Номер 3.24, страница 155 - гдз по алгебре 7 класс учебник Арефьева, Пирютко

Алгебра, 7 класс Учебник, авторы: Арефьева Ирина Глебовна, Пирютко Ольга Николаевна, издательство Народная асвета, Минск, 2022, зелёного цвета

Авторы: Арефьева И. Г., Пирютко О. Н.

Тип: Учебник

Издательство: Народная асвета

Год издания: 2022 - 2025

Цвет обложки: зелёный с графиком

ISBN: ISBN 978-985-03-3770-2

Допущено Министерством образования Республики Беларусь

Популярные ГДЗ в 7 классе

Глава 3. Линейные уравнения. Линейные неравенства. Линейная функция. Параграф 15. Линейные уравнения с одной переменной - номер 3.24, страница 155.

№3.24 (с. 155)
Условие. №3.24 (с. 155)
скриншот условия
Алгебра, 7 класс Учебник, авторы: Арефьева Ирина Глебовна, Пирютко Ольга Николаевна, издательство Народная асвета, Минск, 2022, зелёного цвета, страница 155, номер 3.24, Условие

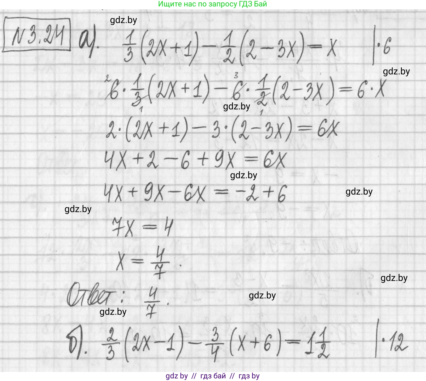
3.24. Умножьте обе части уравнения на одно и то же число и решите его:

а) $\frac{1}{3}(2x+1)-\frac{1}{2}(2-3x)=x;$

б) $\frac{2}{3}(2x-1)-\frac{3}{4}(x+6)=1\frac{1}{2}.$

Решение. №3.24 (с. 155)
Алгебра, 7 класс Учебник, авторы: Арефьева Ирина Глебовна, Пирютко Ольга Николаевна, издательство Народная асвета, Минск, 2022, зелёного цвета, страница 155, номер 3.24, Решение Алгебра, 7 класс Учебник, авторы: Арефьева Ирина Глебовна, Пирютко Ольга Николаевна, издательство Народная асвета, Минск, 2022, зелёного цвета, страница 155, номер 3.24, Решение (продолжение 2)
Решение 2. №3.24 (с. 155)

а) Дано уравнение:
$\frac{1}{3}(2x + 1) - \frac{1}{2}(2 - 3x) = x$
Чтобы избавиться от дробных коэффициентов, умножим обе части уравнения на наименьшее общее кратное (НОК) знаменателей 3 и 2. НОК(3, 2) = 6.
$6 \cdot \left(\frac{1}{3}(2x + 1) - \frac{1}{2}(2 - 3x)\right) = 6 \cdot x$
$2(2x + 1) - 3(2 - 3x) = 6x$
Теперь раскроем скобки:
$4x + 2 - 6 + 9x = 6x$
Приведем подобные слагаемые в левой части:
$13x - 4 = 6x$
Перенесем все члены с $x$ в левую часть, а постоянные члены - в правую:
$13x - 6x = 4$
$7x = 4$
$x = \frac{4}{7}$
Ответ: $x = \frac{4}{7}$.

б) Дано уравнение:
$\frac{2}{3}(2x - 1) - \frac{3}{4}(x + 6) = 1\frac{1}{2}$
Сначала преобразуем смешанное число $1\frac{1}{2}$ в неправильную дробь: $1\frac{1}{2} = \frac{3}{2}$.
Уравнение принимает вид:
$\frac{2}{3}(2x - 1) - \frac{3}{4}(x + 6) = \frac{3}{2}$
Умножим обе части уравнения на НОК знаменателей 3, 4 и 2, то есть на 12.
$12 \cdot \left(\frac{2}{3}(2x - 1) - \frac{3}{4}(x + 6)\right) = 12 \cdot \frac{3}{2}$
$8(2x - 1) - 9(x + 6) = 18$
Раскроем скобки:
$16x - 8 - 9x - 54 = 18$
Приведем подобные слагаемые в левой части:
$7x - 62 = 18$
Перенесем постоянный член в правую часть:
$7x = 18 + 62$
$7x = 80$
$x = \frac{80}{7}$
Так как мы получили неправильную дробь, выделим из нее целую часть:
$x = 11\frac{3}{7}$
Ответ: $x = 11\frac{3}{7}$.

Помогло решение? Оставьте отзыв в комментариях ниже.

Присоединяйтесь к Телеграм-группе @gdz_by_belarus

Присоединиться

Мы подготовили для вас ответ c подробным объяснением домашего задания по алгебре за 7 класс, для упражнения номер 3.24 расположенного на странице 155 к учебнику 2022 года издания для учащихся школ и гимназий.

Теперь на нашем сайте ГДЗ.ТОП вы всегда легко и бесплатно найдёте условие с правильным ответом на вопрос «Как решить ДЗ» и «Как сделать» задание по алгебре к упражнению №3.24 (с. 155), авторов: Арефьева (Ирина Глебовна), Пирютко (Ольга Николаевна), учебного пособия издательства Народная асвета.