Номер 3.29, страница 155 - гдз по алгебре 7 класс учебник Арефьева, Пирютко

Алгебра, 7 класс Учебник, авторы: Арефьева Ирина Глебовна, Пирютко Ольга Николаевна, издательство Народная асвета, Минск, 2022, зелёного цвета

Авторы: Арефьева И. Г., Пирютко О. Н.

Тип: Учебник

Издательство: Народная асвета

Год издания: 2022 - 2025

Цвет обложки: зелёный с графиком

ISBN: ISBN 978-985-03-3770-2

Допущено Министерством образования Республики Беларусь

Популярные ГДЗ в 7 классе

Глава 3. Линейные уравнения. Линейные неравенства. Линейная функция. Параграф 15. Линейные уравнения с одной переменной - номер 3.29, страница 155.

№3.29 (с. 155)
Условие. №3.29 (с. 155)
скриншот условия
Алгебра, 7 класс Учебник, авторы: Арефьева Ирина Глебовна, Пирютко Ольга Николаевна, издательство Народная асвета, Минск, 2022, зелёного цвета, страница 155, номер 3.29, Условие

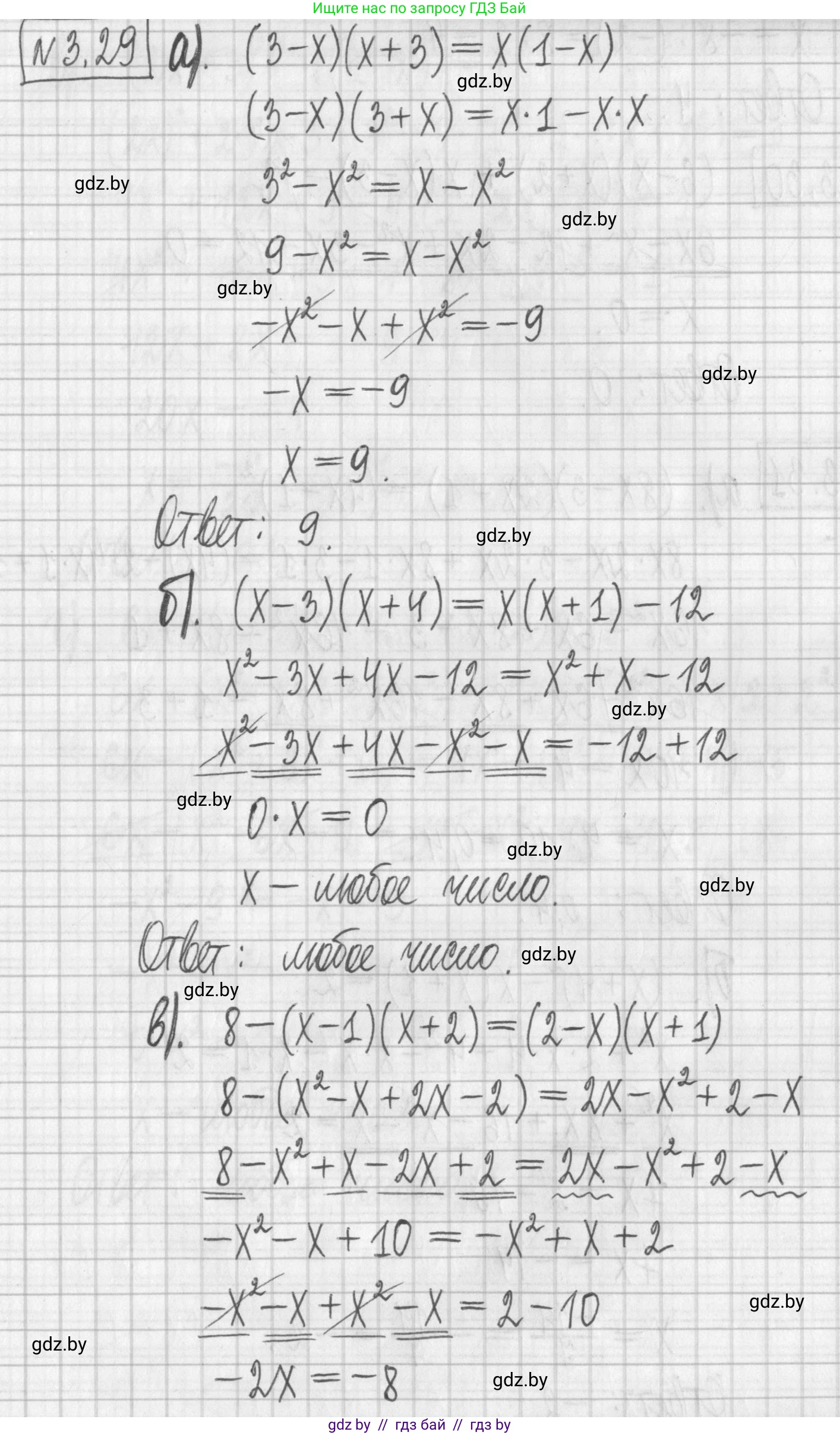
3.29. Выполните тождественные преобразования в левой и правой частях уравнения и решите его:

а) $ (3 - x)(x + 3) = x(1 - x); $

б) $ (x - 3)(x + 4) = x(x + 1) - 12; $

в) $ 8 - (x - 1)(x + 2) = (2 - x)(x + 1). $

Решение. №3.29 (с. 155)
Алгебра, 7 класс Учебник, авторы: Арефьева Ирина Глебовна, Пирютко Ольга Николаевна, издательство Народная асвета, Минск, 2022, зелёного цвета, страница 155, номер 3.29, Решение Алгебра, 7 класс Учебник, авторы: Арефьева Ирина Глебовна, Пирютко Ольга Николаевна, издательство Народная асвета, Минск, 2022, зелёного цвета, страница 155, номер 3.29, Решение (продолжение 2)
Решение 2. №3.29 (с. 155)

а) $(3 - x)(x + 3) = x(1 - x)$

Выполним тождественные преобразования для обеих частей уравнения.
В левой части используем формулу разности квадратов $(a-b)(a+b)=a^2-b^2$:
$(3 - x)(3 + x) = 3^2 - x^2 = 9 - x^2$

В правой части раскроем скобки:
$x(1 - x) = x \cdot 1 - x \cdot x = x - x^2$

Теперь уравнение имеет вид:
$9 - x^2 = x - x^2$

Прибавим к обеим частям уравнения $x^2$:
$9 - x^2 + x^2 = x - x^2 + x^2$
$9 = x$

Ответ: $9$


б) $(x - 3)(x + 4) = x(x + 1) - 12$

Выполним тождественные преобразования для обеих частей уравнения.
В левой части раскроем скобки:
$(x - 3)(x + 4) = x^2 + 4x - 3x - 12 = x^2 + x - 12$

В правой части раскроем скобки и упростим:
$x(x + 1) - 12 = x^2 + x - 12$

Теперь уравнение имеет вид:
$x^2 + x - 12 = x^2 + x - 12$

Мы получили тождество, то есть равенство, верное при любом значении переменной $x$.

Ответ: $x$ - любое число.


в) $8 - (x - 1)(x + 2) = (2 - x)(x + 1)$

Выполним тождественные преобразования для обеих частей уравнения.
Преобразуем левую часть. Сначала раскроем скобки произведения:
$(x - 1)(x + 2) = x^2 + 2x - x - 2 = x^2 + x - 2$
Теперь подставим это в левую часть и раскроем оставшиеся скобки:
$8 - (x^2 + x - 2) = 8 - x^2 - x + 2 = 10 - x^2 - x$

Преобразуем правую часть, раскрыв скобки:
$(2 - x)(x + 1) = 2x + 2 - x^2 - x = -x^2 + x + 2$

Теперь уравнение имеет вид:
$10 - x^2 - x = -x^2 + x + 2$

Прибавим к обеим частям $x^2$:
$10 - x = x + 2$

Перенесем слагаемые с $x$ в одну сторону, а свободные члены в другую:
$10 - 2 = x + x$
$8 = 2x$

Разделим обе части на 2, чтобы найти $x$:
$x = \frac{8}{2}$
$x = 4$

Ответ: $4$

Помогло решение? Оставьте отзыв в комментариях ниже.

Присоединяйтесь к Телеграм-группе @gdz_by_belarus

Присоединиться

Мы подготовили для вас ответ c подробным объяснением домашего задания по алгебре за 7 класс, для упражнения номер 3.29 расположенного на странице 155 к учебнику 2022 года издания для учащихся школ и гимназий.

Теперь на нашем сайте ГДЗ.ТОП вы всегда легко и бесплатно найдёте условие с правильным ответом на вопрос «Как решить ДЗ» и «Как сделать» задание по алгебре к упражнению №3.29 (с. 155), авторов: Арефьева (Ирина Глебовна), Пирютко (Ольга Николаевна), учебного пособия издательства Народная асвета.