2$; 3) умножение; 4) деление.

Выполните действия и представьте полученный результат в виде одночлена стандартного вида.

Выполним вычисления по шагам в соответствии с определенным порядком.

Шаг 1: Возводим в куб первый одночлен.
$(-3a^5b^3)^3 = (-3)^3 \cdot (a^5)^3 \cdot (b^3)^3 = -27a^{15}b^9$

Шаг 2: Возводим в квадрат третий одночлен. Для удобства вычислений представим десятичную дробь $0,1$ в виде обыкновенной дроби $\frac{1}{10}$.
$(0,1a^7b^4)^2 = (\frac{1}{10})^2 \cdot (a^7)^2 \cdot (b^4)^2 = \frac{1}{100}a^{14}b^8$

После выполнения действий в скобках, исходное выражение принимает вид:
$(-27a^{15}b^9) \cdot (-\frac{1}{3}a^5) : (\frac{1}{100}a^{14}b^8)$

Шаг 3: Выполняем умножение (слева направо).
$(-27a^{15}b^9) \cdot (-\frac{1}{3}a^5) = (-27 \cdot (-\frac{1}{3})) \cdot (a^{15} \cdot a^5) \cdot b^9 = \frac{27}{3}a^{15+5}b^9 = 9a^{20}b^9$

Шаг 4: Выполняем деление.
$(9a^{20}b^9) : (\frac{1}{100}a^{14}b^8) = \frac{9a^{20}b^9}{\frac{1}{100}a^{14}b^8} = (9 : \frac{1}{100}) \cdot (a^{20} : a^{14}) \cdot (b^9 : b^8)$
$= (9 \cdot 100) \cdot a^{20-14} \cdot b^{9-8} = 900a^6b$

Полученный одночлен $900a^6b$ представлен в стандартном виде. Его коэффициент является целым числом, а не неправильной дробью, поэтому выделение целой части не требуется.

Ответ: $900a^6b$

Помогло решение? Оставьте отзыв в комментариях ниже.

Присоединяйтесь к Телеграм-группе @gdz_by_belarus

Присоединиться

Мы подготовили для вас ответ c подробным объяснением домашего задания по алгебре за 7 класс, для упражнения номер 6 расположенного на странице 144 к учебнику 2022 года издания для учащихся школ и гимназий.

Теперь на нашем сайте ГДЗ.ТОП вы всегда легко и бесплатно найдёте условие с правильным ответом на вопрос «Как решить ДЗ» и «Как сделать» задание по алгебре к упражнению №6 (с. 144), авторов: Арефьева (Ирина Глебовна), Пирютко (Ольга Николаевна), учебного пособия издательства Народная асвета.