Номер 3.17, страница 154 - гдз по алгебре 7 класс учебник Арефьева, Пирютко

Алгебра, 7 класс Учебник, авторы: Арефьева Ирина Глебовна, Пирютко Ольга Николаевна, издательство Народная асвета, Минск, 2022, зелёного цвета

Авторы: Арефьева И. Г., Пирютко О. Н.

Тип: Учебник

Издательство: Народная асвета

Год издания: 2022 - 2025

Цвет обложки: зелёный с графиком

ISBN: ISBN 978-985-03-3770-2

Допущено Министерством образования Республики Беларусь

Популярные ГДЗ в 7 классе

Глава 3. Линейные уравнения. Линейные неравенства. Линейная функция. Параграф 15. Линейные уравнения с одной переменной - номер 3.17, страница 154.

№3.17 (с. 154)
Условие. №3.17 (с. 154)
скриншот условия
Алгебра, 7 класс Учебник, авторы: Арефьева Ирина Глебовна, Пирютко Ольга Николаевна, издательство Народная асвета, Минск, 2022, зелёного цвета, страница 154, номер 3.17, Условие

3.17. Решите уравнение:

а) $6x - 11 = 4x - 7;$

б) $7 - x = 4 + 4x;$

в) $0,7x + 1 = 0,4x - 5;$

г) $6x - 10,3 = -2x - 0,3.$

Решение. №3.17 (с. 154)
Алгебра, 7 класс Учебник, авторы: Арефьева Ирина Глебовна, Пирютко Ольга Николаевна, издательство Народная асвета, Минск, 2022, зелёного цвета, страница 154, номер 3.17, Решение Алгебра, 7 класс Учебник, авторы: Арефьева Ирина Глебовна, Пирютко Ольга Николаевна, издательство Народная асвета, Минск, 2022, зелёного цвета, страница 154, номер 3.17, Решение (продолжение 2)
Решение 2. №3.17 (с. 154)

а) $6x - 11 = 4x - 7$

Это линейное уравнение. Для его решения сгруппируем слагаемые с переменной $x$ в одной части уравнения, а свободные члены (числа) - в другой. Перенесем $4x$ в левую часть, а $-11$ в правую, изменив их знаки на противоположные:

$6x - 4x = -7 + 11$

Приведем подобные слагаемые в обеих частях уравнения:

$2x = 4$

Теперь разделим обе части уравнения на коэффициент при $x$, то есть на 2:

$x = \frac{4}{2}$

$x = 2$

Ответ: $2$

б) $7 - x = 4 + 4x$

Сгруппируем слагаемые с переменной $x$ в правой части, а свободные члены - в левой:

$7 - 4 = 4x + x$

Приведем подобные слагаемые:

$3 = 5x$

Чтобы найти $x$, разделим обе части уравнения на 5:

$x = \frac{3}{5}$

Ответ: $\frac{3}{5}$

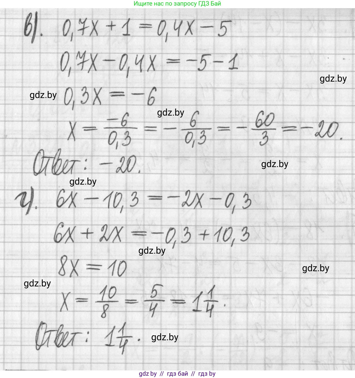
в) $0,7x + 1 = 0,4x - 5$

Перенесем слагаемые с $x$ в левую часть, а числа - в правую:

$0,7x - 0,4x = -5 - 1$

Упростим обе части уравнения:

$0,3x = -6$

Разделим обе части на 0,3:

$x = \frac{-6}{0,3}$

Для удобства вычислений умножим числитель и знаменатель на 10, чтобы избавиться от десятичной дроби в знаменателе:

$x = \frac{-60}{3}$

$x = -20$

Ответ: $-20$

г) $6x - 10,3 = -2x - 0,3$

Перенесем слагаемые с $x$ в левую часть, а числа - в правую:

$6x + 2x = -0,3 + 10,3$

Приведем подобные слагаемые:

$8x = 10$

Найдем $x$, разделив обе части на 8:

$x = \frac{10}{8}$

Сократим полученную дробь, разделив числитель и знаменатель на 2:

$x = \frac{5}{4}$

Так как полученная дробь неправильная (числитель больше знаменателя), выделим из нее целую часть:

$x = 1\frac{1}{4}$

Ответ: $1\frac{1}{4}$

Помогло решение? Оставьте отзыв в комментариях ниже.

Присоединяйтесь к Телеграм-группе @gdz_by_belarus

Присоединиться

Мы подготовили для вас ответ c подробным объяснением домашего задания по алгебре за 7 класс, для упражнения номер 3.17 расположенного на странице 154 к учебнику 2022 года издания для учащихся школ и гимназий.

Теперь на нашем сайте ГДЗ.ТОП вы всегда легко и бесплатно найдёте условие с правильным ответом на вопрос «Как решить ДЗ» и «Как сделать» задание по алгебре к упражнению №3.17 (с. 154), авторов: Арефьева (Ирина Глебовна), Пирютко (Ольга Николаевна), учебного пособия издательства Народная асвета.